Servicios Personalizados
Revista
Articulo
Indicadores
-
Citado por SciELO -
Accesos
Links relacionados
-
Similares en
SciELO
Compartir
Revista Boliviana de Física
versión On-line ISSN 1562-3823
Revista Boliviana de Física v.15 n.15 La Paz 2009
ARTÍCULO
MODELADO DE SOMBREROS
HAT MODELLING
R. Forno
Laboratorio de Física de la Atmósfera
Instituto de Investigaciones Físicas
Universidad Mayor de San Andrés
La Paz-Bolivia
RESUMEN
Se desarrolló un procedimiento para modelar sombreros con el fin de poder compararlos en lo referente a su capacidad como elementos protectores de radiación ultravioleta solar.
Se realizó la validación del procedimiento de modelado desarrollado por comparación con resultados experimentales realizados con un maniquí puesto al sol. Una vez realizada la validación, se realizaron las simulaciones necesarias para poder entender cuales son las principales variables que afectan a la eficiencia de los sombreros y en que proporción lo hacen.
Luego de algunos análisis relacionados a la factibilidad económica y técnica de la fabricación de sombreros, se centró la atención en tres modelos de sombreros: la gorra tradicional, una gorra con solapa lateral y un sombrero con ala elíptica. Finalmente, para cada uno de estos modelos de sombreros se realizaron las simulaciones necesarias para poder compararlos.
Descriptores: monitoreo, control y seguridad de las radiaciones aplicaciones interdisciplinarias de la física
Codigo(s) PACS: 87.52.g, 89.20.a
ABSTRACT
A method to model hats enabling the analysis and comparison of their physical qualities, such as, protection from UV solar radiation was developed. The modelling method was validated through experimental results obtained using a mannequin exposed to the sun. Simulations were run to better understand which are the main variables that affect the performance of the hats. After an analysis of the economic and technical feasibility of fabricating the different hats, three hat designs were chosen for further study and simulations: traditional baseball cap, a cap with side flaps (wings) and a cap with an elliptic flap.
Subject headings: radiation monitoring, control and safety interdisciplinary applications of physics
1. CARACTERÍSTICAS DEL MODELADO
Se modelaron los sombreros considerando su uso en la ciudad de La Paz (16.5 Sud y 63.167 Oeste) en situaciones desfavorables de orientación del portador del sombrero. Por lo tanto, en la mayoría de los casos, se consideró que el portador del sombrero se encontraba quieto y mirando hacia el Norte. Por otro lado, todas las simulaciones se realizaron para días completamente despejados.
Puesto que se disponió de un tiempo relativamente limitado para desarrollar el modelado de los sombreros, el estudio se limitó a modelar la sombra sobre el rostro del individuo que utiliza el sombrero dejando a un lado el estudio más profundo de la intensidad de la radiación que incide sobre el rostro en función del mismo sombrero.
2. SELECCIÓN DEL SOFTWARE DE MODELADO
La duración del proyecto no permitió desarrollar un software específico para que realice las tareas de modelado, por lo tanto, se tenía que encontrar un software adecuado a nuestras necesidades. El software que se empleó para realizar el modelado tenía que cumplir con los siguientes requisitos:
a) Permitir un modelado en tres dimensiones.
b) Disponer de algoritmos para manejar las sombras en cuerpos de tres dimensiones, considerando la posición geográfica del modelo.
c) El costo del software tenía que ser lo mas bajo posible.
d) La disponibilidad del software debía ser prácticamente inmediata.
e) Para evitar demoras para el proyecto, debía ser fácil su implementación y el aprendizaje de su uso.
Luego de una búsqueda de software que cumpla con los requisitos planteados se encontró uno que parcialmente resolvía el problema. Se trata de "Google SketchUP", un software de uso libre, que se puede utilizar para crear, modificar y compartir modelos 3D. Es mas fácil de aprender que otros programas de modelado 3D. Sin embargo, el mencionado software no resolvía el problema por completo y fue necesario emplear "Adobe Photoshop" y un programa de conteo de pixeles de un determinado color que lo desarrolle con el software "Mathematica".
El procedimiento de simulación tiene los siguientes pasos:a) Con ayuda de "Google SketchUP" se desarrolla el sombrero y modelo a simular en tres dimensiones.
b) Se referencia el modelo para la posición geográfica de interés (latitud y longitud).
c) Se realizan variaciones de la hora. Para cada hora de interés se genera un archivo de imagen capturando la pantalla.
d) Se utiliza "Adobe Photoshop" para recortar solo los rostros en los archivos de imagen.
e) Con ayuda del software desarrollado en "Mathematica", se lee los archivos graficos y se realiza un conteo de los pixeles con un color que corresponde a sombra. Como resultado del análisis, se tiene el porcentaje de sombra sobre el rostro para cada una de las simulaciones realizadas.
Es evidente que el procedimiento descrito para evaluar la sombra sobre el rostro es una aproximación, ya que al momento de contar los pixeles con un determinado color sólo se toma en cuenta imágenes bidimensionales.


3. SIMULACIONES
3.1. Tamaño del ala del sombrero para obtener una sombra total sobre el rostro al medio día
Con el fin de estudiar el efecto del tamaño del ala de un sombrero respecto a la eficiencia del mismo, se procedió a modelar el tamaño de ala necesario, considerando que el ala del sombrero está completamente horizontal y además que se encuentra a 18 cm sobre el mentón, para lograr que una persona que mira hacia el norte al medio día (12:00 local) tenga sombra total sobre su rostro. Es importante mencionar que aproximadamente al medio día se registran los valores mayores de radiación ultravioleta solar.
Los resultados de esta simulación se muestran en la Fig. 3. Como era de esperar existe una dependencia con el día del año. Afortunadamente, esta dependencia permite que el tamaño del ala necesario para cubrir el rostro sea menor en las épocas en las que el índice de radiación ultravioleta es mayor y viceversa. Es interesante comparar los meses de invierno, donde se necesita un ala de hasta 15 cm para tener la sombra total sobre el rostro al medio día, con los de verano, que en virtud de la altura del sol, se llega a necesitar un ala de solo 2 cm para el mismo objetivo.

Haciendo un análisis del índice de radiación ultravioleta a lo largo del año (incluyendo la nubosidad) se eligieron dos días de particular interés para nuestro estudio (ver Fig. 4). Primero, el 21 de agosto (día juliano 234), por estar aproximadamente centrado entre el máximo y mínimo de radiación, y estar además, centrado entre el ala mayor y menor para tener la sombra total sobre el rostro al medio día. El segundo día elegido fue el 21 de octubre (día juliano 295), donde la radiación ultravioleta es relativamente alta (del orden de los 90 mW/m2) y la nubosidad aun no es demasiado elevada.

3.2. Modelado del porcentaje de sombra sobre el rostro para diferentes horas de un determinado día del año considerando diferentes tamaños del ala del sombrero
Se simuló la influencia del tamaño del ala del sombrero sobre el porcentaje de sombra que el mismo proporciona sobre el rostro. Para la simulación se considero:
a) El individuo portador del sombrero en todo momento ve en dirección norte.
b) El ala del sombrero simulado es horizontal y se encuentra a 18.5 cm sobre el mentón.
Con estas consideraciones, se realizó la simulación, para los días 21 de agosto y 21 de octubre, desde las siete de la mañana hasta las seis de la tarde, para sombreros con alas que van desde los 4 cm hasta los 15 cm. Los resultados de las simulaciones se pueden ver en la Fig. 5. Es interesante resaltar lo siguiente:
a) A medida que nos acercamos al verano se necesitan alas mas pequeñas para lograr una sombra del 100% sobre el rostro. En efecto, en la Fig. 5b todos los sombreros logran una sombra del 100% al medio día.
b) En todos los casos, como era de esperar, mientras más grande es el tamaño del ala, mayor es la sombra que genera sobre el rostro.
c) Existe, como era de esperar, una simetría mañana-tarde.
d) En el 21 de agosto, el porcentaje inicial y final de sombra está alrededor del 45%, mientras que para el 21 de octubre este valor es de aproximadamente 60%.

3.3. Altura del ala del sombrero (respecto al mentón) necesaria para obtener una sombra total sobre el rostro al medio día para diferentes épocas del año
La eficiencia de un determinado sombrero varía de una época del año a otra. Por ejemplo, durante agosto, no todos los sombreros simulados muestran una sombra del 100% sobre el rostro al medio día, mientras que durante el mes de octubre, todos los sombrero estudiados tendrían, en cuanto a la radiación solar directa se refiere, una protección al medio día del 100%.
La posición del sombrero en la cabeza es un factor que influye fuertemente sobre la cantidad de radiación solar que llega al rostro de la persona, por lo tanto, se simuló, para cada mes del año, la eficiencia del sombrero en función de la profundidad del ala del mismo respecto al mentón de la persona. Los resultados de la mencionada simulación se pueden apreciar en la Fig. 6.

3.4. Modelado de distintos tipos de sombreros
Luego de un análisis preliminar realizado en el laboratorio de Física de la Atmósfera se decidió comparar la eficiencia de los tres tipos de sombreros siguientes:
A) Gorra tradicional.
B) Gorra con solapa lateral.
C) Sombrero con ala elíptica.
Estos sombreros fueron modelados en escala 1:1 y en tres dimensiones con ayuda del programa "Google SketchUP". En la Fig. 7 se puede apreciar una imagen que muestra estos sombreros.

La simulación para comparar estos tres modelos de sombreros se la realizo para el día 21 de agosto desde las siete de la mañana hasta las seis de la tarde. Por otro lado, el ala de los sombreros empleada para la simulación fue de 7 cm. La selección de este tamaño de ala responde a la idea de acercamos (no completamente) a tener una sombra total sobre el rostro al medio día del 21 de agosto. Para cada uno de los tres sombreros se realizó una simulación con:
El individuo con el rostro de frente al norte (curvas con cruces en la Fig. 8).
Con el perfil izquierdo en dirección al norte (curvas con cuadrados en la Fig. 8).
Con el perfil derecho en dirección al norte (curvas con círculos en la Fig. 8).

Como se puede apreciar en la Fig. 8, la simetría de la sombra sobre el rostro alrededor del medio día es evidente en las curvas con cruces, mientras que las curvas con cuadrados y círculos muestran, como era de esperarse, una clara dependencia mañana-tarde.
El análisis comparativo de los resultados de estas simulaciones nos permite realizar los siguientes comentarios:
a) Los tres sombreros seleccionados se comportan de modo similar cuando uno está de frente al sol (líneas con cruces en la Fig. 8). Sin embargo, el sombrero "C" tiene una pequeña ventaja al inicio de la mañana y al finalizar la tarde, ventaja que no es relevante debido a los bajos niveles de radiación ultravioleta a esas horas.
b) En el caso de exponer el perfil derecho (líneas con círculos en la Fig. 8), el comportamiento de los tres sombreros es similar por la mañana. Al medio día, el sombrero tipo "C" tiene un poco de ventaja (llega a aproximadamente 95% de sombra sobre el rostro) respecto a los otros sombreros. Luego del medio día y a lo largo de toda la tarde, el sombrero "B" muestra una clara ventaja relativa. En efecto, en ningún momento el sombrero "B" tiene valores de sombra sobre el rostro por debajo del 30%.
c) La situación al exponer el perfil izquierdo es, como era de esperarse, completamente análoga a la del perfil derecho (ver líneas con cuadrados en la Fig. 8). Durante toda la mañana hasta llegar al medio día, el sombrero "B" tiene una clara ventaja respecto a los otros sombreros. Al medio día, el sombrero "C" tiene una ligera ventaja relativa. Durante la tarde prácticamente los tres sombreros se comportan igual.
3.5. Comparación de los resultados obtenidos experimentalmente con los modelados
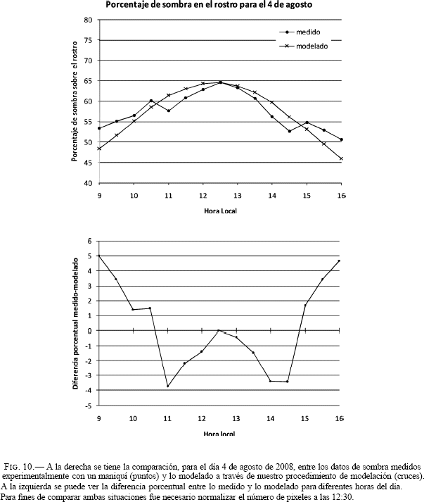
Con el fin de validar el protocolo de simulación desarrollado en el presente trabajo, se procedió a comparar las sombras sobre el rostro de un maniquí, con un sombrero horizontal de ala de 8 cm, y durante un día con cielo despejado (4 de agosto de 2008) con lo modelado para la misma situación . En la Fig. 9 se puede observar parte del procedimiento de comparación.

La comparación realizada entre lo modelado y lo medido con el maniquí muestra que nuestra técnica de modelado es satisfactoria (ver Fig. 10).

4. CRITERIOS PARA LA SELECCIÓN DEL SOMBRERO A SER FABRICADO
Sobre la base de las simulaciones y análisis realizados se puede llegar a las siguientes conclusiones:
a) Mientras más grande es el ala del sombrero, mejor es la protección . Sin embargo, un análisis de las simulaciones descritas en §3.3, ver Fig. 6, nos muestra que a partir de un determinado tamaño de ala y en una determinada época del año, se logra obtener la totalidad de sombra sobre el rostro. Por lo tanto, si se hacen sombreros con alas mas grandes de lo necesario se malgastaría material.
Por lo comentado anteriormente y teniendo en cuenta las épocas del año en las cuales la radiación ultravioleta es mas fuerte, un análisis de las simulaciones descritas en §3.3 nos permite concluir que el ala del sombrero debería cumplir con la siguiente recomendación :
Tamaño del ala recomendado (cm) > 10 cm.
Con esta recomendación se tiene, por ejemplo, que para el día 21 de agosto se logre una sombra total sobre el rostro al medio día con cualquiera de los sombreros estudiados (ver Fig. 3).
b) Sin importar cuál de los sombreros se elija, se debe recomendar el uso apropiado del mismo. En la Fig. 6 se puede apreciar que la eficiencia del sombrero tiene una clara dependencia con la posición respecto al mentón.
Se recomienda un uso adecuado del sombrero.
c) El análisis realizado en las simulaciones del punto §3.4 nos permite concluir que el uso de la gorra tradicional es inadecuado en la mayoría de los escenarios posibles, teniendo utilidad solamente cuando el sol esta de frente y nos acercamos al medio día. Por lo descrito anteriormente, esta opción queda descartada.
d) El sombrero tipo "C" muestra características muy buenas prácticamente a lo largo de las horas de mayor riesgo (10:00 am a 15:00). Sin embargo, fuera del rango mencionado, no tiene un buen comportamiento cuando uno no está de frente al sol. Por otro lado, la confección de este tipo de sombrero resulta más cara que la de los otros dos.
e) El tipo de sombrero "B", gorra con solapa lateral, es la recomendación de este trabajo.
Las simulaciones realizadas muestran que el comportamiento de este tipo de sombrero es bueno a lo largo de todo el día. Por ejemplo, para el día 21 de agosto (ver Fig. 8) se tiene una sobra sobre el rostro mayor al 30% para todo el día y, la sombra al medio día, con un ala de 7 cm (que es menor al tamaño recomendado por este trabajo) es mayor al 75% en todas las situaciones estudiadas.
Tipo de sombrero recomendado: Gorra con solapa lateral.
f) El tamaño de la solapa lateral guarda una directa relación con la eficiencia y la estética del sombrero. La recomendación del presente trabajo es hacer el sombrero con la solapa lateral lo mas grande posible sin comprometer demasiado la estética.













