Revista Boliviana de Química
versão On-line ISSN 0250-5460
Rev. Bol. Quim vol.35 no.3 La Paz 2018
FULL ORIGINAL ARTICLES
Effect of temperature on acoustic and volumetric properties of liquid binary mixtures of propanenitrile and butyl acetate, and of liquid binary mixtures of propanenitrile and pentyl acetate
Efecto de la temperatura en las propiedades acústicas y volumétricas de mezclas binarias líquidas que contienen propanonitrilo y acetato de butilo, y propanonitrilo y acetato de pentilo
Canzonieri, S.1, Mariano, A.1,2, Camacho, A.1,3,*, Orozco, M.1, Romaní, L.4
1Facultad de Ingeniería, Universidad Nacional del Comahue, Buenos Aires 1400 (8300) Neuquén- Capital, Patagonia, República Argentina, Phone (0299)4490-348, www. http://fainweb.uncoma.edu.ar/
2Consejo Nacional de Investigaciones Científicas y Técnicas (CONICET), Argentina, https://www.conicet.gov.ar/
3Facultad Regional del Neuquén, Universidad Tecnológica Nacional, (8300) Av. Pedro Rotter S/N Barrio Uno, soporteweb@frn.utn.edu.ar, Phone +54 299 4960510 // 3292, Fax +542994961162, Neuquén, Argentina http://www.frn.utn.edu.ar/
4Facultade de Ciencias, Campus As Lagoas s/n, E32004 Ourense, Phone +34988387000, sdefco@uvigo.es, http://www. http://fcou.uvigo.es/gl/
*Corresponding author: alberto.camacho@fain.uncoma.eclu.ar
Received 07 27 2018 Accepted 08 25 2018
Abstract
In this paper we present density (p) experimental data and sound velocity (u), for the binary systems: propanenitrile + butyl acétate and propanenitrile + pentyl acétate at atmospheric pressure and in a temperature range of 278, 15 K to 318.15 K every 5 K.
The molar volumes, V(x, T), excess molar volumes, VE(x, T), isobaric thermal expansión coefficient, α(x, T), excess isobaric thermal expansión coefficient, αE(x, T), the speeds of sound deviations, Δu(x, T), isentropic compressibility, kS(x, T), and excess isentropic compressibility, kSE(x, T), were determined from experimental information. Every set of results of properties of the excess was fitted to a polynomial equation like the Redlich-Kister equation [1], dependent on molar fraction and temperature, giving place to diversions of the size of the experimental mistake.
The studied binary mixture showed negative values of αE, Δu y kSE, in the whole range of composition and at all temperatures. The prediction of the speed of sound was calculated with the models proposed by Nomoto [2,3], Van Deal [4] and Ernst et al [5].
Keywords: Excess molar volume, Speed of sound deviation, Isobaric thermal expansión coefficient, Excess isentropic compressibility, Models for the speed of sound, Propanenitrile, Butyl acétate, Pentyl acétate.
Resumen
En este trabajo se presentan datos experimentales de densidad (p) y velocidad de sonido (u), para los sistemas binarios propanonitrilo + acetato de butilo y propanonitrilo + acetato de pentilo, a presión atmosférica y en un rango de temperatura que va desde los 278,15 K a 318,15 K a intervalos de 5 K.
A partir de la información experimental, se determinó el volumen molar, V(x, T), el volumen molar de exceso, VE(x, T), el coeficiente de expansión térmica, α(x, T), el coeficiente de expansión térmica de exceso, αE(x, T), la desviación de la velocidad del sonido, Δu(x, T), la compresibilidad isoentrópica, kS(x, T) y la compresibilidad isoentrópica de exceso, kSE(x, T). Cada conjunto de resultados de las propiedades de exceso fue ajustado a una ecuación polinomial tipo Redlich-Kister en función de la concentración y temperatura, obteniéndose desviaciones del orden del error experimental.
Las mezcla binarias estudiadas presentaron valores negativos de αE, Δu y kSE, en todo el rango de composición y para todas las temperaturas. Se realizó la predicción de la velocidad del sonido con los modelos propuestos por Nomoto, Van Deal y Ernst et al. Palabras clave: Volumen molar de exceso. Desviación de la velocidad del sonido. Coeficiente de expansión térmica de exceso. Compresibilidad isoentrópica de exceso. Modelos para la velocidad del sonido.
INTRODUCCIÓN
El conocimiento de las propiedades físicas, tanto de compuestos puros como de mezclas de fluidos, ha sido y sigue siendo el centro de interés de muchas investigaciones en los campos de la Física, de la Química-Física y de la Ingeniería Química.
Una razón para ello es puramente científica-académica, dirigida a intentar conseguir valores teóricos para las propiedades de fluidos puros y también de sus mezclas. Otra de las razones, tal vez la más importante en estos estudios, continúa siendo la necesidad de poseer un mayor conocimiento sobre la eficacia científico-técnica, e incluso económica, de procesos de separación y purificación de compuestos.
Los resultados obtenidos sobre la exactitud con que ciertos modelos predicen el comportamiento termodinámico de las mezclas, depende fundamentalmente de las consideraciones realizadas sobre las ecuaciones de estado utilizadas, del conocimiento que se tenga sobre las fuerzas intermoleculares de las sustancias que intervienen, de la dependencia de la temperatura y presión, y de la disponibilidad de datos experimentales fiables.
El estudio de las propiedades volumétricas de mezclas binarias en fase líquida proporciona información sobre la estructura de los componentes individuales en la mezcla y son necesarias en el diseño de procesos industriales. Por otra parte, el cálculo experimental de los volúmenes de exceso constituye una interesante fuente de información para el estudio de las diferencias que se producen en estas mezclas con respecto al comportamiento ideal y permite valorar la capacidad predictiva de los modelos moleculares de disoluciones.
De manera análoga, las propiedades acústicas, como ser, la velocidad del sonido y la compresibilidad isentrópica y compresibilidad isentrópica de exceso derivadas de ellas, son muy útiles para comprobar el tipo y la naturaleza de las interacciones presentes a nivel molecular en los componentes de la mezcla.
Nuestro grupo de investigación viene trabajando desde hace varios años sobre mezclas líquidas que contienen moléculas no polares y polares [6-10]. Bajo esta línea de trabajo es que se han medido en forma experimental y luego aplicado modelos teóricos a sistemas binarios y ternarios de esteres alifáticos, hidrocarburos aromáticos y nitrilos lineales.
Los esteres alifáticos son productos químicos importantes para la industria, y sus mezclas binarias con moléculas polares y no polares, han recibido amplia atención, especialmente para entender el comportamiento del oxígeno carbonilo en el grupo éster, -COO- y los grupos metilenos -CH2- de las cadenas alifáticas laterales de R o R' en R-COOR', dentro de la mezcla. [11,12].
Como una continuación del estudio que realizamos, y como parte de nuestro programa de investigación en curso, en este trabajo se presentan datos de densidad y velocidad del sonido de las mezclas binarias propanonitrilo + acetato de butilo y propanonitrilo + acetato de pentilo, en todo el rango de composición, a temperaturas que van desde los 278,15 hasta los 318,15 K con un paso de 5 K y a presión atmosférica.
El aporte de estos nuevos datos experimentales permite también su utilización en la comprobación, perfeccionamiento y obtención de parámetros de modelos semiempíricos y teóricos, los cuales tienen una importante aplicación en el diseño y construcción de equipos industriales.
EXPERIMENTAL
Productos utilizados
Los productos químicos utilizados en este trabajo de investigación fueron propanonitrilo (> 99,0 %), acetato de butilo (> 99,5 %) y acetato de pentilo (> 99,5 %), todos suministrados por Aldrich, todos los compuestos fueron tratados previamente a su utilización. Fueron deshumidificados con tamices moleculares Fluka 4 Å, producto desecante para reducir al mínimo la presencia de humedad, y se desgasificaron mediante un equipo de ultrasonido. En la Tabla 1 se comparan los valores experimentales de densidad y velocidad del sonido a las distintas temperaturas con los datos disponibles en la literatura; en general, el grado de concordancia obtenido es bueno.
Dispositivos experimentales
El equipo utilizado para realizar las determinaciones experimentales ha sido el Anton-Paar DSA 48, que realiza dos funciones simultáneamente, medir la densidad y la velocidad del sonido para la misma muestra. Para ello posee dos células de medida conectadas en serie, una para cada propiedad a medir según se observa en la figura 1.
En lo que respecta a la densidad, la célula de medida está formada por un tubo de vidrio (Duran 20) con forma de U, recubierto por una camisa también de vidrio, todo el conjunto está rodeado por un recinto termostático de cobre que controla la temperatura de la célula por efecto Peltier. La célula de medida de la velocidad del sonido se encuentra situada encima de la célula de medida de la densidad, ubicada en una cavidad hecha de teflón que está rodeada lateralmente por el transmisor-receptor de pulsos ultrasónicos, cuya superficie es de acero inoxidable.
La transmisión de calor entre el termostato de cobre y el tubo en U se ve favorecida por la presencia de un gas de alta conductividad térmica en el espacio que hay entre la camisa y el tubo, que facilita el equilibrio térmico entre la muestra y el sistema de termostatización. La medida de la temperatura de todo el sistema se realiza mediante un termistor situado en la célula de densidad con una precisión de ±0,01 K. El error en la estimación de la densidad es menor a 0,01 kg m-3 y en la velocidad del sonido menor a 0,05 m s-1.
RESULTADOS Y DISCUSIÓN
En la Tabla 2 y 3 se presentan los valores experimentales de densidad y velocidad del sonido de las mezclas binarias estudiadas a distintas temperaturas. A partir de los datos experimentales se calcularon el volumen molar de exceso (VE), el coeficiente de expansión térmica (α), el coeficiente de expansión térmica de exceso (αE), la desviación de la velocidad del sonido (Δu), la compresibilidad isoentrópica (ks) y la compresibilidad isoentrópica de exceso (kSE), utilizando las expresiones detalladas más adelante.
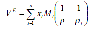
El volumen molar de exceso de una mezcla particular se puede calcular con la expresión siguiente:

Donde x¡ es la fracción molar del componente i en la mezcla, Mi es el peso molecular del componente, ρ es la densidad de la mezcla, ρi la densidad del componente i, y n es el número de componentes de la mezcla. El error estimado para VE es ±2 10-9 m3 mol-1.
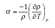
El coeficiente de expansión térmica α se puede obtener a partir de la ecuación de ajuste de las densidades ρ = ρ (T), por derivación analítica de dicha ecuación respecto de la temperatura. La incerteza estimada para α es ±0,003 kK-1.

El coeficiente de expansión térmica isobárico de exceso, αE, es posible calcularlo a partir de los volúmenes de exceso a diferentes temperaturas usando la ecuación termodinámica que sigue.

La reproducibilidad en la medición de la densidad produce una propagación del error para el volumen molar de exceso, de aproximadamente 2.10-9 m3 mol-1.La incertidumbre de αE, dependiente de lo anterior, se estima en el orden de 10-6 K-1, valor también indicado en la bibliografía [21].
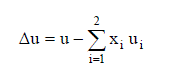
A partir de los datos de velocidad del sonido, se puede calcular la desviación de la velocidad del sonido, donde u la velocidad del sonido de la mezcla y ui la velocidad del sonido del componente puro. El error en Δu se estima en ±0,1 m s-1.

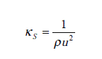
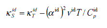
La compresibilidad isoentrópica Ks se obtiene a partir de las densidades y las velocidades del sonido haciendo uso de la ecuación de Laplace. La precisión en la determinación de la compresibilidad isoentrópica se estimó en ±0,05 TPa-1

Se puede calcular la compresibilidad isoentrópica de exceso kSE a partir de la ecuación:

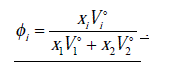
Donde la expresión para la compresibilidad isoentrópica de la mezcla ideal se deriva de la definición del coeficiente de compresibilidad isoterma KT y extendida a la idealidad [21]:

Donde:

Siendo, C°p.1 y C°p.2 las capacidades caloríficas molares isobáricas de los componentes 1 y 2; x1 y x2 son las fracciones molares de los componentes 1 y 2; y φ1 y las φ2fracciones en volumen de los componentes 1 y 2, definidas por:

Las densidades, velocidades del sonido, compresibilidades isoentrópicas, y coeficientes de expansión térmica se han ajustado para cada sistema a un polinomio del tipo:

Donde Y es la propiedad, x es la fracción molar, Aij son los coeficientes de ajuste, T es la temperatura y T0 es una temperatura de referencia.
Las magnitudes de exceso se han ajustado a la siguiente ecuación del tipo Redlich y Kister:

Donde YmE representa VE, αE, Δu, o kSE x es la fracción molar del componente 1, Aij son los coeficientes de ajuste obtenidos por mínimos cuadrados.
En todos los casos los valores de los coeficientes se han obtenido mediante el método de mínimos cuadrados con dos variables de ajuste, temperatura y composición.
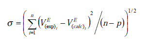
Los coeficientes Aij se dan en la Tabla 4 y 5, junto con la desviación estándar (σ) definida como:

Siendo n el número de datos experimentales y p el número de coeficientes de la ecuación.
La figura 2 muestra los valores obtenidos, para el sistema binario propanonitrilo + acetato de butilo, de VE, kSE y αE, junto con los valores obtenidos con la ecuación de ajuste de Redlich y Kister [1], en función de la fracción molar del componente 1. En la figura 3 se representan, de forma similar, las mismas propiedades, correspondientes al otro sistema estudiado, propanonitrilo + acetato de pentilo.
Las figuras 2 y 3 para las mezclas binarias propanonitrilo + acetato de butilo y propano nitrilo + acetato de butilo muestran curvas negativas para el volumen molar de exceso, VE, en todo el rango de fracciones molares y temperaturas, estos valores son más negativos a medida que se incrementa la temperatura.
La mezcla binaria propanonitrilo + acetato de butilo, muestra, para la compresibilidad isoentrópica de exceso, kSE, curvas negativas, para todo el rango de concentraciones y temperaturas. El sistema binario propanonitrilo + acetato de pentilo presenta valores negativos de la compresibilidad isoentrópica de exceso, kSE, para todo el rango de concentración y para las primeras dos temperaturas, sigmoidal para las dos siguientes y positivas las restantes como se puede observar en la figura 3.
Para el coeficiente de dilatación cubica de exceso, αE, se puede observar curvas negativas para ambos sistemas, en todo el rango de concentraciones y para todas las temperaturas, haciéndose cada vez más negativa a medida que aumentaba la temperatura.
Se realizó el cálculo de la velocidad del sonido para este sistema binario con los siguientes modelos predictivos: la relación empírica de Nomoto [2,3], la relación de mezcla ideal de Van Dael [4] y el modelo de velocidad media del sonido respecto al tiempo de un impulso de Ernst [5].
El objetivo de esta parte del trabajo es comparar los métodos más comunes de cálculo del "exceso", en el sentido de las desviaciones de los valores experimentales respecto de los teóricos de la velocidad de sonido para la mezcla líquida estudiada, es decir, fueron examinadas las ventajas relativas de estas teorías y relaciones comparando los valores teóricos de velocidades ultrasónicas con aquellos obtenidos experimentalmente.
Se realizó el cálculo de la velocidad del sonido de la mezcla binaria, utilizando información experimental de los componentes puros, con los modelos predictivos mencionados:
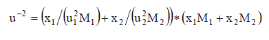
Nomoto [2,3]:

Donde Vi es el volumen molar del componente i, calculado a partir de su masa molar (Mi) y su densidad (ρi), y Ri = (Mi / ρi) u1/3
Van Dael [4]:

Ernst et al. [5]:
![]()
Siendo xvol.1 la fracción en volumen del componente 1.
En la Figura 4 y 5 se muestran los valores experimentales y teóricos de la velocidad del sonido (u), de los sistemas a las distintas temperaturas de trabajo, para todo el rango de concentraciones.
Las velocidades ultrasónicas calculadas, junto con las velocidades experimentales, el porcentaje de error en las predicciones respecto de los valores experimentales y las desviaciones de los valores experimentales respecto de los teóricos, uEXP. - uCALC, para cada fracción molar, y a 298,15 K, de los dos sistemas estudiados, se muestran en las Tabla 6.
En la Figura 6 se gráficó, para los dos sistemas estudiados, la diferencia de la velocidad del sonido entre los valores experimentales y los teóricos, uEXP. - uCALC, en función de la fracción molar del componente 1 y a 298,15 K.
La predicción de las velocidades del sonido del sistema produjo buenos resultados con dos de los tres modelos aplicados, y para todas las temperaturas estudiadas, como se muestra en las figuras 4 y 5. Las predicciones obtenidas con los modelos de Nomoto y de Ernst concuerdan mejor con los valores experimentales de la velocidad que la relación de Van Dael para las mezclas propanonitrilo + acetato de butilo y para el sistema propano nitrilo + acetato de pentilo.
CONCLUSIONES
Las mezclas binarias propanonitrilo + acetato de butilo y propanonitrilo + acetato de pentilo, muestran curvas negativas para el volumen molar de exceso (VE) en todo el rango de fracciones molares y temperaturas, estos valores son más negativos a medida que se incrementa la temperatura. Los valores de VE para el sistema Propanonitrilo + acetato de butilo presenta valores más negativos que el del propanonitrilo + acetato de pentilo para todas las temperaturas. El comportamiento descrito puede observarse en las Figuras 2 y 3, donde se muestra que los valores del volumen molar de exceso (VE) se modifican significativamente con las variaciones de temperaturas.
La mezcla binaria propanonitrilo + acetato de butilo, muestra, para la compresibilidad isoentrópica de exceso (KSE ), curvas negativas para todo el rango de concentración y para todas las temperaturas analizadas como se puede observar en la Figura 2, en todos los casos éstos son menos negativos al aumentar la temperatura, y se observa, que presentan una variación con la temperatura muy significativa.
El sistema binario propanonitrilo + acetato de pentilo presenta valores negativos de la compresibilidad isoentrópica de exceso (KSE) para todo el rango de concentración y para las 2 primeras temperaturas, sigmoidea para las 2 siguientes y positivas para las restantes temperaturas analizadas como se puede observar en la Figura 3.
El coeficiente de expansión térmica de exceso (αE) presentó valores negativos, y la desviación de la velocidad del sonido (Δu), valores positivos, para los dos sistemas objeto de estudio.
El comportamiento indicado es característico de los sistemas que presentan fuertes interacciones específicas, pueden deberse a la superposición de efectos que aparecen a partir de factores estéricos, de la auto asociación de los esteres y de los nitrilos, y también a las interacciones entre moléculas diferentes, (dipolo-dipolo y dipolo-dipolo inducido) entre el propanonitrilo el acetato de alquilo.
La predicción de las velocidades del sonido del sistema produjo buenos resultados con dos de los tres modelos aplicados, y para todas las temperaturas estudiadas. Aunque, los valores calculados con los tres modelos se desvían de los datos experimentales de la velocidad, las predicciones de Nomoto y de Ernst concuerdan mejor con los valores experimentales de la velocidad que la relación de Van Dael para las mezclas.
RECONOCIMIENTOS
Se agradece el aporte, en la realización de este trabajo, de la Universidad Nacional del Comahue y CONICET, ambos de Argentina y de la Universidad de Vigo, Facultad de Ciencias del Campus de Ourense, España.
REFERENCIAS
1. Redlich, O., Kister, A. T. 1948, Ind. Eng. Chem., 40, 345.. [ Links ]
2. Nomoto, O. 1953, J. Chem. Phys., 21, 950.. [ Links ]
3. Nomoto, O. 1958, J. Phys. Soc. Jpn. 13, 1528. [ Links ]
4. Van Dael, W. in Thermodynamic Properties and Velocity of Sound, Butterworths, 1975, London. [ Links ]
5. Emst, S., Glinski, J., Jezowska-Trzebiatowska, B. 1979, Acta Phys. Polon., A55, 501. [ Links ]
6. Camacho, A. G., Postigo, M. A. 1998, J. Sol. Chem., 27, 719. [ Links ]
7. Canzonieri, S., Postigo, M., Salas, J., Katz, M. 2002, The Journal of the Argentine Chemical Socíety 90, 31. [ Links ]
8. Mariano, A., Postigo, M., González-Salgado, D., Romaní, L. 2007, J. Chem. Thermodyn., 39, 218. [ Links ]
9. Postigo, M, Mariano, A. B., Jara, A. F., Zurakoski, N. 2009, J. Chem. &Eng Data, 54, 1575. [ Links ]
10. Mussari, L., Canzonieri, S., Camacho, A., Tabarrozzi, R., Postigo, M. 2012, Phys. and Chem. of Liq., 50, 530. [ Links ]
11. Awwad, A. A, Jbara, K. A., Al-Dujali, A, 1989, FluidPhase Equilihria, 46, 259. [ Links ]
12. Franjo, C, Segade, L, Menaut, C. P., Pico, J. M., Jiménez, E. 2001, J. Sol. Chem., 30, 995. [ Links ]
13. TRC - Thermodynamic Tables Non Hydrocarbons. Thermodynamic Research Center, 1993, Texas A&M University: College Station: Tx.. [ Links ]
14. Mehta, S. K., Sharma, A. K. 2003, Fluid Phase Equilihria, 205, 37. [ Links ]
15. Bilaniuk, N. and Wong, G. S. K. J. 1996, Acoust. Soc. Am.,99, 3257. [ Links ]
16. Troncoso, J.; Carballo, E.; Cerdeiriña, C. A.; González, D.; Romaní, L. 2000, J. Chem.Eng. Data, 45, 594 [ Links ]
17. Ohomuro, K.; Tamura, K.; Murakami, S. 1987, Chem. Thermodyn. 19, 171. [ Links ]
18. Watts, H., Clarke, E. C. W. y Glew, D. H. 1968, Can. J. Chem. 46, 815. [ Links ]
19. Riddick, J. A, Bunger, W. B., Sakano, T. K. Organics Solvents: Physical Properties and Methods of Purification, vol. II, Fourth ed., 1986, Wiley/Interscience. [ Links ]
20. Oswal, S. L. and Patel, N.B. 1995, Journal Chem. Eng. Data, 40, 840. [ Links ]
21. Navia, P; Troncoso, J; Romaní, L. 2009. Fluid Phase Equilibña, 216, 1. [ Links ]











uBio 













