INTRODUCCIÓN
Los sedimentos son una parte importante para el estudio de contaminación, más si es para el estudio de elementos traza, ya que es un medio de transporte en forma sólida que los libera a cuerpos de agua 1. La movilización de los elementos traza están controlados fundamentalmente por condiciones de oxidación/reducción y pH. En los últimos años, varios estudios en sedimentos fueron realizados en Bolivia, entre ellos, la especiación de elementos traza a través de un método que caracteriza tres fracciones: 1) metales traza en forma disponible, 2) metales como reserva del sedimento, y 3) el contenido pseudo-total en elementos traza 2 . Otro estudio presenta la evaluación de un procedimiento de digestión de elementos traza realizado mediante la utilización de tres métodos de digestión: extracción por reflujo, calcinación en mufla y digestión ácida en horno de microondas 3. También se realizó la evaluación de tres métodos de digestión ácida. Dos de estos métodos aplicables a sedimento, suelos y lodos y el tercer método aplicable para suelo 4 . Ormachea et al. presentaron un estudio de sedimentos explicando la geo-génesis de los elementos traza y el As en sedimentos y aguas subterráneas 5 . En otro estudio se realizó el análisis de elementos traza en sedimentos de la Cuenca Katari Bajo de pozos de monitoreo utilizando el método de digestión ácida para determinar las concentraciones mediante la técnica de Fluorescencia de Rayos X por reflexión total 6 . Todos estos estudios usaron diferentes configuraciones y técnicas analíticas para la determinación de elementos traza pseudo-totales.
De acuerdo a estos antecedentes, se considera oportuno generar una metodología óptima para la cuantificación de los elementos traza (ET) que presente ventajas significativas. Por ejemplo, que sea aplicable a una diversidad de ET, y que el proceso de digestión por microondas disminuya los tiempos del ataque del ácido 11 . Debido a que la digestión por microondas se realiza en un sistema cerrado, ésta provoca un aumento en temperatura y presión de los recipientes. De esta forma, la energía entregada a la muestra y la agresividad del proceso es mayor 11 , facilitando así, su destrucción pseudo-total. Por otro lado, las características litológicas y características fisicoquímicas como la materia orgánica (MO) formada a través de complejos, la salinidad (CE) sedimentada con sales de carbonatos, y pH determinaran las condiciones en las que los ET se encuentran en los sedimentos.
Por tanto, el presente trabajo presenta un análisis de la optimización del método de digestión ácida en un sistema cerrado de microondas para la determinación de concentraciones de elementos traza pseudo-total de Fe, Mn y Zn en sedimentos a tres diferentes profundidades de un piezómetro PK-9 ubicado en la parte baja de la Cuenca Katari Bajo del Altiplano Boliviano 7. El seguimiento para el análisis se realizaró empleando dos materiales de referencias certificados: el MESS-3 (Marine Reference Materials for Trace Metals and other Constituents) material específico para sedimentos y el C17-2 (Certifícate of Analysis Metals in Soil) específico para suelos.
EXPERIMENTAL
Área de estudio
Las muestras de sedimentos fueron obtenidas por el proyecto de Polución y Biorremediación Acuática UMSA-ASDI (2015) de la Cuenca Katari Bajo ubicado en el departamento de La Paz (Bolivia). La zona está localizada entre las regiones de las poblaciones de Tambillo y la Bahía de Cohana (Figura 1). El acceso a la zona es mediante el tramo carretero El Alto - Laja Desaguadero y El Alto - Pucarani. El piezómetro (PK-9) fue elegido al azar de un total de 17 piezómetros y se encuentra localizado en la comunidad de Calería (Tabla 1). Las muestras de sedimentos fueron recolectadas a diferentes profundidades a medida que se realizaba la perforación de cada nivel de capa en bolsas ziplock. Seguidamente, las muestras fueron codificadas respecto a la profundidad y el lugar del cuál fueron tomadas para luego ser transportadas al laboratorio de Hidroquímica del Instituto de Investigaciones Químicas (IIQ) de la Universidad Mayor de San Andrés (UMSA) donde se realizaron los análisis de los parámetros fisicoquímicos.
MÉTODOS
La metodología aplicada consiste en homogenizar la muestra de sedimento para el análisis en laboratorio. Para esto, se debe obtener una fracción fina de sedimento de 2 mm y 63 µm, que esté secada a temperatura ambiente para manipular y procesar. Los parámetros de pH, CE, MO y textura fueron analizados siguiendo procedimientos estandarizados por la Unidad de Análisis de Calidad Ambiental (UACA) perteneciente al IBTEN.
Parámetros fisicoquímicos
Una característica litológica de los sedimentos expresa las proporciones relativas de las distintas fracciones de acuerdo con el tamaño de las partículas para la muestra. El piezómetro estudiado tiene tres profundidades: la primera PK9-1 entre 0 - 0,5 m que tiene una textura de arena, la segunda PK9-2 entre 0,5 - 2,0 m presenta una textura de franco-arcilloso-arenoso y la tercera PK9-3 entre 2,0 - 2,7 m con una textura de arena 8 (Figura 2).
El contenido de carbón orgánico (CO) de los sedimentos fue determinado por el método de Walkley y Black donde, la oxidación con dicromato de potasio ( K 2 Cr 2 O 7 ) y la materia orgánica del sedimento (MO) fue calculada multiplicando el porcentaje de (CO) por el factor de 2 11 .
Digestión ácida y determinación de Fe, Mn y Zn
Se han definido dos procedimientos de optimización para el tratamiento de los materiales de referencia MRC MESS-3, C17-2 y muestras donde, se pesaron 0,1 g de MRC y 0,2 g de muestras PK9 en una balanza analítica ±0,001 g. Los procedimientos consisten en variar volúmenes de agua regia HNO3/HCl, sin/con H2O2 al 30% y potencias de 300/600 W y 100/300/700 W (Tabla 3).
Para descomponer los MRCs y muestras en un sistema cerrado, se ha empleado un equipo de microondas MICROWAVE 3000, ANTON PAAR. Cabe destacar que se ha establecido parámetros de presión de 75 bar, tiempo por rampa de 5 y 10 min, tiempo de mantenimiento por rampa de 5 y 10 min y ventilación (Figura 3).
La optimización del método fue realizada empleando blancos (matriz sin analito), cuatro replicas por MRC y muestras donde, se evaluaron la varianza para representar la variabilidad de los datos obtenidos, exactitud en términos del sesgo y el grado de concordancia entre el valor experimental y reporte de la hoja de MRC. Así también, se ha determinado el error sistemático aplicando la t-student al 95% de confianza con grados de libertad de (gl= n-1) (Tabla 2).
Finalmente, el análisis elemental se realizó a través de la técnica de Espectrometría de Absorción Atómica a la Flama FAAS (PERKIN ELMER, ANALYST 200), para determinar la concentración pseudo-total de los analitos presente en las muestras de sedimentos.
RESULTADOS Y DISCUSIONES
Resultados de parámetros fisicoquímicos
Los valores de pH para las tres profundidades se encuentran en un rango de 7,3 a 8,6 clasificados como muy débil a alta alcalinidad. La conductividad eléctrica (CE) se encuentra en un rango de 50 µS/cm en la parte superficial, 217 µS/cm parte media y 101 µS/cm parte profunda indicando clasificación salino-alcalino 11 . El contenido de materia orgánica (%MO) varia en un rango de 0,273 % parte superficial, 3,460 % parte media y 0,542 % parte profunda con mayor contenido de materia orgánica en la segunda profundidad 9 . Este mayor contenido de MO podría disminuir la disponibilidad de los metales por complejación debido a la formación de complejos metálicos y sulfuros metálicos insolubles que son sumideros importantes para elementos traza en los sedimentos 10 .
Resultados de las concentraciones de los materiales de referencia MRC
La optimización de la digestión ácida para la cuantificación de elementos traza fue realizada empleando dos materiales de referencia: MESS-3 específico para sedimentos y C17-2 específico para suelos.
La tabla 4 resume los resultados de las concentraciones de Fe, Mn y Zn con el MRC (MESS-3) con tratamiento de potencia de 300W/600W para encontrar las condiciones óptimas. Las condiciones óptimas fueron las siguientes: MESS-3-1 con un tiempo de digestión de 3 horas, con H2O2 y con 3:3 mL HNO3/HCl; MESS-3-2 con un tiempo de 3 horas, sin H2O2 y con 3:3 mL HNO3/HCl; MESS-3-3 con un tiempo de 15 minutos, sin H2O2 y con 3:1 mL HNO3/HCl; y MESS-3-4 con un tiempo de 3 horas, sin H2O2 y con 3:1 mL HNO3/HCl. En todos los casos, las concentraciones de los ET muestran errores aceptables. Por tanto, al variar las condiciones de tiempo de pre-digestión, con H2O2 y HNO3/HCl no afecta considerablemente las concentraciones de ET presentes en el MRC.
La tabla 6 resume los resultados de las concentraciones de Zn y Mn en el MRC C17 para el experimento C17-2-1. Para éste, las condiciones óptimas del método fueron con tratamiento de potencia de 300W/600W, tiempo de 3 horas, con H2O2 y 3:1 mL HNO3/HCl. Para el experimento C17-2-2, las condiciones óptimas fueron con un tiempo de 15 minutos, sin H2O2 y con 3:1 mL HNO3/HCl. Los resultados muestran que, variar las condiciones de tiempo de pre-digestión, como las cantidades de H2O2 y HNO3/HCl, no afecta considerablemente las concentraciones de Zn. La tabla 8 resume los resultados de C17-2 con tratamiento de potencia de 100W/300W/700W, con un tiempo de 3 horas, con H2O2 y 3:3 mL HNO3/HCl; y C17-2-4 con un tiempo de 3 horas, sin H2O2 y con 3:3 mL HNO3/HCl; y C17-2-5 con un tiempo de 3 horas, con H2O2 y con 3:1 mL HNO3/HCl donde, al variar las condiciones afectan considerablemente las concentraciones de Mn.
Los resultados estadísticos para un MRC MESS-3 muestra criterios de aceptación óptima para Zn, Mn y Fe con tcal < tcrit, indicando que no existe diferencia significativa entre el valor experimental y el valor reportado en la hoja de MRC (Tabla 5). Por otro lado, los valores de %CV < 5% demuestra que no existe variabilidad en los datos obtenidos durante la digestión (Tabla 5). A partir de estos resultados se logró determinar el procedimiento óptimo con un tiempo de 3 horas, sin H2O2 y con 3:1 mL HNO3/HCl. Así también, para el MRC C17-2 con potencia de 300/600 W, muestra que tcal < tcrit para Zn donde, no existe diferencia significativa. En el caso de Mn, el tcal ≤ tcrit indicando que existe diferencia significativa entre los valores experimentales y valores de referencia y %CV < 5% con variabilidad mínima de los datos (Tabla 7). Los resultados para un MRC C17-2 con potencia de 100/300/700 W muestran tcal > tcrit para Zn y Mn, indicando diferencias significativas entre el valor experimental y el valor reportado en la hoja de MRC. Ésto demuestra que el procedimiento 2 no es óptimo para determinar dichos ET (Tabla 9). Por tanto, el procedimiento óptimo es a potencia de 300/600 W con un tiempo de 15 minutos, sin H2O2 y 3:1 mL HNO3/HCl.
Concentración pseudo-total de ET de una muestra PK-9 de sedimento: representados con un diseño factorial de 2X2
A través de un análisis estadístico de un diseño factorial 2x2 (ANOVA) con el programa SPSS en las muestras del piezómetro PK-9 se ha determinado la interacción que existe al variar factores como potencias de 300/600 W y 100/300/700 W, relación volumen 3:3 mL y 3:1 mL de HNO3/HCl, y con/sin H2O2 al 30% en una muestra de sedimentos a profundidades de PK9-1 (0-0,5) m, PK9-2 (0,5-2,0) m y PK9-3 (2,0-2,70) m.
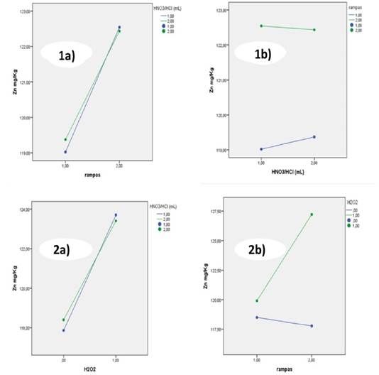
Resultados de las concentraciones pseudo-totales de Zn, Mn y Fe de PK9-1 (0-0,5 m)
La figura 4 resume las interacciones de las concentraciones pseudo-totales de Zn, Mn y Fe en sedimentos de la primera profundidad (PK9-1) con variación de factores de potencias de 300/600 W y 100/300/700 W, y relación de volumen 3:3 mL y 3:1 mL de HNO3/HCl. La figura 4.1a) con interacciones rampa*volumen muestra la variabilidad en las concentraciones de Zn, donde al variar los factores de potencia 300/600 W y 3:3 mL HNO3/HCl con respecto a potencia 300/600 W y 3:1 mL HNO3/HCl no existe variación en la concentración de Zn. Por otro lado, para potencia 100/300/700 W y 3:3 mL HNO3/HCl se obtiene concentraciones bajas de Zn con respecto a potencia 100/300/700 W y 3:1 mL HNO3/HCl donde se obtiene mayor concentración. La figura 4.2a) con interacciones volumen*rampa muestra la variabilidad en las concentraciones de Zn, donde al variar el volumen 3:3 mL HNO3/HCl y potencia 100/300/700 W se obtiene concentraciones bajas con respecto a volumen 3:3 mL HNO3/HCl y potencia 300/600 W. Así mismo, para un volumen de 3:1 mL HNO3/HCl y potencia 100/300/700 W se obtiene concentraciones mayores con respecto a un volumen de 3:1 mL HNO3/HCl y potencia 300/600 W.
La figura 4.1b) con interacciones rampa*volumen muestra la variabilidad en las concentraciones de Mn, donde al variar los factores de potencia 300/600 W y 3:3 mL HNO3/HCl se obtiene bajas concentraciones con respecto a potencia 300/600 W y 3:1 mL HNO3/HCl. Por otro lado, para potencia 100/300/700 W y 3:3 mL HNO3/HCl se obtiene concentraciones altas de Mn con respecto a potencia 100/300/700 W y 3:1 mL HNO3/HCl donde se obtiene menor concentración de Mn. La figura 4.2b) con interacciones volumen*rampa muestra variabilidad en las concentraciones de Mn, donde al variar el volumen 3:3 mL HNO3/HCl y potencia 300/600 W se obtiene concentraciones bajas con respecto a volumen 3:3 mL HNO3/HCl y potencia 100/300/700 W. Así, para un volumen de 3:1 mL HNO3/HCl y potencia 300/600 W se obtiene concentraciones bajas con respecto a un volumen de 3:1 mL HNO3/HCl y potencia 100/300/700 W donde las diferencias en las concentraciones son significativas.
La figura 4.1c) con interacciones rampa*volumen muestra variabilidad en las concentraciones de Fe, donde al variar los factores de potencia 300/600 W y 3:1 mL HNO3/HCl se obtiene muy bajas concentraciones con respecto a potencia 300/600 W y 3:3 mL HNO3/HCl. Por otro lado, para potencia 100/300/700 W y 3:1 mL HNO3/HCl se obtiene concentraciones muy bajas de Fe con respecto a potencia 100/300/700 W y 3:3 mL HNO3/HCl.
La figura 4.2c) con interacciones volumen*rampa muestra la variabilidad en las concentraciones de Fe, donde al variar el volumen 3:3 mL HNO3/HCl y potencia /100/300/700 W se obtiene concentraciones relativamente bajas con respecto a volumen 3:3 mL HNO3/HCl y potencia 300/600 W. Además, para un volumen de 3:1 mL HNO3/HCl y potencia 300/600 W se obtiene concentraciones relativamente bajas con respecto a un volumen de 3:1 mL HNO3/HCl y potencia 100/300/700 W donde las diferencias en las concentraciones son significativas para ambos puntos de interacción.
Resultados de las concentraciones pseudo-totales de Zn, Mn y Fe de PK9-2 (0,5-2,0 m)

Figura 5 Diagrama factorial 2x2 para el Zn variando potencia (rampa 1; 300/600 W y rampa 2; 100/300/700 W), volumen de ácido (1; HNO3: HCl 3:1 v/v y 2; HNO3: HCl 3:3 v/v) y volumen de H2O2 (1; 1 mL H2O2 2; 0 mL H2O2)
La figura 5 resume las interacciones de las concentraciones pseudo-totales de Zn, Mn y Fe en sedimentos de la segunda profundidad PK9-2 con variación de factores de potencias de 300/600 W y 100/300/700 W, relación de volumen 3:3 y 3:1 mL HNO3/HCl, y con/sin H2O2. La figura 5.1a) con interacciones rampa*volumen muestra variabilidad en las concentraciones de Zn, donde al variar los factores de potencia 300/600 W y volumen 3:3 y 3:1 mL HNO3/HCl se obtiene bajas concentraciones con respecto a potencia 100/300/700 W y volumen 3:3 mL y 3:1 mL HNO3/HCl donde se obtiene mayores concentraciones de Zn. La figura 5.1b) con interacciones volumen*rampa muestra variabilidad en las concentraciones de Zn, donde al variar el volumen 3:3 mL HNO3/HCl y potencia 300/600 W se obtiene concentraciones muy bajas con respecto a volumen 3:3 mL HNO3/HCl y potencia 100/300/700 W. Por otro lado, para un volumen de 3:1 mL HNO3/HCl y potencia 300/600 W se obtiene concentraciones muy bajas con respecto a un volumen de 3:1 mL HNO3/HCl y potencia 100/300/100 W. La figura 5.2a) muestra interacciones con/sin H2O2*volumen con una diferencia significativa, donde al añadir H2O2 las concentraciones obtenidas de Zn son mayores con respecto sin H2O2. La figura 5.2b) muestra la interacción rampas* con/sin H2O2, donde se muestra mayor concentración de Zn para potencia 100/300/700 W y con H2O2 y bajas concentraciones de Zn con potencias de 300/600 W y sin H2O2.

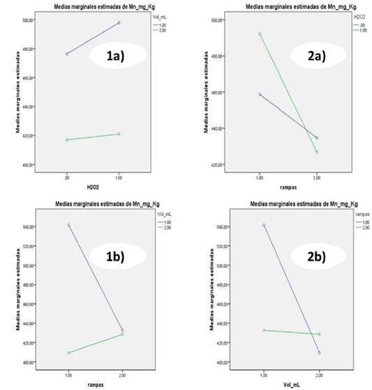
Figura 6 Diagrama factorial 2x2 para el Mn variando potencia (rampa 1; 300/600 W y rampa 2; 100/300/700 W), volumen de ácido (1; HNO3: HCl 3:1 v/v y 2; HNO3: HCl 3:3 v/v) y volumen de H2O2 (1; 1 mL H2O2 2; 0 mL H2O2)
La figura 6.1a) resume las interacciones con/sin H2O2*volumen. Esta figura muestra la variabilidad en las concentraciones de Mn, para una relación de H2O2 y volumen de ácido con el que se tiene mayor concentración del analito es: 3:1 mL HNO3/HCl y con 1 mL H2O2 con una potencia 300/600 W, con respecto con 1 mL H2O2 y 3:3 mL HNO3/HCl se obtiene concentraciones bajas para el analito.
La figura 6.2a) con interacciones rampa*con/sin H2O2 muestra variabilidad en las concentraciones de Mn. Para una potencia 300/600 W y con H2O2 se obtiene concentraciones altas para el analito con respecto de la potencia de 100/300/700 W y sin H2O2 donde se obtiene concentraciones bajas del analito. La figura 6.1b) con interacciones rampa*volumen muestra variabilidad en las concentraciones de Mn donde, a una potencia 300/600 W y volumen 3:1 mL HNO3/HCl, se obtiene mayor concentración del analito. La figura 6.2b) con interacciones volumen*rampa muestra variabilidad en las concentraciones de Mn, donde al variar el volumen 3:1 mL HNO3/HCl y potencia 300/600 W, se obtiene concentraciones muy altas con respecto a volumen 3:3 mL HNO3/HCl y potencia 100/300/700 W. En este último se obtiene concentraciones muy bajas con respecto a la otra potencia. Por tanto, es óptima la primera potencia de 100/300/700 W.

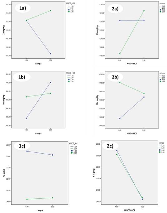
Figura 7 Diagrama factorial 2x2 para el Fe variando potencia (rampa 1; 300/600 W y rampa 2; 100/300/700 W) y volumen de ácidos (1; HNO3: HCl 3:1 y 2; HNO3: HCl 3:3)
La figura 7.1a) con interacciones rampa*volumen muestra variabilidad en las concentraciones de Fe, donde al variar los factores de potencia y volumen HNO3/HCl las concentraciones muestran diferencias significativas. Por otro lado, para potencia 100/300/700 W y 3:3 mL HNO3/HCl se obtiene concentraciones altas de Fe con respecto a potencia 300/600 W y 3:1 mL HNO3/HCl que se obtiene concentraciones bajas de Fe. La figura 7.2a) con interacciones volumen*rampa muestra la variabilidad en las concentraciones de Fe, donde al variar el volumen 3:3 mL HNO3/HCl y potencia 300/600 W se obtiene concentraciones relativamente bajas con respecto a volumen 3:3 mL HNO3/HCl y potencia 100/300/700 W. Además, para un volumen de 3:1 mL HNO3/HCl y potencia 100/300/700 W se obtiene concentraciones altas con respecto a las otras condiciones. La figura 7.1b) muestra interacciones con/sin H2O2*volumen con una diferencia significativa. Cuando no se añade H2O2 y volumen 3:3 mL y 3:1 mL HNO3/HCl, las concentraciones obtenidas de Fe son mayores con respecto con H2O2 y volumen 3:3 mL y 3:1 mL HNO3/HCl. La interacción volumen* con/sin H2O2, con mayor concentración de Fe para una potencia de 300/600 W y sin H2O2 y bajas concentraciones de Fe para potencias de 100/300/700 W y sin H2O2. La figura 7.2b) con interacciones de rampa* con/sin H2O2 se observa concentraciones altas con potencia 100/300/700 W y sin H2O2.
Resultados de las concentraciones pseudo-totales de Zn, Mn y Fe de PK9-3 (2,0-2,7) m

Figura 8 Diagrama factorial 2x2 para el Fe, Mn y Zn variando potencia (rampa 1; 300/600 W y rampa 2; 100/300/700 W) y volumen de ácidos (1; HNO3: HCl 3:1 y 2; HNO3: HCl 3:3)
En la figura 8.1a), la interacción rampa*volumen muestra la variabilidad en las concentraciones para el Zn, variando los factores de potencia y volumen para una potencia de 100/300/700 W. Con un volumen de 3:1 mL HNO3/HCl se obtiene mayor concentración de Zn. En la interacción de volumen*rampa (figura 8.1b) se observa la variabilidad en las concentraciones. Para una potencia de 100/300/700 W, la concentración es mayor para el Zn mientras que para una potencia 300/600 W es todo lo contrario, ya que la concentración es muy baja para el Zn. En la figura 8.2a), la interacción de la rampa*volumen para una potencia 300/600 W muestra que se tiene mayor concentración para el Mn con un volumen de 3:1 mL HNO3: HCl, mientras que para el volumen de 3:3 mL HNO3: HCl no hay interacción entre los factores de volumen y potencia, y por tanto, no hay cambio en las concentraciones. En la figura 8.2b), la interacción de volumen*rampa para una potencia 300/600 W y con un volumen 3:1 mL HNO3: HCl muestra que se obtiene mayor concentración para el Mn mientras que para una potencia de 100/300/700 W no presenta un cambio en las concentraciones para el Mn. La figura 8.3a) muestra la interacción rampa*volumen para el Fe, con una potencia de 100/300/700 W y con un volumen de 3:3 mL HNO3: HCl. En este caso, se obtiene mayor concentración de Fe. La figura 8.3b) muestra la interacción volumen*rampa para el Fe, que para una potencia de 100/300/700 W con un volumen de 3:3 mL HNO3: HCl, se obtiene mayor concentración de Fe.
CONCLUSIONES
En conclusión, los sedimentos están conformados por arcillas con materia orgánica de color marrón y arena. El pH se clasifica como ligeramente a muy alcalino, la CE los clasifica como salino-alcalino y el %MO clasifica de muy bajo a moderado en el contenido de MO. Por tanto, la muestra PK9-2 presenta contenidos altos en sales y %MO debido a que está conformado principalmente por arcilla con una capa impermeable con lenta infiltración y alta evaporación.
El material de referencia MESS-3 (Marine Reference Materials for Trace Metals and other Constituents) muestra criterios de aceptación tcal < tcrit para Zn, Mn y Fe indicando que no existe diferencias significativas entre el valor experimental y el valor de referencia. Así también, la precisión determinada a través del %CV < 5%, indica que no existe variabilidad entre los datos obtenidos. Por tanto, el procedimiento óptimo es 3 horas, sin H2O2 y con 3:1 mL HNO3/HCl. El material de referencia C17-2 (Certifícate of Analysis Metals in Soil) muestra criterios de aceptación para una potencia de 300/600 W de tcal < tcrit para Zn y tcal ≤ tcrit para Mn. Este caso indica que existe diferencia significativa entre el valor experimental y el valor de referencia excepto para Zn. La precisión en función al %CV < 5% indica que no existe variabilidad en los datos obtenidos. Para potencia de 100/300/700 W el criterio de aceptación es tcal > tcrit para Zn y Mn indicando diferencia significativa entre el valor experimental y el valor de referencia. Por tanto, el procedimiento óptimo de digestión es a una potencia de 300/600 W en un tiempo de 15 minutos, sin H2O2 y 3:1 mL HNO3/HCl.
A través de un análisis con diseño factorial 2x2 se determinó las condiciones más óptimas para determinar Fe, Mn y Zn. Por consiguiente, para la primera profundidad PK9-1 (0-0,5 m) el procedimiento óptimo es a una potencia 100/300/700 W y volumen de 3:1 mL HNO3/HCl para Zn. El procedimiento óptimo es a potencias de 300/600 W y 100/300/700 W, con volumen 3:3 HNO3/HCl para Mn, y el procedimiento optimo es a una potencia de 300/600 W y un volumen de 3:3 mL HNO3/HCl para Fe.
Para la segunda profundidad PK9-2 (0,5-2,0 m), con contenido de %MO las condiciones óptimas es a una potencia de 100/300/700 W, volumen 3:3 mL HNO3/HCl y con H2O2 para Zn, el procedimiento optimo es a una potencia 300/600 W, con/sin H2O2 y volumen 3:3 mL HNO3: HCl para el Mn, y las condiciones óptimas es a una potencia de 100/300/700 W y volumen 3:3 mL HNO3/HCl para Fe. Así también, para condiciones de sin H2O2 con potencia 300/600 W y volumen 3:3 mL HNO3/HCl es óptimo para Fe.
Para la tercera profundidad PK9-3 (2,0-2,7 m) las condiciones óptimas es a un volumen 3:1 mL HNO3/HCl y potencia 100/300/700 W para Zn, las condiciones óptimas son a una potencia de 300/600 W y volumen 3:1 mL HNO3/HCl para Mn y las condiciones óptimas para una potencia de 100/300/700 W y un volumen 3:3 mL HNO3: HCl para Fe.
Finalmente, al variar las condiciones de potencia, volumen de HNO3/HCl y con/sin H2O2, no se alteran considerablemente las concentraciones promedio de los ET como de Zn y Mn en las tres profundidades mostrando una P < 0,05 con excepción para el Fe donde muestra una P > 0,05. Por otro lado, las concentraciones de Zn que van entre 117,808 ± 2,391mg/kg a 131,250 ± 3,043 mg/kg, de Mn que van entre 144,545 ± 7,797 mg/kg a 600,156 ± 26,108 mg/kg y Fe que van entre 18,396 ± 9,569 g/kg a 28,525 ± 4,493 g/kg varían con la profundidad de acuerdo a las características litológicas de los sedimentos.











uBio 














