Revista Boliviana de Química
versión On-line ISSN 0250-5460
Rev. Bol. Quim v.23 n.1 La Paz 2006
ARTÍCULO ORIGINAL
DETERMINACION DE LA CALIDAD FISICOQUIMICA DE LAS AGUAS SUBTERRANEAS EN LA REGION NORTE Y ESTE DEL LAGO POOPO
Israel Quino1*, Jorge Quintanilla1, Maria E. García1, Luis Cáceres2
1 Laboratorio de Hidroquímica, Instituto de Investigaciones Químicas, UMSA, La Paz – Bolivia
2 Laboratorio Química Ambiental, CIN-Viacha, Instituto Boliviano de Tecnología Nuclear
* Autor corresponsal : israelqmc@gmail.com
ABSTRACT
The hydrochemistry study is developed, with the intention of knowing the quality groundwater in function the physical chemistry characteristics and heavy metals: by natural effect and the mining activity in the north and east of the region of the Poopó lake. We studied the evolution of the salinity in function to the permanence time of groundwater. Exist problems by salinity: HCO3-, SO4=, Cl- and Na+. The studied heavy metals: As, Fe y Zn don’t present elevated concentrations, probably to that they are retained by the ground, can’t be affirmed a geographic distribution for heavy metals and for the salinity. We made a classification on the basis of the studied parameters, using the Bolivian legislation and other international, comparing groundwater between for determining which is the that presents better characteristics for use.
Key Words: Agua subterránea, salinidad, metales traza, contaminación.
RESUMEN
El estudio hidroquímico se desarrolla, con el objeto de conocer la calidad de las aguas subterráneas en función a las características fisicoquímicas, metales pesados: por efecto natural y por la actividad minera, en la región norte y este del lago Poopó. Se observó la evolución de la salinidad en función al tiempo de permanencia de las aguas subterráneas. Existe problemas por salinidad: HCO3-, SO4=, Cl- y Na+. Los metales estudiados: As, Fe y Zn no presentan concentraciones elevadas, debido probablemente a que son retenidos por el suelo, no se puede afirmar una distribución geográfica para los metales, ni para la salinidad. Se realizo una clasificación en base a los parámetros estudiados, usando la legislación boliviana y otras internacionales, comparando las aguas subterráneas entre si para conocer cual es la que presenta mejores características para su uso.
INTRODUCCION
En la región del lago Poopó la UMSA-IIQ se esta ejecutando el Proyecto de “Manejo del Recurso Hídrico – Hidroquímica”, financiado por la Cooperación Sueca ASDI-SAREC, conjuntamente con un estudio multidisciplinario: Plan de manejo integral de los recursos hídricos existentes en esta región. El estudio hidroquímico implica el estudio cualitativo y cuantitativo de las aguas superficiales y subterráneas, sedimentos y plantas acuáticas,.
Aunque las reacciones químicas sean muy diferentes generalmente se observa que las aguas subterráneas con menor tiempo de permanencia en el subsuelo son generalmente bicarbonatadas, después predomina el sulfato y las aguas más salinas son cloruradas.
Esta evolución se denomina secuencia de Chevotareb [1] esta secuencia se debe a dos causas solubilidad y abundancia, es decir el agua disuelve o altera los minerales que encuentra si tiene el tiempo suficiente para esto, hasta que alcanza el máximo marcado por la constante de equilibrio correspondiente, ya no disolverá más ese mineral, continuara disolviendo otros minerales con una constante más elevada hasta que nuevamente alcance el equilibrio y así sucesivamente.
Si el agua estuviera en contacto simultáneamente desde su infiltración con minerales que le aportaran diferentes iones, no se produciría esta secuencia.
Area de estudio
La cuenca del Altiplano esta situada entre los 3500 m y más de 4000 m de altura sobre el nivel del mar, forma una serie de embalses subterráneos irregulares con flujos de descarga hacia el lago Titicaca, el lago Poopó y el salar de Uyuni.
En el área de estudio (Figura 1) se encuentran las provincias: Saucari, Tomas Barron, Cercado, Pantaleón Dalence, Poopó y Avaroa del departamento de Oruro. Se halla entre las siguientes coordenadas los 67º10’ de longitud oeste y 18º05’ latitud sur.

La recarga natural tiene lugar por infiltración directa de las precipitaciones, por infiltración del escurrimiento proveniente de los flancos interiores de las cordilleras, por infiltración del agua de deshielo y a partir del agua de los ríos y lagos [3].
La estructura de los suelos es débil con una compactación elevada, presenta una baja porosidad que impide la infiltración del agua y su almacenamiento produciendo escurrimiento y riesgo de erosión, hay una gran variabilidad textural y la capa arable es poco profunda, con un bajo contenido de materia orgánica y por tanto, existe una baja retención de agua y nutrientes [5].
Hay presencia de metales pesados debido a los residuos minerales ricos en metales pesados, así mismo porque los suelos están formados a partir de rocas que contienen minerales polimetálicos. Y finalmente porque según Siles 1997, citado por Argandoña, 1998 y Orság 1994 y 2001, los suelos jóvenes del Altiplano formados “in situ”, pueden presentar contenidos importantes de metales pesados gracias al papel de la materia orgánica y arcilla que ayudan a fijar parte de los metales liberados de la roca [4].
DISCUSION Y RESULTADOS
Para una visión integral de los resultados cualitativos obtenidos se plantea un análisis por grupos, con aguas subterráneas de características similares.

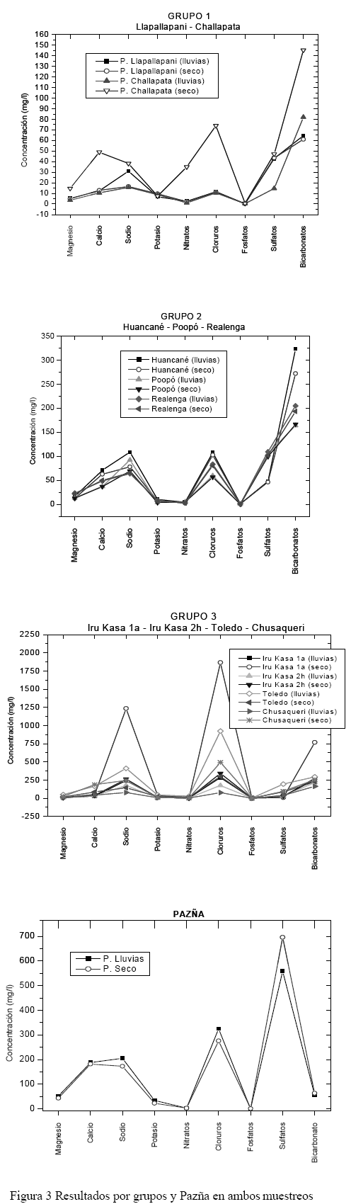
El grupo 1 pertenece a las aguas subterráneas con baja salinidad de acuerdo las Normas Riverside, solo en el periodo seco de Challapata se observa concentraciones altas de HCO3-, Cl-, NO3- y Ca2+. Su salinidad se debe a los HCO3-, SO4= y en menor medida Cl- (Figura 3, grupo 1). La salinidad del grupo 2 se debe a los HCO3-, Cl-, SO4= y Na+, se podría indicar que estas aguas tienen salinidad media (Figura 3, grupo 2). La salinidad del grupo 3 se debe a Cl-, Na+ y HCO3-, en ese orden de importancia, se puede indicar que la salinidad de esta agua es alta y en algunos casos muy alta, especialmente en Iru Kasa-1a y Toledo (Figura 3, grupo 3). El agua subterránea de Pazña es distinta ya que su alto contenido de sulfatos, nos indica que podría haber drenaje ácido de mina, ya que como sabemos la presencia de sulfatos es signo de este drenaje, su salinidad es alta, se debe a los SO4=, Cl-, Na+ y Ca2+ (Figura 3, Pazña).
La mayor concentración de bicarbonatos en ambos periodos en el grupo 1 y grupo 2 se debería a que esta agua habría disuelto gran cantidad de calizas (CaCO3) en un medio ácido, por ello las concentraciones tanto de bicarbonatos como de calcio serían notoriamente elevadas.

Como se observa la disolución de calcita se producirá hasta que se cumpla que el producto de (CO3=) por (Ca+2) alcance el valor de 10-8,40, este valor es tan pequeño (K de yeso es 10-4,5 y de la halita es 10+1,6) que la calcita debería ser un mineral bastante insoluble: valores muy pequeños de (CO3=) y de (Ca+2) harían que su producto alcanzara el valor de su constante 10-8,40, pero esto no ocurre ya que el carbonato se transforma en bicarbonato según:
![]()
Como el CO3= participa en esta reacción, el producto de (CO3=) (Ca+2) no alcanzara el valor de 10-8,40, aunque este valor sea pequeño la calcita continuara disolviéndose.
Parte del HCO3- se transformara en H2CO3, y parte de este se disocia en CO2 y H2O. Por lo explicado se puede señalar que estas aguas subterráneas en su camino al acuífero atravesaron gran cantidad de calizas, por ello existe gran cantidad de bicarbonatos.
En Iru Kasa-1a (grupo 3) el mayor contenido de cloruros indica su alta salinidad en el periodo seco, además indica que el agua tiene un tiempo grande de permanencia en el suelo, ya que las sales mayoritarias son las sales cloruradas. Las aguas que presenta mayor contenido de sales cloruradas, son las que en su formación han fluido en el suelo disolviendo una serie de sales como calizas (KCaCO3 = 10-8,40), yesos (K(CaSO4) = 10-4,5) y como sabemos la solubilidad de estos es menor a la de los cloruros (K(NaCl) = 10+1,6) que es muy elevada, por lo que con un tiempo mayor de permanencia en el suelo el agua ha ido disolviendo mayor cantidad de sales cloruradas como el NaCl, por ello se explica que la concentración de cloruros y sodio sea grande.
Iru Kasa-2h (grupo 3) siguió un camino más o menos similar al otro pozo Iru Kasa-1a, pero la diferencia esta nuevamente en el tiempo de permanencia, esto también se puede apreciar aunque no muy notoriamente en la profundidad de ambos pozos (Figura 2), el pozo Iru Kasa-1a es ligeramente más profundo que el pozo Iru Kasa-2h, lo que quiere decir que el primero estuvo más tiempo en contacto con el suelo disolviendo más sales que el segundo.

Este detalle de la profundidad de los pozos, que esta relacionado con el tiempo de permanencia del agua subterránea en el suelo, puede ser discutido ya que se podría indicar también que un pozo mas profundo presenta agua de mejor calidad porque esta se encuentra en un acuífero confinado al que contaminantes externos difícilmente podrían ingresar, como es el caso de Llapallapani y Challapata, esto es verdad pero existen muchas variables que se deberían tomar en cuenta para aseverar esto, por ejemplo las actividades que se desarrollan en la superficie del suelo, el tiempo de explotación del agua subterránea, los flujos del agua (flujo local y flujo regional) dentro del suelo, el tipo de suelo, etc.

En el caso que se explica, dentro del comportamiento del agua subterránea se considera que la explotación del agua en este pueblo (Iru Kasa) es poca lo que relaciona al tiempo de permanencia del agua con la profundidad. Lo que no ocurre en el caso de Llapallapani y Challapata donde la explotación del agua subterránea es mayor. Estos argumentos ayudan a entender que es posible que en una misma área puedan extraerse aguas de composición distinta aunque el suelo sea relativamente homogéneo.
En Pazña el agua presenta pH ligeramente ácido, siendo los más bajos de todos los pozos estudiados, es el agua de mayor dureza en toda la zona estudiada, el comportamiento de este pozo es diferente debido a la presencia de elevados contenidos de Na+, Ca2+ y SO4= contrastados con los bajos contenidos de HCO3-. Esto muestra una química distinta de este pozo respecto a los anteriores, por referencias bibliográficas de estudios realizados en la calidad del agua superficial de esta zona [8], se sabe que en Pazña se tiene pH bajos lo que es provocado por el drenaje ácido de minas, esto explicaría que el pH del agua subterránea como describimos antes sea menor, el drenaje ácido de mina explica por que se tiene una concentración tan alta de sulfatos en ambas épocas, por la oxidación de la pirita [7]:
![]()
Para conocer la calidad del agua subterránea primero se normalizaron los datos, se uso los valores máximos admisibles de parámetros en cuerpos receptores, suponiendo que el agua subterránea es un cuerpo receptor de aguas por infiltración de agua de precipitación y aguas superficiales, es necesario aclarar que se esta haciendo una aproximación con fines de comparar la calidad del agua de diferentes pozos, estos valores se encuentran en la Tabla A-1 del Anexo A perteneciente al Reglamento en Materia de Contaminación Hídrica, del Reglamento a la Ley del Medio Ambiente 1333 [5].
Se puede indicar que las aguas subterráneas de Llapallapani, Poopó, Realenga y Challapata son aguas que presentan mejor calidad que las demás porque tienen mayores porcentajes de calidad. Finalmente Chusaqueri, Pazña, Iru Kasa-1a en el periodo seco y Toledo, Pazña en el periodo de lluvias presentan aguas de calidad inferior, estas son aguas en las que más precaución se debe tener a la hora de consumirlas (Figura 5).

EXPERIMENTAL
Los parámetros medidos fueron los cationes y aniones básicos (Na+, K+, Ca2+, Mg2+, NO3-, SO4=, PO4-3, NO3- y Cl-), elementos traza (As, Zn, Fe), alcalinidad total, pH, conductividad, Sólidos Totales en Suspensión, Sólidos Totales Disueltos y Dureza. Los técnicas usadas fueron los siguientes: Instrumentales (Espectrómetro de Absorción Atómica con Generador de Hidruros, Espectrofotómetro Ultravioleta- Visible, pH- metro, conductimetro, TDS-metro), Gravimétricas y Volumétricas.
La designación de los diez puntos de muestreo se hizo de acuerdo a la distribución geográfica y el uso del agua subterránea, es decir se priorizo a los pozos que servían para el consumo humano y de estos los que tenían mayor demanda.
El primer muestreo se realizo a principios del mes de abril del 2004 que corresponde al fin de la época de lluvias e inicio de la época seca y el otro en la primera semana del mes de diciembre del 2004, que representa el fin de la época seca e inicio de la época de lluvias (Figura 2).
CONCLUSIONES
En relación al pH que es un indicador de la acción minera (pasiva o activa) por el drenaje ácido de mina, se puede indicar que Pazña al tener valores de pH ligeramente bajos sufre de alguna manera esta acción, esto es revalidado por la alta concentración de sulfatos, la dureza que tiene esta misma agua es fundamental para que sus aguas no presenten altas concentraciones en metales pesados.
Se puede indicar que Poopó y Realenga siguen la secuencia y Pazña, Iru Kasa, Toledo, Chusaqueri, Huancané, Challapata, Llapallapani siguen de cierta forma la secuencia de Chevotareb [1].
Las aguas subterráneas del grupo 3 serían las que mayor salinidad y tiempo de permanencia tienen por su elevada concentración de cloruros, a continuación estaría el agua de Pazña, que tendría un tiempo de permanencia menor, luego el grupo 2 y finalmente el grupo 1 que presentan baja salinidad y esta debida exclusivamente a HCO3-.
No se puede afirmar definitivamente que influencia tiene la precipitación sobre las aguas subterráneas, debido al variado comportamiento de las aguas subterráneas en ambos periodos.
Challapata y Llapallapani presentan acuíferos confinados y por lo tanto presentan aguas de calidad superior. El pozo de Iru Kasa-1a presenta efectos negativos a la estructura del suelo (RAS), que reducen la velocidad del agua para infiltrarse y moverse a través del suelo. La mayoría de las aguas están entre el rango de semiduras - muy blandas, la dureza es alta en Pazña, Chusaqueri y Toledo.
Llapallapani, Challapata, Realenga y Poopó presentan aguas de buena calidad, estas aguas podrían ser usadas para diferentes usos empezando por el consumo humano, animal y agrícola, (desde el punto de vista fisicoquímico) no tienen problemas con la salinidad. Las aguas de Huancané e Iru Kasa-2h deberían ser tratadas antes de ser consumidas, aunque pueden ser usadas para la agricultura sin problemas. Las demás aguas subterráneas deben tener tratamiento mucho mayor antes de ser usadas, existen riesgos por la salinidad debido a los iones: Cl-, HCO3-, Na+ y en menor medida el SO4=.
Los metales estudiados (Fe, Zn y As) no provocan ningún tipo de contaminación sobre las aguas subterráneas, debido a que serían retenidos por el suelo, descartando la hipótesis de la acción de la minería o de la naturaleza del suelo en la calidad de las aguas subterráneas (excepto Pazña). Según las características similares que tienen Llapallapani y Challapata podrían ser parte de un solo acuífero, lo mismo en el caso de Poopó y Realenga. En el caso de los dos pozos de Iru Kasa que están prácticamente juntos no se puede afirmar que provengan de un mismo acuífero.
REFERENCIAS
[1] Evolución Geoquímica, Universidad Salamanca, España, http://web.usal.es/javisan/hidro [ Links ]
[2] Proyecto: Manejo del Recurso Hídrico – Hidroquímica LPUU (C. Sueca ASDI – SAREC).
[3] Proyecto Piloto Oruro 003. Impacto de la Contaminación Minera e Industrial sobre Aguas Subterráneas 1996. [ Links ]
[4] I. Montes de Oca, Geografía y Recursos Naturales de Bolivia 3º Edición La Paz, Bolivia 1997. [ Links ]
[5] Diagnostico de los Recursos Naturales y Culturales de los lagos Poopó y Uru Uru. Oruro – Bolivia. Ministerio de Desarrollo Sostenible y Planificación. Dirección General de Biodiversidad.
[6] Prefectura de La Paz: http://www.prefecturalpz.gov.bo/ima/usda.asp [ Links ]
[7] Vernon L. Snoeyink y David Jenkins, Química del Agua, 1º edición México 1990. [ Links ]
[8] VI Congreso Boliviano de Química: Distribución de Metales Pesados en Aguas Superficiales y Sedimentos en la Subcuenca LPUU, Bolivia 2003. [ Links ]











uBio 

