Services on Demand
Journal
Article
Indicators
-
Cited by SciELO -
Access statistics
Related links
-
Similars in
SciELO
uBio
Share
Revista Boliviana de Química
On-line version ISSN 0250-5460
Rev. Bol. Quim vol.30 no.2 La Paz 2013
ARTICULO ORIGINAL
ANÁLISIS DEL COMPORTAMIENTO OSCILATORIO DE LAS CONCENTRACIONES EN LA REACCIÓN DE BELOUSOV-ZHABOTINSKY
Sorge A. Oporto Almaraza ; Q Marcelo Ramírez Ávilab .
aCarrera de Ciencias Químicas, Casilla 303 La Paz Bolivia. bInstituto de Investigaciones Físicas, Campus Universitario, calle 27Cota Cota. Universidad Mayor de San Andrés*Corresponding author: sorgeoporto@ gmail.com
Received 11 11 2013
Keywords: Reacción de Belousov-Zhabotinsky, Oregonator, mecanismo FKN ampliado, oscilaciones químicas, espacio de concentraciones, margen de bifurcación, reacción de bromación, concentración molar de referencia.
ABSTRACT
We carried out experiments concerning the Belousov-Zhabotinsky reaction in a closed reactor working with a pH of 0.097. We obtained the absorbance kinetic series for different reagents reference concentrations by means of spectroscopic methods, and using these concentrations, we defined a space in which we identify two regions of states: one containing the oscillatory states and the other with the stationary ones; these regions are separated by a fringe that is the counterpart to the Hopf bifurcation curve predicted by the Oregonator model. We also observed the modification of the bifurcation fringe with increasing pH values. Finally, we classified the oscillatory regime according to the kinetic series dynamics.
RESUMEN
Se llevó a cabo la reacción de Belousov-Zhabotinsky en reactor cerrado a un pH de 0,097. A partir de métodos espectroscópicos se obtuvieron las series cinéticas de la absorbancia para diferentes concentraciones de referencia de los reactivos; con respecto a los cuales se definió el espacio de concentraciones en el que se identificaron dos regiones: una de oscilación y otra de estados estacionarios separadas por un margen de bifurcación experimental, homólogo a la curva de bifurcación de Hopf que predice el modelo Oregonator. También se observó la variación del margen de bifurcación aumentando el pH y se clasificó la región de oscilación de acuerdo a la dinámica de las series cinéticas.
INTRODUCCION
En su versión más difundida, la reacción de Belousov-Zhabotinsky (BZ) consiste en la oxidación de ácido malónico por iones bromato en medio ácido empleándose como catalizador iones cerio [1], como se muestra a continuación:
![]()
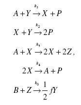
Esta es una reacción compleja que de acuerdo al mecanismo propuesto por Field, Körös y Noyes (FKN) [2], esquematizado en la Figura 1, consiste en dos conjuntos de reacciones, A y B, monótonas por sí mismas pero que acopladas a un tercer conjunto, C, dan lugar en medio homogéneo a una variedad de oscilaciones en las concentraciones de las especies intermedias y de los iones cerio, las cuales pueden ser periódicas [3] o caóticas [4]; en tanto que en medio heterogéneo, dan lugar a la formación de patrones [3].
Las etapas A y B corresponden a procesos inorgánicos; el primero se efectúa en presencia de una cantidad crítica de iones bromuro; mientras que la etapa global B, se lleva a cabo en ausencia de dichos iones. Los procesos orgánicos, representados por la etapa global C, consisten en la bromación de la forma enólica del ácido malónico a través de Br2 para formar ácido bromomalónico que luego reacciona con ácido malónico y Ce+4 generando, entre otras especies, Br- y Ce+3, como se muestra en (1):
siendo
un parámetro no estequiométrico que refleja la falta de comprensión de esta etapa. Además, algo de bromuro es empleado en la formación de ácido bromomalónico debido al acoplamiento de A con la reacción orgánica de bromación del ácido malónico, lo que se describe en (2):
![]()
Durante la oxidación de Ce+3 a Ce+4 la solución pasa de ser incolora a tener una tonalidad amarilla, lo que permite obtener la variación temporal de la absorción óptica de la reacción, a la que se denominará serie cinética.
A partir del mecanismo FKN, Field y Noyes [5] propusieron el modelo denominado Oregonator [1], que incluye tres variables dinámicas:
en cinco etapas irreversibles:

donde A = [BrO-3], B = [Org], siendo [Org] la concentración total de las especies orgánicas, P = [HOBr] y
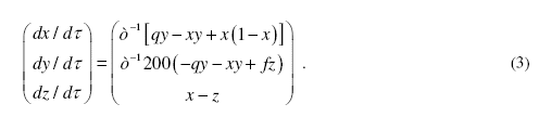
las constantes cinéticas, a partir de las cuales se obtienen las ecuaciones cinéticas que constituyen un conjunto de ecuaciones diferenciales no lineales autónomas. Después de un proceso de escalamiento (ver [1] y [6]), estas ecuaciones, se pueden escribir como:

Así como las concentraciones y el tiempo, los nuevos parámetros de control son adimensionales y están dados por:

donde el parámetro q depende de las constantes asociadas a las etapas inorgánicas y queda completamente definido a un pH dado;
depende además de las concentraciones de los reactivos mientras que fy k0 tienen carácter numérico. A pH = 0,097, las constantes cinéticas de las etapas inorgánicas están definidas y, respecto a estas, q = 0,0008 [1]; con estas restricciones y a partir de las ecuaciones dinámicas (3), en un trabajo anterior [6] se llevó a cabo el análisis de estabilidad lineal de puntos fijos con carácter inerte y reactivo. En este último caso se identificaron en el espacio de parámetros,
,una región de estabilidad y otra de inestabilidad respecto a la curva de bifurcación de Hopf, tal como se muestra en la Figura 2.
También se determinó la dependencia de la curva de bifurcación respecto al parámetro q, según se muestra en la Figura 3.
Por otra parte se encontró que los puntos fijos de naturaleza inerte son puntos silla inestables respecto a las variedades de los puntos fijos reactivos y, mediante la integración numérica de las ecuaciones dinámicas, que estos últimos son estables respecto a un estado estacionario e inestables respecto a un ciclo límite que caracteriza a un régimen oscilante.
Las predicciones hechas por el Oregonator tienen un carácter esencialmente numérico. Pero si se define el parámetro
respecto a las concentraciones de los reactivos, entonces puede plantearse la construcción experimental del espacio de parámetros. En este sentido, considérese el mecanismo FKN ampliado, el cual asume que en la etapa global (1) la oxidación del ácido malónico (AM) y del ácido bromomalónico (BrAM) por Ce+4 se llevan a cabo en dos pasos diferentes [1]:
![]()
siendo Q y R otros productos. Las ecuaciones cinéticas correspondientes a cada uno de los procesos de oxidación son:



RESULTADOS
En la Figura 4 se muestran los puntos
obtenidos a los pH 0,097 y 0,3 manteniendo [BrAM] constante, los que de acuerdo a la naturaleza de las series cinéticas pueden clasificarse en estados estacionarios (°) y regímenes oscilantes ![]()
Definimos como margen de bifurcación a la región comprendida entre los puntos máximos de oscilación y los puntos mínimos de estados estacionarios en el espacio de concentraciones, que unidos, cada uno, por una línea dan una idea del límite de bifurcación experimental. En la Figura 5, se comparan los márgenes de bifurcación a los pH indicados.
Con base en el examen visual de las series cinéticas, se verificó que en general las oscilaciones se encuentran precedidas por un transiente y muestran una tendencia decreciente hacia el equilibrio; en las Figuras 6 y 7 se muestran casos representativos. En la Figura 6, se comparan las oscilaciones de una serie de casos para dos valores de f0 fijos (y por tanto [AM] constante), observándose que conforme aumenta el valor de
(y [BrO3-] disminuye), la amplitud y la frecuencia disminuyen hasta que se pierde el carácter oscilatorio. En la Figura 7 se comparan las oscilaciones para diferentes series a
fijo ([BrO3-] constante), observándose que a medida que el valor de f0 aumenta (y [AM] disminuye) la frecuencia disminuye igual que la amplitud aunque esta última lentamente, habiéndose identificado un caso anómalo a
= 1.58 donde para los valores de
0,012 < 0,015, se tiene la misma relación entre sus respectivas frecuencias. En la Tabla 2 se resume el comportamiento de los ritmos de oscilación además de compararse los diferentes casos con lo que predice el Oregonator, observándose una discrepancia en la frecuencia para
constante.
La diversidad dinámica de las series cinéticas de la región de oscilación en la Figura 4(a) se clasificó como se muestra en la Figura 8, cuyas etiquetas están indicadas en la Tabla 3, donde además de oscilaciones de periodo simple (10) se tienen oscilaciones biperiódicas (11, donde la base hace referencia al número de picos largos y el superíndice al número de picos pequeños en un ciclo [10]), oscilaciones irregulares y de naturaleza caótica, además de oscilaciones precedidas por un periodo de inducción (PI), esto es, el intervalo de tiempo necesario para que se formen las especies químicas que catalizan la reacción.
DISCUSION
evidencia, además, por el margen de bifurcación experimental de la Figura 5 semejante a la curva de bifurcación de Hopf teórica de la Figura 2.
El espacio de concentraciones es relativo a los cocientes entre las concentraciones de los reactivos,
(en las ordenadas) y[BrAM/[Org] (en las abscisas); por tanto, sin considerar los factores de escala introducidos por el Oregonator y el modelo FKN ampliado, basta determinar los cocientes indicados para el estudio cualitativo del espacio de concentraciones.
Desde el punto de vista teórico, respecto a los perfiles de bifurcación de la Figura 3, la reacción BZ tiende a inhibirse conforme el valor del parámetro q aumenta. Experimentalmente se evidenció que un aumento del pH, de 0,097 a 0,3, implica la disminución en altura del margen de bifurcación, lo que es coherente con el hecho de que la reacción BZ se encuentre favorecida en medio ácido. De esta manera, se constata que la acidez de la reacción determina el valor de q y, específicamente, que este aumenta con el pH.
El Oregonator modela un régimen estacionario en la concentración de reactivos e intermedios, esto es, un sistema abierto de flujo continuo de sustancia. Experimentalmente se tuvo la posibilidad de llevar a cabo la reacción BZ en reactor cerrado, observándose series cinéticas, en general, precedidas por un transiente, el cual da una idea del carácter perturbativo de la mezcla de las soluciones de los reactivos. Además, las series cinéticas oscilantes presentan una tendencia hacia el equilibrio termodinámico a través de estructuras ordenadas de no equilibrio, es decir, de oscilaciones que disminuyen gradualmente en amplitud tal como se muestra, por ejemplo, en los casos (0,012, 1,26) y (0,037, 1,40) de la Figura 6.
Por tanto, puede considerarse que la dinámica de un sistema de flujo continuo significa un instante del proceso llevado cabo en reactor cerrado. Experimentalmente, dicho instante se aproximó a una serie cinética en un intervalo de tiempo finito y se lo asoció a un punto
determinado por las concentraciones de referencia.
Entre las concentraciones de referencia, que determinan tanto
se encuentra [BrAM], que en modelos más completos juega un rol de variable dinámica [8] [9]. Con base en el modelo FKN ampliado, a partir del cociente
relativa [BrAM]/[AM] determina la distribución de puntos en el espacio de concentraciones, esto en combinación con la generación adicional de BrAM a partir de los procesos inorgánicos relacionados a BrO3- según la Ecuación (2).
La riqueza dinámica de las series cinéticas de la reacción BZ en reactor cerrado mostrada en la Figura 8 y la Tabla 3 va más allá de las oscilaciones periódicas y estados estacionarios predichos por el Oregonator. Se tienen además oscilaciones biperiódicas o irregulares, y en este último caso, posiblemente comportamiento caótico, principalmente para valores grandes de
. En tanto que para valores relativamente pequeños de
y grandes de
se presenta periodo de inducción. Se puede mencionar también que con base en un esquema de la reacción BZ de 80 etapas elementales es posible explicar las oscilaciones biperiódicas y caóticas a partir del acoplamiento de los mecanismos internos con el flujo continuo de sustancia y específicamente con la variación en la concentración de BrAM [10][11][12]; por tanto, dada la variación de dicha especie en reactor cerrado, se supone que la complejidad de las oscilaciones observadas se deben al mecanismo interno de la reacción y no así a contingencias experimentales. En determinados casos, las concentraciones de los reactivos varían lo suficiente en el intervalo de tiempo medido de modo que los valores de
no se mantienen constantes y en general la reacción se lleva a cabo a través de la transición de escenarios dinámicos. En el sentido que se acaba de indicar, se observó combinación de regímenes oscilantes, por ejemplo el punto (0,015, 1,40) de la Figura 7, y el paso de un régimen estacionario a uno oscilatorio, para el punto (0,015, 1,58) de la Figura 7; este último tipo de casos pueden corresponder a las series cinéticas clasificadas como oscilaciones precedidas por periodo de inducción en la Figura 8, las cuales no pueden realmente asociarse al punto
dado. Además, durante el transcurso de la reacción en reactor cerrado además de la concentración de los reactivos también varía la de los iones hidronio, constituyendo esta una causa adicional de la transición entre escenarios dinámicos. Lo anterior sugiere eliminar en la Figura 8 los puntos que presentan periodo de inducción
el resultado es el margen de bifurcación mostrado en la Figura 9 que mantiene la semejanza con la curva de bifurcación teórica.
Otro aspecto de concordancia entre los resultados experimentales y los teóricos está en la tendencia de las oscilaciones que se muestra en la Tabla 2. Las series temporales de las oscilaciones a
fijo son homólogas a las observadas en las series cinéticas
sin embargo, se tiene una tendencia opuesta en la variación de la frecuencia de las series temporales cuando se mantiene
fijo respecto a las series cinéticas a
fijo.
Finalmente, no se considera que la falta de agitación de la solución durante las mediciones espectroscópicas haya tenido un rol determinante, tomando en cuenta que a medida que aumenta la velocidad de mezclado las oscilaciones tienden a extinguirse debido al efecto inhibidor del oxígeno sobre la reacción BZ [14] [15]. Sin embargo, la falta de agitación implica la acumulación de burbujas atrapadas en la fase líquida debido a la generación de CO2, de modo que el medio no es realmente homogéneo.
EXPERIMENTAL
Reactivos
Los reactivos que intervienen en la reacción BZ son: ácido malónico 98%, bromato de potasio p.a., bromuro de potasio p.a., sulfato de cerio (III) 97%, ácido sulfúrico (densidad 1,84 g/cm3) y eventualmente como indicador redox una solución de ferroína. Para la valoración de la solución concentrada de ácido sulfúrico se emplearon ácido clorhídrico 37%, Na2CO3 p.a., NaOH p.a. y, como indicador ácido-base, heliantina-carmín índigo.
Equipos
Espectroscopio UV-visible Lambda 25 de doble haz, balanza analítica Kern ALS220-4N, estufa eléctrica Binder con termorregulador, equipo de bidestilación y desionizador Barnstead, agitador magnético de vórtice Labnet CX100.
Materiales
Estos corresponden a los necesarios para determinaciones volumétricas y por pesada.
Las rutinas experimentales se efectuaron en el laboratorio de Química de Alimentos de la Carrera de Ciencias Químicas de la Universidad Mayor de San Andrés.
Una sustancia sólida triturada, deshidratada y desecada se pesa para preparar una solución n formal de volumen V; si dicha sustancia tiene una masa molar M y fracción en masa w, entonces la cantidad m en gramos a medirse es![]()
La única sustancia en solución es el ácido sulfúrico concentrado, cuya concentración formal es N = 18,2310 F, determinada a partir de una solución de NaOH 0,1375 F, cuya valoración se llevó a cabo con una solución de HCl 0,1141 F, a la vez, esta concentración se determinó por pesada directa de Na2CO3 p.a. [7]. Para una solución diluida n formal relativa a un volumen V de ácido sulfúrico concentrado se debe medir un volumen v ml. del mismo dado por![]()
Condiciones experimenta
obtenidos a partir de las ecuaciones (12) y (13), respectivamente, están definidos a un pH dado y dependen de las concentraciones de los reactivos BrO3-, AM y BrAM. Esta dependencia respecto al BrAM se debe a que la reacción BZ se efectúa una vez que se forma determinada cantidad crítica de dicha sustancia [2]; el BrAM puede generarse estequiométricamente a partir de la reacción de bromación (2) empleando como reactivo limitante Br-. Dado que la reacción de bromación no involucra a los iones Ce+3, estos últimos deben introducirse en una segunda instancia. La mezcla de la solución de bromación con la de Ce+3 da inicio a la reacción BZ; además, debido a que ambas soluciones se encuentran en medio ácido, el cálculo de la acidez total debe tomar en cuenta el aporte de los iones hidronio de ambas partes.
La reacción BZ se lleva a cabo manteniendo constante [BrAM], lo que reduce a dos el número de variables en las ecuaciones (12) y (13), también se mantiene fijo el pH; ambos, una vez que se efectúa la reacción de bromación a partir de una cantidad constante de [Br-]. En este sentido, la solución en la que se lleva a cabo la reacción de bromación se debe formar, necesariamente, a partir de la mezcla de tres soluciones: de ácido malónico, de bromato de potasio y de ácido sulfúrico; el bromuro puede estar inmerso en una de las anteriores, en el caso presente junto a la solución de ácido malónico.
Cada una de las soluciones que intervienen en la reacción de bromación, con concentraciones [BrO3-]0, [AM]0/[Br-]0 y [H2SO4]20 además de la solución [Ce(III)]0/[H2SO4]10 se mezclaron en volúmenes iguales. Respecto al volumen total de la mezcla, VT, donde se lleva a cabo la reacción BZ, la corrección por dilución de la especie de fórmula molecular P presente está dada por [P*] = [P]0/4. De acuerdo a la sugerencia [16], [P*] es la concentración formal de referencia de P, esto es, aquella que precede a cualquier reacción. Por otro lado, tomando en cuenta la reacción de bromación se obtienen las denominadas concentraciones molares de referencia o simplemente concentraciones de referencia:




pH 0,097. Trabajando bajo campana, en un tubo de ensayo se mezclan 0,9 val de cada una de las soluciones A, B y C, en ese orden; la mezcla adquiere una coloración naranja debido a la formación de Br2 que se desvanece rápidamente si se somete a agitación hasta que la solución se torna incolora; en esta etapa se lleva a cabo la reacción de bromación. Luego se añade 0,9 val de la solución E. El volumen total, 3,6 val, se agita durante 10 segundos y se traspasa la solución a una cubeta de cuarzo que a continuación se introduce en el espectroscopio UV-visible acoplado a un ordenador y programado para que a una longitud de onda de 400 nm se obtenga la variación temporal de la absorbancia en un intervalo de tiempo de 15 minutos, o 25 minutos en caso de que se quiera descartar un periodo de inducción.
pH 0,3. Se repiten los pasos anteriores sustituyendo la solución D por C.
CONCLUSIONES
Desde el punto de vista experimental, se pudo clasificar de forma cualitativa la distribución de puntos
en el espacio de concentraciones de acuerdo a la naturaleza oscilante o de estado estacionario, de sus respectivas series cinéticas a un pH de 0,097. Respecto al margen de bifurcación, dichas regiones presentan una distribución similar a la descrita por la curva de bifurcación de Hopf teórica. Estos resultados permiten afirmar que el Oregonator es una aproximación satisfactoria de la reacción BZ en reactor cerrado y sugieren la comprobación de la existencia de una región de estados estacionarios seguida de otra de periodo simple en los diagramas de bifurcación a velocidades de flujo de sustancia nulo o muy bajo.
Es necesario ampliar las etapas del mecanismo FKN para darle un contenido químico a los parámetros numéricos del Oregonator, en este sentido se planteó el espacio de concentraciones
definido, sin embargo, respecto a factores de escala. Dejando de lado estos últimos, la forma del margen de bifurcación depende solamente de las concentraciones relativas [BrAM]/[Org] en las abscisas y de [Org]/[BrO3-] en las ordenadas; expresiones suficientes para el estudio cualitativo del espacio de concentraciones en reactor cerrado. En el sentido indicado, resulta relevante que el Oregonator, un modelo relativamente simple de cinco etapas irreversibles de la compleja reacción BZ, prediga en el espacio de parámetros las regiones de oscilación (independiente de su naturaleza) y no oscilación observadas experimentalmente. Por otro lado, a pH 0,3, se obtiene un margen de bifurcación por debajo del observado a pH 0,097, lo que muestra la tendencia de la reacción a inhibirse a pH alto; teóricamente se obtuvo que la reacción se inhibe a valores grandes de q por lo que se considera que debe haber una relación de proporcionalidad entre dicho parámetro y el pH.
En general, la reacción BZ se lleva a cabo con un transiente y en el caso de regímenes oscilantes con una tendencia hacia el equilibrio a través de transiciones entre regímenes oscilantes o entre un régimen estacionario y otro oscilante, debido a la variación temporal de las concentraciones de referencia y el pH; y si estos últimos se descartan como oscilaciones precedidas por periodo de inducción resulta que el margen de bifurcación aún conserva su similitud con la curva de bifurcación teórica. La riqueza dinámica en la región de oscilación cuenta, además de las oscilaciones periódicas predichas por el Oregonator, con oscilaciones biperiódicas o irregulares y caóticas; en este último caso, para puntos en el espacio de concentraciones correspondientes a valores grandes de
y pequeños de
. Finalmente, se debe destacar que los ritmos de oscilación de una serie de puntos a
tienen la misma tendencia que las series temporales a
fijo; sin embargo, los ritmos de oscilación de una serie de puntos a
fijo presentan un tendencia opuesta a la variación en la frecuencia respecto a los presentados en las series temporales a £ fijo. Se sugiere confirmar los resultados experimentales obtenidos llevando a cabo pruebas a diferentes pH e investigar la acidez a la que la reacción BZ se inhibe, o también, midiendo la variación del pH durante la reacción. Reconocido el rol del ácido bromomalónico, se sugiere estudiar la dependencia de las series cinéticas respecto a la cantidad de bromuro introducido para llevar a cabo la reacción de bromación de ácido malónico. La semejanza entre el margen de bifurcación y la curva de bifurcación de Hopf incentivan a completar el carácter cuantitativo del Oregonator determinando las restantes constantes de velocidad y/o los factores de escala del mecanismo FKN ampliado.
RECONOCIMIENTOS
Los autores agradecen al personal del Laboratorio de Química de Alimentos de la Carrera de Ciencias Químicas de la UMSA: Mauricio Peñarrieta, Juan Carlos Callisaya, Leslie Tejeda, Juan Antonio Alvarado y Carolina Paredes, por su desinteresada colaboración durante la obtención de los resultados del presente trabajo.
REFERENCIAS
[1] GRAY, P., SCOTT, K. Chemical oscillations and instabilities. 1994, Oxford University Press, Oxford: 373-378. [2] FIELD, R. J., KÖRÖS, E., NOYES, R. M. Journal of American Chemical Society, 1972, 94, 8649. [ Links ]Y [ Links ]
[3] OPORTO ALMARAZ, S. A., RAMÍREZ AVILA, G. M. Revista Boliviana de Física, 2004,10, 45. [ Links ]
[4] HUDSON, J. L., MANKIN, J. C. Journal of Chemical Physics, 1981, 74, 6171. [ Links ]
[5] FIELD, R. J., NOYES, R. M. Journal of Chemical Physics, 1974, 94, 8649. [ Links ]
[6] OPORTO ALMARAZ, S. A., RAMÍREZ AVILA, G. M. Revista Boliviana de Física, 2013,23, 16. [ Links ]
[7] OPORTO ALMARAZ, S. A. Fenómenos no lineales en la reacción de Belousov-Zhabotinsky. Tesis de grado, 2013, UMSA, La Paz. [ Links ]
[8] GYÖRGYI, L., TURÁNGY, T., FIELD, R. J. Journal of Physical Chemistry, 1990, 94, 7162. [ Links ]
[9] GYÖRGYI, L., FIELD, R. J. Journal of Physical Chemistry, 1991, 95, 6594. [ Links ]
[10] GYÖRGYI, L., REMPE, S. L., FIELD, R. J. Journal of Physical Chemistry, 1991, 95, 3159. [ Links ]
[11] GYÖRGYI, L., FIELD, R. Nature, 1992, 355, 808. [ Links ]
[12] GYÖRGYI, L., FIELD, R. J., NOSZTICZIUS, Z., Mc CORNICK W. D., SWINNEY, H. L. Journal of Physical Chemistry, 1992, 96, 1228. [ Links ]
[13] FREIRE, J. C., GALLAS, J. A. C. 2011, Physical Chemistry Chemical Physics, 2011,13, 12101. [ Links ]
[14] DUTT, A. K., MÜLLER, S. C. Journal of Physical Chemistry, 1993, 97, 10059. [ Links ]
[15] WANG, J., HYNNE, F., SORENSEN, P., G., NIELSEN, K. Journal of Physical Chemistry, 1996,100, 17593. [ Links ]
[16] JAHNKE, W., WINFREE, A. R. Journal of Chemical Education, 1991, 68, 320. [ Links ]
























