Servicios Personalizados
Revista
Articulo
Indicadores
-
Citado por SciELO -
Accesos
Links relacionados
-
Similares en
SciELO
Compartir
Revista Investigación y Negocios
versión impresa ISSN 2521-2737
Investigación y Negocios vol.12 no.19 Sucre abr. 2019
ARTÍCULOS
Modelo de gestión estratégico productivo para microempresas artesanales de artículos en madera
Strategic productive management model for artisanal micro-enterprises of wood articles
1Dra. Gloria Elizabeth Miño Cascante 2 MSc. Alcides Napoleón García Flores 3 MSc. Julio Cesar Moyano Alulema
1 Docente en la Escuela Superior Politécnica de Chimborazo gmino@espoch.edu.ec
2 Docente en la Escuela Superior Politécnica de Chimborazo an_garcia@espoch.edu.ec
3 Docente en la Escuela Superior Politécnica de Chimborazo j_moyano@espoch.edu.ec
Recibido, enero 2019 Aceptado, abril 2019
Resumen
Este estudio hace un análisis a las microempresas artesanales de artículos en madera de la ciudad de Riobamba provincia de Chimborazo, con el propósito de diseñar un modelo de gestión estratégico productivo; mediante una investigación exploratoria, en la que se utilizó el método del diagrama de Pareto identificando los problemas principales que son: procesos de producción, clientes, gestión interna y la planificación, para posteriormente realizar una investigación descriptiva mediante una encuesta estructurada no disfrazada; además para identificar la consistencia interna se aplicó el método Kuder Richardson con un resultado de 0,82 siendo excelente, y posteriormente para observar el comportamiento de las variables propuestas, se efectuó la matriz de correlación en la que se obtuvo que la variable proceso de producción está correlacionada positivamente con las variables cliente; lo cual conlleva a que si la una crece la otra también, esto se debe a que el producto terminado está en función de las necesidades y requerimientos de los clientes, llegando a la concordancia de las variables de estudio propuesto; con lo cual se diseñó el presente modelo como una primera etapa de la investigación. En los resultados se identificaron que las microempresas artesanales de artículos en madera de la ciudad de Riobamba provincia de Chimborazo poseen una falencia en cuanto a las variables de estudio.
Palabras Clave: Modelo, Gestión, Producción, Microempresa, Madera.
Abstract
This study analyzes the artisanal micro-enterprises of wood articles from the city of Riobamba, province of Chimborazo, with the purpose of designing a strategic productive management model; by means of an exploratory investigation, in which the Pareto diagram method was used, identifying the main problems that are: production processes, clients, internal management and planning, to later carry out a descriptive investigation by means of a structured survey not disguised; In addition, to identify the internal consistency, the Kuder Richardson method was applied with a result of 0.82 being excellent, and later to observe the behavior of the proposed variables, the correlation matrix was made in which it was obtained that the variable production process it is positively correlated with the client variables; which means that if one grows the other also, this is because the finished product is based on the needs and requirements of customers, reaching the agreement of the proposed study variables; with which the present model was designed as a first stage of the investigation. In the results, it was identified that the artisan micro-enterprises of wood articles of the city of Riobamba, province of Chimborazo, have a deficiency in the study variables.
Keywords: Model, Management, Production, Microenterprise, Wood.
Introducción
Considerando que las técnicas organizativas implementadas para la producción tuvieron un realce desde la revolución industrial, en el que se presentó los métodos científicos de trabajo propuestos por Frederick Winslow Taylor, que presentaba la era de la implantación, de la organización y gestión de la producción. (Cuatrecasas Arbós, 2012).
El término modelo es utilizado en diferentes espacios y con varios significados, enfocándose a las ciencias sociales es la representación, delimitación de las actividades a realizar con el propósito de alcanzar un objetivo propuesto (Saracho, 2005).
Desde el punto de vista de (Cuatrecasas Arbós, 2012) la gestión de la producción y sus procesos es la actividad productiva que desarrolla una empresa debe estar organizada de manera que logre los objetivos previstos optimizándolos en lo posible, técnicas y económicamente, con el empleo de los sistemas de gestión más adecuados y avanzados (González Riesco, 2005).
Además (Martínez Guillén, 2013) identifica las variaciones económicos, culturales, tecnológicos y de la estructura de la industria, y conjuntamente con los avances generados en los últimos tiempos en diversos ámbitos ya sean sobre tecnología y gestión, que han conformado el ambiente para el surgimiento de nuevas corrientes como son las Teorías X e Y, y posteriormente la teoría Z (Reyes Ponce, 1991) en la cual la empresa se ve en la necesidad de seguir adaptándose al entorno en el que se desarrolla con la finalidad de no desaparecer como lo menciona (Cuatrecasas Arbós, 2012).
Para (Atehortúa Hurtad, Bustamante Vélez, & Valencia de los Ríos, 2008), el proceso de gestión estratégica es la que proporciona el rumbo a seguir para lograr las metas y objetivos que persigue la empresa otorgando a los directivos la facultad de tomar decisiones adecuadas a la realidad de las empresas (García Márquez, 2013).
Para (Sainz de Vicuña, 2017) el proceso de gestión estratégica corresponde directamente a la alta dirección de la empresa dando los parámetros tanto a mediano como a largo plazo mediante el direccionamiento estratégico proporcionando la orientación que debe tener la misma.
Según (Gimbert, 2010), la clave para toda empresa es identificar claramente lo que es estratégico, teniendo en consideración lo que es mejor para la misma en un futuro cercano y que los niveles que se tienen que distinguir para el adecuado funcionamiento y que al no realizarlo se corre el riesgo de llegar a problemas en las gestión (Ortiz Aldean, 2015 ), desde luego cada una se encuentran diversos niveles y son importantes para definir el proceso, procedimiento más adecuada para las actividades que realiza la organización.
Desde la perspectiva de (Plaza Mejía, 2003) se plantea un modelo en el cual la dirección estratégica es el principio de la formulación de las estrategias las cuales presenten decisiones oportunas de los planes efectuados del mismo sistema como se puede observar en la gráfico 1.
Para (Segura, 2010), las herramientas de gestión gráfico 2 utilizadas deben facilitar la realización de las actividades de cada una de las personas que conforman la empresa y que son parte de las realización de la misma.
Por lo que el control de la gestión juega un papel de vital importancia ya que constituye un conjunto sistematizado de procedimientos, métodos y formas como menciona (Vicente Serra Salvador, 2005), la cual suministra el delineamiento para identificar el cumplimiento y como conocer cuál es el grado de cumplimiento y de la misma manera tomar medidas para la realización del mismo.
En el Ecuador las pequeñas y medianas empresas (PYMES) según el Servicio de Rentas Internas le consideran de acuerdo a su volumen de ventas, capital social, cantidad de trabajadores, su nivel de producción o activos y presentan características propias de este tipo de entidades económicas.
Asociación de talladores y afines de la madera Chimborazo en la cual están agrupados los talleres artesanales que trabajan con madera de la ciudad de Riobamba son todas microempresas se encuentran agremiadas a la misma, la que fue constituida en la ciudad de Riobamba a los diecisiete días del mes de junio de 1976; y una vez discutida misión, visión, políticas de la organización se lo acepta por unanimidad, por lo cual resuelven lleve el nombre de “Asociación de talladores de Chimborazo”.
A continuación, se designa por votación secreta, a los miembros de la Directiva Provisional, quedando integrada como a continuación se indica:
Presidente, Vicepresidente, Secretario, Pro- Secretario, Tesorero, Primer Vocal, Segundo Vocal y Tercer Vocal
Importancia del Problema
Las microempresas artesanales de artículos en madera de la ciudad de Riobamba poseen dificultades en la producción, donde se puede inferir que los eslabones de la gestión no poseen una alta calificación y que al momento de efectuar sus actividades por procesos tienen un cambio bastante importante tanto en parte obrera quienes realizan el proceso de transformación como también aquellas personas quienes realizan actividades de dirección.
Metodología
La presente investigación en la primera etapa es de tipo exploratorio con la cual se identificará el objetivo de estudio mediante una encuesta piloto suyo cuestionario es de tipo estructurado no disfrazado con pregustas abiertas, dicotómicas y cerradas efectuada a los gerentes o propietarios de los talleres artesanales la cual se la realiza a 10 personas, para luego codificar como muestra la tabla 1.
Posteriormente se tabuló y se obtuvo los siguientes resultados:
Como se puede observar en el gráfico 3, en la zona de pocos vitales existen 4 causas: Desconocimiento de procesos, Escasa Planificación, Inadecuada fidelización y Evaluación al personal, los cuales se deberán priorizar, considerando que, si se solucionan estos problemas, se remediaría el 80% de los problemas.
Con lo cual se identificado cuadro principales problemas que poseen los talleres estos se engloban en:
- Procesos de Producción
- Clientes
- Gestión Interna
- Planificación
Para la segunda etapa el tipo de investigación que se aplico es la descriptiva en la cual se realiza una encuesta, cuyo cuestionario es de tipo estructurada no disfrazada con preguntas dicotómicas a fin de aplicar la Método Kuder Richardson que permite medir la fiabilidad de la información levantada.
Población
Para el cálculo de la muestra se la efectúa para poblaciones infinitas según (Gabín, 2004) ya que no se conoce el universo de estudio.
Consideró la encueta piloto en la cual se planteó la primera pregunta como directriz para hallar los valores de p y q, se llegó a concluir que el 90% de los encuestados afirman que no tienen un plan estratégico de producción.
De lo cual se partió para la realización de la encuesta para los gerentes o propietarios de los talleres artesanales con preguntas de tipo dicotómicas.
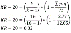
Método Kuder Richardson
Para identificar la consistencia interna que tiene los resultaos obtenidos se aplica el método Kuder Richardson según (Gento Palacios & Ludwig Huber, 2012).
El resultado de las operaciones anteriormente detalladas tiene un valor de 0.82 lo que dice que la encuesta tiene consistencia interna y que es excelente.
Matriz de correlación
Para (Hanke & Wichern, 2006), la matriz de correlación se construye calculando los coeficientes de correlación simples para cada combinación de pares de variables.
Para efectuar esa combinación se realizada con las encuestas dando los siguientes resultados:
Para posteriormente con la ayuda del software Excel efectuar la siguiente correlación con las variables propuesta a fin de lograr conocer la corresponsabilidad que estas poseen detallado en la tabla3.
La variable del proceso de producción está correlacionada positivamente con las variables cliente. Esta relación nos indica si crece la variable proceso de producción también crecerá la variable cliente.
Esto se da ya que el producto terminado es en función de los requerimientos de los clientes por lo cual el proceso de producción será en función del artículo que prefiera.
La variable gestión interna está correlacionada positivamente con las variables planificación. Esta relación nos indica si crece la variable gestión interna también crecerá la variable planificación.
Considerando que la planificación efectuada es de una manera empírica, así como la gestión interna ya que el tiempo de entrega de los productos terminados está dado por datos históricos de la realización de artículos similares sin considerar tiempos de holgura en la entrega del mismo, ocasionando incumplimientos y consecuentemente con ello la molestia de los clientes.
Cuando la correlación es negativa, esto nos indica que su proyección de la regresión lineal va a tender a decrecer conjuntamente con la contra variable. Como ocurre con la relación de la variable proceso de producción y gestión interna ya que no hay relación, porque los talleres artesanales no se tienen implementado un proceso ni procedimiento para el cumplimiento de las actividades de producción y que en ocasiones los trabajadores no tienen el conocimiento para efectuar las actividades encomendadas.
Así también la variable proceso de producción y la variable planificación poseen una relación negativa puesto que no se pronostica los índices de producción de la empresa lo cual conlleva a que no exista una identificación clara de la misma.
La variable Cliente con la variable Gestión interna la cual no posee una relación negativa evidenciando que para identificar la inexistencia de un seguimiento a la satisfacción al cliente y las respectivas mejoras del mismo.
En la variable cliente y la variable planificación se puede identificar que los atrasos de la entrega de los productos terminados son debido en parte a los proveedores y la inadecuada planificación que se presenta al momento de identificar los tiempos de producción ocasionado la disminución de los clientes actuales.
Resultado
El diseño que se plantea tiene como entrada las necesidades de los clientes y la salida es la satisfacción del cliente como se puede observar en el gráfico 4; con un direccionamiento estratégico mediante:
- Evaluación del Ambiente
- Formulación de estrategias
- Selección de estrategias
- Aplicación de estrategias
- Evaluación
Y finalmente realizar la retroalimentación de la información obtenida mediante la evaluación, a fin de poder realizar mejores constantemente y se pueda adaptar de manera eficaz y eficiente al entorno cambiante.
El diseño que se plantea está enfocado a los clientes entendiéndolos como la base principal para la empresa por lo cual para identificar en el gráfico 5 donde existe un detalle pormenorizado del modelo planteado:
- Necesidades de los Cliente
- Estudio de mercado
- Direccionamiento estratégico
- Ambiente
- Análisis interno y externo
- FODA,
- Matriz Boston Consulting Group,
- Las 5 Fuerzas de Porter,
- Estudio de trabajo Análisis de la Producción
- Formulación de estrategias
- Matriz de perfiles competitivos productivos
- Matriz de la posicionamiento estratégico y evaluación de la acción
- Matriz de evaluación de los factores internos de producción
- Matriz de la Gran estrategia
- Selección de estrategias
- Matriz cuantitativa de la estrategia
- Priorización y selección de las estrategias
- Matriz de Priorización o de Holmes de estrategias
- Relación de las estrategias con el direccionamiento estratégico
- Aplicación
- Implementación de las estrategias
- Seguimiento en función de los indicadores
- Evaluación
- Productividad
- Matriz de eficiencia y eficacia
- Análisis de la estrategia implementada
- Satisfacción al cliente
- Modelo Kano
Con lo cual se podrá efectuar una retroalimentación de la satisfacción al cliente que se plante por lo que las microempresas artesanales estarán a la capacidad de responder y sobre todo de permanecer en el mercado siendo competitivos y presentando productos terminados de alta calidad.
Además, con cada paso que se realiza se puede seguir efectuando cambios para la mejora del mismo, lo cual conlleva a que las decisiones que se tomen sean en función de la identificación de la situación actual.
Discusión
Considerando que la variable de estudio clientes es uno de los factores preponderantes en el diseño del modelo de gestión estratégico productivo propuesto se evidencia que los compradores actuales son fieles a los productos que se ofrecen gracias a los diversidad modelos que son efectuados y si es la necesidad los diseños en ocasiones son únicos; aunque esto ha logrado su comercialización a conllevada a un estancamiento en las ventas por cuanto la producción realizada es al por menor y no sino al por mayor.
Conclusiones
Se identifica que las microempresas artesanales de artículos en madera de la ciudad de Riobamba provincia de Chimborazo poseen una falencia en cuanto a las variables de estudio propuestas que son: procesos de producción, clientes, gestión interna y planificación; ya que al momento de levantar la información mediante las encuesta se evidencia una falta de identificación a las mismas; como es el caso de la producción ya que es de manera empírica y no contempla un procedimiento ni requiere una planificación, debido a que el número de unidades elaboradas son menores y no es necesario el conocer los tiempos de producción empleados.
Cada una de las microempresas artesanales cuenta con el propietario que es la persona encarga de realizar múltiples funciones y que los operarios no están capacitados para la utilización de la maquinaria como también que en ocasiones efectúan estas actividades sin el adiestramiento requerido para su ejecución.
El diseño que se plante está enfocado a la satisfacción del cliente dando una dirección significativa al mismo, mediante la utilización de las diferentes herramientas presentadas de tal forma que se incremente los clientes actuales y se amplíe el segmento de mercado.
Al implementar las diferentes herramientas de análisis planteadas se puede lograr una toma de decisiones respecto a la ejecución de las actividades planificadas como de las estrategias a seguir con el direccionamiento adecuado y los objetivos con metas claras para las microempresas artesanales.
Referencias [ Links ] [ Links ] [ Links ] [ Links ] [ Links ] [ Links ] [ Links ] [ Links ] [ Links ] [ Links ] [ Links ] [ Links ] [ Links ] [ Links ] [ Links ] [ Links ]






















