Servicios Personalizados
Revista
Articulo
Indicadores
-
Citado por SciELO -
Accesos
Links relacionados
-
Similares en
SciELO
Compartir
Revista de Medio Ambiente y Mineria
versión impresa ISSN 2519-5352
REV. MAMYM vol.10 no.2 Oruro dic. 2025
ARTÍCULOS ORIGINALES
Los efectos biológicos de la contaminación minera en las cuencas que conforman la hidrografía de Bolivia: relevamiento de los estudios recientes
1Roger Carvajal Saravia
1Unidad de Biomedicina Experimental, Instituto de Servicios de Laboratorio de Diagnóstico e investigación en Salud (SELADIS). Facultad de Ciencias Farmacéuticas y Bioquímicas, Universidad Mayor de San Andrés. La Paz.
Resumen
Existen abundantes estudios que caracterizan la contaminación minera en las diferentes cuencas que conforman la hidrografía boliviana. Solo algunos de ellos inciden en las consecuencias sobre los seres vivos que están en contacto con las actividades mineras. Desde hace dos décadas se han descrito múltiples aspectos de esta situación en investigaciones diversas, las cuales han crecido en número, manejo metodológico y recursos tecnológicos y en sitios específicos. Sin embargo, este caudal de información no se ha constituido en una herramienta que pueda incidir en las políticas del sector, dado que cada estudio analiza un aspecto específico de esa realidad cuya transformación requiere un enfoque integral, dada la complejidad de este hecho.
Por lo anterior, en este trabajo se hace un relevamiento de los estudios recientes, mismos que han avanzado en complejidad procedimental, aunque gran parte de las conclusiones ya se conocía desde el inicio de estos emprendimientos académicos. Sin embargo, resalta el hecho de que, no obstante estas constataciones científicas, las causas y las consecuencias de esta contaminación siguieron creciendo de manera incontenible, aun existiendo tecnología que puede modificar la situación. Portal hecho, en este trabajo, además de mostrar el escenario actual sobre la contaminación minera y sus consecuencias, se plantea la necesidad de encontrar soluciones a la contradicción entre la necesidad de mantener el sistema productivo y la de conservar la vida.
Palabras Clave: Contaminación minera, Cuencas hidrográficas, daño ambiental por minerales, afectación de la salud por contaminación.
Abstract
There are abundant studies characterizing mining pollution in the different basins that make up Bolivia's hydrography. Only a few of them address the consequences for living beings in contact with mining activities. For two decades, multiple aspects of this situation have been described in various studies, which have grown in number, methodological approach, technological resources, and in specific sites. However, this wealth of information has not become a tool that can influence sector policies, given that each study analyzes a specific aspect of this reality, butthe transformation of which requires a comprehensive approach, given the complexity of this situation.
Therefore, this work reviews recent studies, which have advanced in procedural complexity, although many of the conclusions were already known from the beginning of these academic endeavors. However, it is noteworthy that, despite these scientific findings, the causes and consequences of this pollution continued to grow uncontrollably, even though technology exists that can change the situation. For this reason, this paper, in addition to showing the current situation regarding mining pollution and its consequences, raises the need to find solutions to the contradiction between the need to mantain the productive system and the need to preserve life.
Keywords: Mining pollution, Watersheds, environmental damage from minerals, health impacts from pollution.
Introducción
La salud humana depende de muchos factores y condiciones que están mayormente relacionadas con el entorno biótico/abiótico y con la propia naturaleza humana, que incluye diversos determinantes genético-bioquímicos que, a su vez, son parte constitutiva de su funcionamiento. De ahí que los conceptos modernos de salud incluyen al ecosistema en lo que se ha denominado como ONE HEALTH, termino promovido por los organismos internacionales para hacer notar la necesidad de cuidar el equilibro ecosistémico como condición de salud de todas las especies y reinos, de mantera integral (OMS/OPS 2021). Entre los factores del entorno, destaca la existencia de elementos que, al llegar al organismo, alteran su funcionamiento, si se encuentra en ciertas concentraciones críticas. Entre estos elementos son de extrema importancia aquellos que provienen de la naturaleza abiótica y que, en condiciones normales, se encuentran integrados al componente material de la estructura geológica, los minerales. Estos pueden ser removidos por acción humana (acción antrópica) para fines de extracción de recursos mineralógicos, o por la dinámica de la propia naturaleza: erosión, erupciones, derrumbes, etc., para tomar contacto con seres vivos (exposición) en condiciones no habituales, afectando su salud. Este proceso, denominado contaminación mineral, puede ser diseminado a través del aire, agua, suelos u otros vectores. siendo el más frecuente el agua a través de cursos de diverso caudal. Existen muchos estudios sobre la contaminación minera de los ríos de las tres cuencas principales de Bolivia, aunque pocos están dedicados a los efectos en el medio ambiente y la alimentación con sus consecuencias sobre la salud humana. Siendo este un aspecto importante para incidir en las políticas, con base en el conocimiento, en este trabajo nos referiremos brevemente a los estudios más relevantes sobre cada una de las cuencas mencionadas, mostrando algunas tablas o figuras de los materiales revisados, en su versión original, que hacen más explícitos y contribuyen a destacar los resultados obtenidos por los autores citados. Cabe aclarar que esta no es una revisión sistemática, porque no recoge todas las investigaciones sobre el tema, dada la variabilidad de estas en sus distintos enfoques; tampoco es un metaanálisis, porque no compara los resultados obtenidos para una conclusión mayor. Es un relevamiento que, como se define en el ámbito académico: "Un relevamiento es una revisión, una investigación o un estudio de algo; lo que se hace al relievar, en este sentido, es registrar cierta información que se detecta a partir de una observación con propósitos de caracterizar mejor una situación o un evento a partir de investigaciones que generan resultados sobre dicha situación (información generada por distintas fuentes)."1
Cuenca amazónica
La cuenca amazónica recibe el caudal hídrico de Bolivia a través del del rio Madeira, cuyos tributarios más importantes se c1asifican en función de su origen, en:
tributarios andinos: los ríos Madre de Dios, Beni y Mamoré,
tributarios del escudo brasileno: los rios Guapore-Itenez, Blanco y San Martin, y
rios de Ilanura: Orthon, Yata, Negro e Ibare (Maurice-Bourgoin y cols. 1999)
El contaminante minero más importante, tanto por su toxicidad2 como por su magnitud creciente, es el mercurio. Son los tributarios andinos, excepto el Mamoré, los que reciben la mayor cantidad de mercurio debido a que en sus riberas y en las de sus tributarios existe explotación de oro aluvial que es causante mayor de la contaminación minera en la Amazonía; es lo que ocurre en los ríos de las cuencas del rio Beni y del Madre de Dios por el mercurio que libera, a lo largo de los cuerpos de agua y suelos, la minería artesanal del oro (Roulet M. y cols., 2001) (López Siangas E.I., 2005). Sin embargo, conviene anotar que la erosión causada por la deforestación (Rogers Robert D. 1979) (Pouilly Marc y Molina Carlos I A., 2014) y la presencia de metilmecurio en sedimentos y suelos de la amazonia inundable (Roulet M. y cols., 2001) provocan contaminación geoquímica, por lo que son factores para tomar en cuenta, aunque no tenga origen minero esencialmente.
El estudio más temprano fue el realizado por Maurice-Bourgoin et al, publicado en 1999, en el rio Beni y afluentes que mostro la existencia de mercurio libre y asociado en las aguas de los tributarios amazónicos ubicados rio abajo de las minas de oro del norte de La Paz. La presencia en sedimentos fue baja cerca de las minas y más altas en los transcursos de pie de monte (Rurrenabaque) donde la velocidad de los caudales de agua es menor y permite la sedimentación. El mercurio detectado en el músculo de peces mostró la importante diferencia entre especies carnívoras/omnívoras con las herbívoras e insectívoras. También mostro la contaminación presente en el cabello de habitantes locales siendo los de niveles mayores las correspondientes a las comunidades indígenas preferentemente consumidores de pescado, con niveles del orden de 10.5 (ig/g, en promedio
Fig. 1. - Precio y valor de las importaciones de mercurio a Bolivia, desde 2010.
Fuente Campanini Oscar CEDIB (2022).
El mercurio, ha sido utilizado desde la época de la colonia para recuperar plata y oro, pero su uso masivo data desde el 2016, tal como se aprecia en la figura 1 donde se muestra la dinámica de la importación a Bolivia. Este súbito incremento tiene que ver con la necesidad de extraer oro aluvional en partículas finas mezclado con la tierra y otros materiales3, Se aprovecha su aureofilia y argentofilia para capturar el metal precioso y conformar con él una amalgama de la que luego se elimina por calentamiento y volatilización (Hinojosa Carrasco Octavio., 2016). Dicho material puede ser inhalado por quien efectúa tal actividad o por sujetos del entorno inmediato, contaminándose por vía respiratoria la cual es una ruta efectiva para el ingreso de mercurio metálico al organismo4. La mayor parte del mercurio volatilizado contamina el aire y cae a los suelos y al agua con la lluvia y, junto a los excedentes usados en la mezcla y luego desechados, discurre a los cuerpos de agua en calidad de mercurio metálico líquido ( ). Los microorganismos acuáticos capturan este metal y le agregan una molécula orgánica, el metilo para formar metil-mercurio (CH3Hg+) que es fácilmente absorbido por los tejidos particularmente del intestino de los animales que se alimentan de los microrganismos, con lo que se incorpora a la cadena alimentaria (López Siangas E. I., 2005). Estos, a su vez, son ingeridos, por organismos pluricelulares mayores, luego crustáceos, peces carnívoros de diferente tamaño, hasta llegar a las especies consumidas por el humano. Por lo anterior, la posibilidad de encontrar mercurio libre en el agua directamente es bastante baja, aun en ríos altamente contaminados. En conocimiento de esta dinámica, se efectuaron diversos estudios de contaminación/exposición altamente relevantes para caracterizar el problema identificado. La mayor parte de estos estudios están referidos a la presencia de mercurio en los peces y en los cabellos de los habitantes de las poblaciones ribereñas, en el entendido de que este metal se deposita en sedimentos y se incorpora en los seres vivos de los ríos, dejando mercurio libe en cantidades poco detectables en el agua5
Un estudio realizado en los diferentes ríos de la cuenca amazónica boliviana (Molina Carlos I y Pouilly Marc. 2014) mostró que en los ríos Mamoré e Itenez, la presencia de mercurio en los peces era muy escasa; en cambio, en las de los ríos Beni y Madre de Dios la presencia de mercurio era ostensible, con un elevado porcentaje de los peces contaminados. Esto correlaciona con la presencia o ausencia de minería artesanal en dichas cuencas. Los peces del rio Madera, en cambio, tenían un porcentaje menor de contaminación evaluada por el porcentaje de peces con mercurio en sus músculos, lo cual se explica por la mezcla de los afluentes anteriores en sus aguas (Tabla 1). Otro estudio realizado en 2007 en el Instituto SELADIS y el laboratorio de medio ambiente de la UMSA, sobre la contaminación con mercurio mostró niveles significativos de este contaminante minero en los cabellos de las mujeres (5.4 ± 4.3 µg/g; min: 0.15; max: 20.08 µg/g) en los niños y adolescentes (5.3 ± 4.5 µg/g; min: 0.08; max: 34.14 µg/g), existiendo una relación significativa entre el nivel de mercurio en cabello y el consumo de pescado (Luna Monrroy S. X. y Benefice E. 2007).
Tabla 1. Porcentaje de peces con mercurio en los diferentes ríos amazónicos, según diversos autores
Fuente: Poully M. y Pérez T. (2008)
Un estudio del CEDIB en colaboración con el laboratorio de toxicología de la Universidad de Cartagena, Colombia (Campanini y Cols 2025), ya en plena época del consumo masivo de mercurio y de la multiplicación de áreas de explotación aurífera en la Amazonia, corroboró los altos niveles de mercurio en los diferentes especies de pescados de consumo de las poblaciones ribereñas de las cuencas mencionadas (figura 2), con porcentajes más altos de peces que en el estudio anterior. Destacan las especies carnívoras que están al final de la cadena trófica ictícola, a diferencia de las especies herbívoras que no superan los límites permisibles.
Figura 2. Concentraciones de Hg-T en músculo de peces en río Beni. Los valores más altos de Hg-T se presentaron en los siguientes peces: Pez Ciego (2.7 ± 0.4 (ig/g), Esteban (1.8 (ig/g) y Bagre (1.7 ± 0.3 (ig/g), Todos por encima de la norma de la USEPA (0.5 (ig/g).
Fuente: Proyecto: Campanini y cols. (2025)
En cuanto al mercurio presente en los habitantes de las zonas mineras, no se encontraron niveles elevados en el cabello de dichos sujetos, hecho que respondía a que los mineros y la gente de su entorno se contamina por vía respiratoria con mercurio metálico volátil que se genera en el calentamiento de la amalgama. Este mercurio se distribuye por los órganos del cuerpo y sale por riñon y no dándole tiempo de incorporarse en el cabello en crecimiento. En cambio, en las comunidades que son habitantes ribereñas de las cuencas del rio Beni, que son consumidoras de pescado en el que existe metil-mercurio, este estudio mostro niveles de contaminación que sobrepasan a los niveles permitidos por la OMS.
En este mismo estudio, que incluía también a miembros de las diferentes comunidades del rio Madre de Dios, se encontraron niveles elevados de este metal en el cabello de mujeres de diferentes comunidades del rio Beni (figura 3) y del rio Madre de Dios (figura 4). Se encontraron niveles drásticamente superiores a los mínimos permitidos por organismos internacionales, particularmente en las comunidades cuya ingesta de proteínas está basada en el pescado, existiendo una relación estrecha entre la dieta a expensas de pescado carnívoro y herbívoro, tal como se demostró en otros estudios (Feingold BJ, 2020). En la actualidad se examinan los impactos clínicos de la contaminación en un estudio entre el SELADIS, el CEDIB y la U. de Cartagena6; se encontró de manera preliminar un patrón de afectación similar a lo reportado en otras partes del mundo y se hacen estudios de correlación entre el grado de afectación, detectado por marcadores bioquímicos y clínicos, con la concentración de mercurio en cabello.
Figura 3. Concentraciones de Hg-T en cabello humano de comunidades indígenas del río Beni. Comunidades: Asunción, AS; Real Beni, RB; Rurrenabaque, RU; San José de Uchupiamonas, SJU; Eyiyo Quibo, EY; Corte, CT.
Fuente: Proyecto: Evaluación Piloto de los efectos del Mercurio (Hg) en la salud de mujeres indígenas en la cuenca del río Beni, Madre de Dios y Mamoré, Bolivia. CEDIB 2023
Figura 4. Concentraciones de Hg-T en cabello humano de comunidades indígenas en el río Madre de Dios, Bolivia. Comunidades: Puerto Perez. PP; Las Mercedes, LM; El Tigre, ET; Toromona, TR; Loreto, LO; Genechiquia, GE; Exaltación, EX; Palestina, PL; Trinidancit, TR; Miraflores, MF; Cachuela Esperanza, CE; Puerto Consuelo II, PC.
Fuente: Proyecto: Evaluación Piloto de los efectos del Mercurio (Hg) en la salud de mujeres indígenas en la cuenca del río Beni, Madre de Dios y Mamoré, Bolivia. CEDIB 2023
Un estudio encargado por la Central de Pueblos Indígenas de La Paz en 2023 mostró altos grados de contaminación determinada por la presencia de mercurio en el cabello de sujetos de diferentes etnias del norte de La Paz. Estos niveles fueron detectados a través de pruebas realizadas por el Centro de estudios ambientales del Instituto de Ecología de la UMSA (CPILAP, 2023). La figura 4 muestra los grados de contaminación (promedio y dispersión). Se puede apreciar que la mayor parte de los sujetos examinados tenían niveles superiores a los permitidos por los organismos internacionales en salud. Solo los miembros de la etnia Leco tenían niveles que estaban dentro de los limitas permisibles marcados por organismos internacionales; tal hecho se explica por la ubicación de los miembros de esta etnia los cuales se asientan en regiones altas de las cuencas de la amazonia subandina, estando las áreas de explotación del oro aguas abajo de los asentamientos mencionados
Figura 4. Presencia de Mercurio en muestras de cabello de pobladores del Norte de La Paz, pertenecientes a diferentes etnias. Las línea amarilla punteada marca el nivel máximo permisible por la OMS(2ppm), la línea roja el nivel máximo definido por la EPA (1ppm) y la línea amarilla continua los niveles desde los que se ha establecido puede inducir daño neuronal
Fuente: CPILAP: Estudio de contaminación por mercurio en comunidades asentadas en los ríos del norte de La Paz (2023.)
Se sabe que el mercurio en los ríos se ha duplicado desde 18507 producto de las actividades antrópicas. En 2014, el CEDIB identificó entre 600 y 800 balsas de mineros explotando oro en el río Madre de Dios, cifra que se ha multiplicado para épocas recientes en ambas cuencas auríferas. Reportes de 2016, con base en estudios diversos, mencionan la emisión de más de 130 ton/año de mercurio8, que ubica a Bolivia como el segundo país con mayores emisiones en américa, No existen reportes oficiales recientes, pero conociendo que es a partir de 2015-16 que la importación se hizo masiva, debiera preverse que los montos actuales son muy superiores al reportado9. Llama la atención el hecho de que los mineros artesanales no adopten el uso de retortas en la volatilización del mercurio procedimiento que, se sabe, reduce los riesgos de inhalación y permite la recuperación del metal líquido. En todo caso, es necesario volver a asentar que, específicamente, la minería del oro emite mercurio por dos vías: la remoción de sedimentos, el uso de este metal en el proceso de amalgamación, caso en el cual el mercurio se libera a la atmósfera causando impacto en un radio de al menos 50 km La producción de oro es responsable del 83 por ciento de las emisiones de mercurio, según el libro Inventario Nacional de Fuentes de Emisiones de Mercurio En Bolivia (Pouilly M. y Pérez T., 2008)10. Por lo demás, un estudio de Bourgoin Maurice L. (1999) señala que solo el 20 por ciento del mercurio usado es recuperado. El 30 por ciento es desechado en las orillas de los ríos y el 50 por ciento emitido a la atmósfera durante el proceso de amalgamación del oro. No debe dejar de considerarse que en la cuenca amazónica se dan eventos que contribuyen aun más a la contaminación; así, las perturbaciones naturales (incendios naturales y erosión) y aquellas causadas por el hombre (chaqueo, deforestación, agricultura y minería) aceleran la liberación de mercurio. A esto se suma la diseminación del mercurio presente en los cuerpos de agua en las épocas de inundación, cuando éste llega a los suelos de áreas lejanas a los ríos y después de sedimentar puede incidir en cambios en los diferentes organismos presentes en la biota, incluyendo las plantas y los animales (Roulet M. y cols. 2001). Asimismo, los estudios que muestran los efectos de la minería del oro aluvial en la desecación del suelo amazónico (Atwood A. y cols. 2025), dan cuanta de la gravedad de la situación ambiental. Esta es cada vez más incidente en fenómenos como el clima y el daño a la biodiversidad (Fernández L. E. y cols 2022), derivados de la perdida de hábitats de las especies cercanas a las áreas de explotación, donde queda arena que, por las altas temperaturas que genera, incide en la desaparición de especímenes de diversos órdenes. Asimismo, la remoción de suelos interfiere la disponibilidad de agua para la recuperación del manto vegetal (Amaya J. A. y cols. 2025) y con los procesos de migración de peces para el desove. Se puede afirmar, entonces, que la minería artesanal de oro, además de contaminar con mercurio, modifica la dinámica de sedimentación en ríos y otros cuerpos de agua causando un impacto negativo en diferentes especies ictícolas que redunda en los peces, en la calidad de agua, en la reducción de la biodiversidad y en el aumento de inundaciones. Todo lo anterior muestra que la contaminación de los ríos norte-amazónicos de Bolivia se ha convertido en un importante y crítico factor de afectación del ecosistema
Por su parte, los ríos Mamoré e Itenez o Guaporé y sus tributarios, que han sido investigados a lo largo de los últimos año han mostrado niveles de mercurio relativamente bajos. Esto coincide con la escasa presencia de actividades mineras relacionadas con la explotación de oro aluvial en sus riberas (Pouilly Marc y cols. 2018). El indicador más consistente, la presencia de mercurio en la carne de los peces, muestra que existe bioacumulación en la cadena trófica y que ésta, aunque en montos bajos, es más evidente en las especies omnívoras, lo cual indica que, independientemente del origen del mercurio (minería liberando mercurio metálico o erosión soltando mercurio desde las estructuras del suelo), existe participación microbiana que se encarga de metilar el mercurio inorgánico proveniente de la erosión o de la deforestación con quema de la biomasa. La figura 5 muestra esta situación a partir de los estudios de Pouilly,
Figura 5 Presencia de mercurio en peces del rio Itenez y sus tributarios, según su ubicación en la cadena trófica y el tipo de alimentación.
Fuente: Pouilly Marc y cols(2018)
Similares resultados se encontraron en el rio Mamoré y sus tributarios, los cuales también indican que el tamaño del pez y su peso no están directamente relacionados con el contenido total de Hg por bioacumulación, ya que se encontró mayor contenido de Hg en peces pequeños que en peces de mayor tamaño, sobre todo en las lagunas aledañas al río Mamoré y Securé, donde los valores están entre 0,1 y 0,4 µg/g de Hg, tomando en cuenta que la dieta alimenticia son carnívoros y piscívoros. Otros contaminantes mineros en la cuenca amazónica boliviana no han sido estudiados con la suficiente acuciosidad en épocas recientes.
Cuenca Endorreica
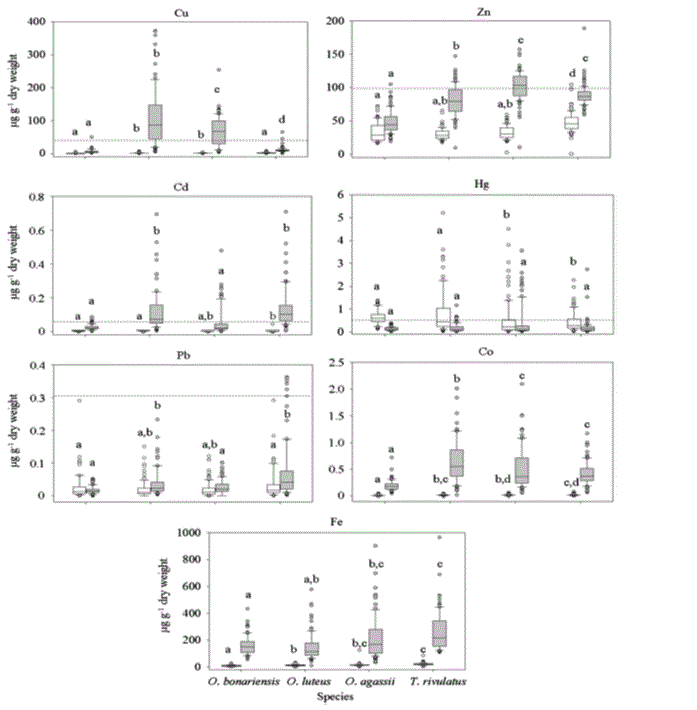
Una particularidad de la cuenca endorreica del altiplano boliviano es que los ríos que descienden de las cordilleras que lo rodean forman lagos que reciben tanto el agua como los minerales de la erosión de las montañas, pero también, de manera abundante, los materiales de desecho de las minas e ingenios ubicados en las inmediaciones. El agua se evapora en estos grandes cuerpos de agua, pero los minerales quedan y se acumulan. Esto conduce a la elevación de la concentración a lo largo del tiempo, concentración que puede llevar a la precipitación hasta formar una costra salina, cambiando (afectando) las condiciones de la biota local. El humedal más grande, el lago Titicaca está en pleno proceso de concentración por los aportes minerales de las minas que lo rodean y la reducción progresiva de los caudales de los ríos cordilleranos; no existen procedimientos que impidan este hecho. En este sentido, los estudios sobre el marcador más importante, la presencia de metales pesados en los peces, han mostrado que el Cu, Zn, Cd, Hg, Pb, Co y Fe están presentes en concentraciones superiores a las permitidas (excepto el Pb) en diversas especies estudiadas, nativas e introducidas. En un estudio realizdo por Monrroy y cols. (2014) sobre: Orestias agassii (Karachi negro), Orestias luteus (Karachi amarillo), Trichomycterus rivulatus (Suche, especie en peligro de extinción por la contaminación) y Odontesthes. Bonariensis (Pejerrey) se hizo evidente este hecho (figura 6).
Es importante hacer notar que los estudios sobre la presencia de metales en la trucha son escasos y los que hay fueron realizados sobre la ribera peruana. No obstante, se aprecia la presencia de diferentes metales pesados en dicha especie, siendo el mercurio y el cadmio los de menor concentración, tal como se observa en la tabla 5 (Chui H. N.,2021). El hecho de que exista minería que utiliza mercurio en los ríos tributarios, muestra la necesidad de hacer los estudios correspondientes con la acuciosidad que la situación exige.
En el caso del lago Poopó, la acumulación llegó en 2020 a su punto máximo, habiendo quedado como un espacio cargado de residuos mineros provenientes de las inmediaciones. Sin embargo, los datos que existen de perforaciones en el lago Poopó muestran que en el pasado había sal, lo que muestra que la carga mineral provenía de la erosión/lixiviación de los minerales de la cordillera colindante. Los datos actuales muestran la presencia de antimonio, plomo, cadmio, zinc y toda una serie de elementos con niveles de concentración altísimos similares a los existentes en los diques de cola de la minería circundante. Tales hechos, tal como los muestran las investigaciones de la UTO, generaron las condiciones previsibles para la extinción de la biota local (Chambi Parisaca L. J. y cols. 2017)(Molina C. I. y cols. 2012) (Coronado Pando F. 2009). Por otra parte, debe considerarse que la contaminación afecta, a través del agua, a los suelos y particularmente a los sembradíos colindantes, originando afectación de los alimentos, mecanismo a través del cual se contaminan poblaciones no necesariamente vinculadas a la minería. En este orden, la mayoría de los estudios sobre contaminación minera muestran el tipo y gravedad de la contaminación a través de marcadores de exposición, Son escasos los estudio sobre la afectación de la salud, pero destaca el realizado por el Instituto de Genética de la UMSA con apoyo de la cooperación francesa en el que se hizo la evaluación del daño genotóxico en madres e hijos de una zona de Oruro que antiguamente era un depósito de desechos minerales, el barrio minero de San José de la ciudad de Oruro (Ascarrunz M.E y cols. 2010). Se midieron como marcadores los micronúcleos en células de la mucosa bucal. Se encontró daño genotóxico en gran parte de la población examinada pero el grado de daño no correlacionó con la concentración de cadmio y plomo en la orina de las madres examinadas (Figura 7). De todos modos, quedó claro que la presencia de estos elementos en agua y alimentos (al agua que consume Oruro es proveniente de posos) debe ser objeto de estudios mayores y cuidado toxico-ambiental intensivo.
Figura 6. Se muestra la presencia de siete metales (mg/gpeso seco de musculo), incluyendo el mercurio en cuatro especies de peces del lago Titicaca.
Fuente: Monrroy y cols. (2014)
Tabla 5.- Concentración de metales pesados (mg.kg-1) en músculos de truchas arcoíris (Oncorhynchus mykiss) de crianza intensiva de dos zonas representativas del lago Titicaca de Perú (n= 9 peces por zona).
Fuente: Chui el al (2021)
Concentración de arsénico y cadmio en orina de madres
Figura 7. -Daño genotóxico en la orina de madres y niños del Barrio San José, Oruro contaminado por cadmio y arsénico. Se aprecia el elevado nivel de Cadmo y Arsénico en promedio (a), el número elevado de micronúcleos en promedio (b), pero una ausencia de correlación entre el número de micronúcleos y la concentración de estos compuestos en la sangre (c).
Fuente: Ascarrunz M.E et al. (2010). Daño genotóxico por contaminación minera en Oruro. PIEB
En otro estudio en el campamento de San José en Oruro, Aparicio, del instituto de Biología de la Altura (2009), exploro el desarrollo cognitivo y aptitudes intelectuales y de comportamiento de los niños que habitaban tal zona en la que existían en el suelo niveles elevados de plomo y cadmio.
En comparación con otra localidad de similares condiciones demográficas, pero sin contaminación (pueblo de Copacabana); encontró deficiencias importantes en diferentes parámetros neurológicos: "la elevación de Pb causaría: déficit de atención, problemas de memoria tanto a corto como a largo plazo, disminución del rendimiento cognitivo; compatibles con exposición crónica a bajas dosis de metales, que afectan el lenguaje, la atención y la memoria; la exposición al Cd produce trastornos de hiperactividad, alteraciones de la capacidad verbal y disminución del coeficiente intelectual".
Cuenca del Plata
Gran parte de las minas de Potosí y de los ingenios de concentración descargan sus efluentes en ríos que son tributarios del rio Pilcomayo, que, a su vez, forma parte de la cuenca del rio de La Plata. La contaminación ocurre desde las salidas de las minas y a lo largo del trayecto depositan en el lecho y en orillas grandes cantidades de minerales afectando la composición del agua y la calidad de los suelos. Existen múltiples estudios sobre la calidad del agua y sus efectos en la biota, pero son escasos los referidos a los impactos en la salud del ecosistema y de la población humana de la región. Ya en 1998 se hizo una compilación de estudios previos sobre la cuenca del Pilcomayo, en cuyas conclusiones se destaca la contaminación con metales pesados en peces y humanos, recomendando la necesidad de estudios y acciones integrales (Erazo-Campos O., 1998). En 1999, JICA, entidad japonesa de cooperación, realizo un estudio integral sobre los impactos ambientales de la minería en Potosí, mostrando las afectaciones en la cuenca del Pilcomayo (Hisamisu Ooki, Leader of the Study Team. 1999). La principal recomendación hacía énfasis en la necesidad de crear un centro de monitoreo de las aguas para regular las emisiones de minas e ingenios, nada de esto se llevó adelante en los sucesivos periodos.
Los efectos sobre la salud en algunas comunidades que habitan las inmediaciones de los ríos que provienen de las minas de Potosí se han reportado en un estudio de la fundación MEDMIN en el 2000 (Peñaloza M.S. y Reinhardt I., 2000) y se muestra en la tabla 3. Se aprecian los resultados de compuestos químicos del agua en rio de San Antonio cuyas elevadas concentraciones, de acuerdo con el conocimiento de la toxicología ambienta presentan múltiples riesgos para la salud.
Tabla 6. Resume los hallazgos y efectos posibles de la contaminación por diversos minerales en el rio San Antonio de Potosí

Fuente: Peñaloza M.S, Reinhardt I. 2000.
Se sabe, por dicha información que los altos niveles de sulfatos pueden causar irritación gastrointestinal, diarrea y deshidratación; la presencia de plomo es especialmente preocupante debido a su alta capacidad para afectar el desarrollo neurológico en niños, causando problemas de aprendizaje y comportamiento, y en adultos provocar hipertensión y daño renal, el manganeso en exceso puede afectar el sistema neurológico, provocando síntomas similares a los del Parkinson, mientras que el hierro provoca daños gastrointestinales y trastornos hepáticos. En ese orden los datos que brinda este estudio, aunque no tengan la exhaustividad clínica, muestran que hay daño orgánico diversos en los habitantes afectados
. Tabla 6. - Instantánea obtenida de: Vera y cols. (2024). -concentraciones de algunos contaminantes en las aguas que provienen de los ingenios de Potosí-.
Fuente: Resultados de laboratorio CIMA-UATF, evaluación mayo del 2023
Un estudio llevado a cabo por Vera y colaboradores de la Universidad Autónoma Tomás Frías asocia la incidencia mayor de cáncer en la población que reside en las inmediaciones de las minas cercanas a Potosí (Vera R. C. y cols 2024). Los niveles encontrados de estos metales que estarían causando estos trastornos en la población afectada, son mostrados en la tabla 6,
En lo referente a la cuenca baja del rio Pilcomayo, en 2012 Stassen y colaboradores de la universidad de Radboud Nijmegen de los Países Bajos reportaron altos niveles de metales (contaminado por relaves y efluentes de actividades mineras aguas arriba) y sus impactos en la salud reproductiva de los Weenhayek, que viven a lo largo de este río (Tabla 7).
Tabla 7, niveles de Pd y CD en el cabello de miembros de las comunidades Weenhahek
Fuente: Stassen M. y cols. (2012)
Encontraron, en comparación con una población de referencia (los Wichi del rio Bermejo), niveles medios de Pb en el cabello de los Weenhayek de 2 a 5 veces más altos que en la población de referencia, mientras que los niveles de Cd no fueron elevados. En el agua y los peces, los niveles de Pb y Cd fueron más elevadas en el área de Weenhayek, quienes tuvieron una prevalencia más alta de familias pequeñas (OR 2,7; IC del 95 % 1,3-6,0) y retraso en el inicio de la marcha de los niños (OR 2,7; IC del 95 % 1,4-5,1), en comparación con la población de referencia
Como se ve, la cuenca del Pilcomayo recoge la contaminación de la mayor parte de la minería de los Andes bolivianos. Tal hecho ocurre desde la colonia, por lo que se puede estimar que la acumulación de metales tóxicos coincide con los cambios en la biota de este y los demás ríos de la cuenca del Plata. La alta mortalidad de peces se explica por esta causa entre otras, como lo destaca el informe del proyecto de Gestión Integrada y Plan Maestro de la Cuenca del Río Pilcomayo (2005) el cual está "centrado en el desarrollo sostenible de la cuenca y en la mejora de las condiciones de vida de sus habitantes". En este orden, el consumo de pescado de estas fuentes se constituye en un riesgo para la población de otras regiones. Se puede afirmar que, al no existir un control basado en la detección de la presencia de metales en el musculo de los peces por debajo de los limites permisibles, por las entidades encargadas, el estado estaría desprotegiendo la salud de la población en el ámbito preventivo.
Otra de las causas de contaminación en la cuenca alta del rio Pilcomayo es la ruptura de diques de cola, las cuales vienen ocurriendo desde el 1996 con el dique de Porco y han sido estudiadas en su capacidad de contaminación por diversos mecanismos (Menéndez ÁngelNycols.,2014).
Los Drenajes Ácidos de Mina (DAM) son otra fuente importante de contaminación. Un estudio revela que las DAM y colas de los ingenios de la ciudad de Potosí son de mayor impacto que las fuentes previamente conocidas (Strosnider y cols., 2011). En estos fueron encontrados otros elementos (p. ej. Ag, B, Ba, Mo, Sb, Se, Sn, y V) que previamente no fueron determinados y que están siendo vertidos a la parte superior de la cuenca del Rio Pilcomayo en grandes cantidades, que exceden las diferentes normativas de calidad, sanidad humana y ambiental. El conocimiento del impacto de estos elementos, como tierras raras, hacia el medio ambiente y la salud humana es limitado, pero es objeto de estudio en la actualidad Los resultados de este muestreo inicial indican, por otra parte, que la región de Potosí presenta una gran oportunidad para estudiar los elementos de tierras raras y otros metales/metaloides que estarían en concentraciones elevadas en el medio ambiente.
Es de suma importancia que, a la luz de los resultados, se apliquen acciones de remediación para mejorar la calidad de agua. Experimentos recientes muestran la posibilidad de utilizar microorganismos para ejecutar procesos de biolixiviación que permitan precipitar al menos los metales pesados en forma de sulfuros11. También se ha indicado que el cotratamiento pasivo de drenaje ácido de minas con agua residual municipal de la cuidad de Potosí, puede ser una opción de remediación sostenible para la eliminación de muchos de los elementos contaminantes
DISCUSIÓN GENERAL Y CONCLUSIONES
La necesidad de conocer las consecuencias de la contaminación mineral en las diferentes cuencas de Bolivia deriva de la importancia de formular una política integral de cuidado de la salud y el medio ambiente sin afectar los procesos productivos, es decir, diseñar una estrategia coherente de producción minera sostenible.
Evidentemente, Bolivia ha sido desde su fundación un país minero y esencialmente extractivista (que, además de no incorporar conocimiento/valor agregado a su producción, afecta a la salud y al medio ambiente) pero por la escasa magnitud y extensión de la minería, los efectos no eran tan incidentes. En el tiempo presente y ante las perspectivas de desarrollo de este rubro, dada su proyección económica, es necesario tener una imagen real del escenario actual para estimar lo que se avecina en el tiempo futuro. La información relievada permite contar con los elementos necesarios para un diagnóstico que debiera orientar a incidir en reforzar las normas existentes sobre el manejo de las operaciones mineras y adecuar otras en función cuidar todo lo relacionado con la vida, a pesar de las necesidades en la generación de riqueza.
Si bien la sociedad y particularmente las poblaciones afectadas de manera directa no han desarrollado una capacidad para interpelar al Estado en cuanto al control y cumplimento de normas, queda claro que el sector académico vinculado a la salud, a la naturaleza y a la produccón debe asumir de manera interdisciplinaria este papel, que solo es posible si se cuenta con la herramienta del conocimiento. Y este conocimiento está relacionado sobre todo con los daños a la salud de la población que no se expresan en las formas dramáticas de otras patologías agudas (infecciones, accidentes, degeneraciones orgánicas, etc.) pero si con afectaciones que emergen en el tiempo, por lo que , en general, no se las asocia a la contaminación (daños neurológicos y cognitivos, tumores, etc.) y que por tanto la población no les da la importancia necesaria para reclamar por su condición (al contrario, por esto a veces las poblaciones afectadas se incorporan a los procesos productivos, tal es el caso de miembros de las comunidades indígenas que trabajan para las cooperativas mineras del oro). Por otro lado, el conocimiento que incide en la transformación productiva debe ser puesto en mesa para su discusión y para generar la bases para la implementación sistemática de técnicas y procedimientos que atenúen o eliminen la contaminación; tal es el caso de uso de la biotecnología12 y de técnicas físicas y químicas ya validadas en nuestro medio (Bertrán O.C. y Eulate J. N. 2012) para el tratamiento de la aguas acidas de mina, o las técnicas gravimétricas para la recuperación de oro aluvial, etc, etc.( Hinojosa-CarrascoO.2016)
Por todo lo anterior, queda claro que todas las cuencas de Bolivia se encuentran contaminadas, aunque la del Itenez y Mamore sean las menores por el aún escaso florecimiento de actividad minera en su orillas y tributarios. Tal tipo de minería es en general insuficiente en el uso de tecnología tanto para la recuperación como para el cuidado en la emisión de contaminantes. A esto contribuye el hecho de que quienes están a cargo son grupos humanos conformados como cooperativas que escasamente cumplen la función contenida en su definición al momento de su constitución como gremio y agente productivo13(sin finas de lucro). Tal hecho contribuye a sentar la prerrogativas de operar en condiciones de nivel artesanal, lo cual no ocurriría si se constituyeran en sociedades anónimas susceptibles de recibir crédito y tecnología. Todo lo anterior muestra la importancia de reformular las políticas para reconstituir la naturaleza de los actores mineros en el propósito de conseguir que la minería este acorde con las normas vigentes a través de estrategias que, fundamentalmente, incorporen tecnología para el rendimiento y la reducción de emisiones contaminantes, por las consecuencias mencionadas a lo largo del trabajo. En resumen, está claro que los efectos biológicos de la contaminación minera no son objeto del conocimiento de los diferentes actores mineros: productores artesanales, empresas, cooperativas, ni de los afectados, al menos en grado suficiente como para provocar cambios en el comportamiento o en los procesos de extracción. Dicho conocimiento debe ser necesariamente generado por le comunidad académica y puesto en mesa y difundido para tener herramientas utilizables por los afectados para la interpelación al estado, encargado de regular esta situación y proteger a la población. De ahí que trabajos como este, al relievar lo ya estudiado pueden contribuir a inducir cambios, poniendo el mensaje académico en calidad de reiteración y perseverancia hacia los tomadores de decisiones
NOTAS
1 https://definicion.de/relevamiento/
2 El mercurio que ingresa por inhalación es el que está contenido en los vapores generados por la aplicación de calor. El destino de este mercurio metálico son los pulmones, la sangre y el cerebro y se elimina por los riñones. El metilmercurio, que ingresa por vía digestiva, tiene distribución más amplia y atraviesa la barrera hematoencefálica y placentaria. Sus efectos por exposición crónica más importantes son en el sistema nervioso central, de manera mas peligrosa en los niños en los que puede afectar el desarrollo neurológico con efectos en la cognición, la visión, la coordinación y el comportamiento cambios de humor, pérdida de memoria y trastornos mentales. Los efectos en los otros órganos incluyen, neumonitis, dermatitis, ulceras, insuficiencia renal, inmuno-insuficiencia y otros menores.
3 Se asume que la mayor parte del oro aluvional se presenta en partículas diminutas para cuya recuperación hay diferentes procesos físicos y químicos. Sin embargo, el de uso más sencillo y de menor costo es el de la amalgamación con mercurio, motivos por los cuales que se ha intensificado en su uso a pesar de su conocidos efectos tóxicos, tanto en procesadores como en la biota local. Los otros procesos de base físico-mecánica (gravimetría, centrifugación, fundición, etc.) han sido dejados de lado aprovechando la permisividad para el uso del mercurio por parte de quienes debieran proteger la salud y el medioambiente, basados en las normas ambientales y de salud además de tratados internacionales como el convenio de Minamata. Entre los procesos físicos y químicos que han sido diseñados y validados en nuestro medio, en los cuales no existe la utilización de mercurio -o si se utiliza es con recuperación circular-, se encuentran los planteados por el Instituto de Metalurgia y Materiales, de la UMSA y los propuestos por la UTO en Oruro (Hinojosa Carrasco Octavio. 2016)
4 Son frecuentes los reportes orales sobre la volatilización del mercurio efectuada en utensilios de la cocina donde preparan sus alimentos, junto a quien está encargada de esta tara, habitualmente la pareja.
5 Al parecer, no fue considerado este hecho por las autoridades de Salud y de Medio ambiente de Bolivia, quienes, según las organizaciones indígenas del lugar, negaron la contaminación en estos ríos por no haber encontrado cantidades significativas del metal en el agua en tres estudios. https://www.noticiasfides.com/cuidado-de-la-casa-comun/piden-renuncia-de-ministros-de-agua-y-salud-por-negar-que-exista-contaminacion-por-mercurio-en-rios
6 Estudios en curso (CEDIB-SELADIS/UMSA) muestran en sus resultados preliminares la existencia de afectación a la salud en diferentes órganos y sistemas particularmente el hígado y la serie roja en la sangre (comunicación personal).
7 https://www.dw.com/es/el-mercurio-en-los-r%C3%ADos-en-el-mundo-se-ha-duplicado-desde-1850-seg%C3%BAn-estudio/a-72883643
8 https://es.mongabay.com/2016/12/bolivia-mineria-mercurio-contaminacion/#:~:text=Se%20ha%20comprobado%20que%20%C2%ABBolivia,%C2%BB%2C%20seg%C3%BAn%20el%20documento%20cient%C3%ADfico
9 https://www.facebook.com/planetGOLD.Latam/posts/-sab%C3%ADas-que-la-retorta-ayuda-a-una-miner%C3%ADa-m%C3%A1s-responsable-la-retorta-es-una-her/1453210752213676
10 • Extracción de Oro con Uso de Hg = 82,3%,
• Uso de Empastes Dentales = 3,9%,
• Extracción y procesamiento de Gas Natural = 3,5%,
• Uso de Conmutadores Eléctricos = 2,4%,
• Quema al Aire libre de Desechos = 1,3%
11 Desde 1990 en el Instituto SELADIS en colaboración con el Instituto de Metalurgia de la UMSA se desarrollaron procedimientos para tratar las aguas acidas de mina con thiobacillus ferroxidans que fueron aplicado a nivel piloto. No avanzaron al manejo comercial-industrial por lamentables acontecimientos, pero en la actualidad los mismos son parte de protocolos industriales de amplia utilización en el mundo. https://www.universalmicrobes.com/post/thiobacillus-ferrooxidans-transforming-bioremediation-and-industrial-processes
12 https://www.paquesglobal.com/es-es/sectores/tratamiento-de-aguas-para-la-mineria
13 Según la Ley General De Cooperativas N° 356 de 11 de Abril de 2013, el Artículo 4. (DEFINICIÓN DE COOPERATIVA). Es una asociación sin fines de lucro, de personas naturales y/o jurídicas que se asocian voluntariamente, constituyendo cooperativas, fundadas en el trabajo solidario y de cooperación, para satisfacer sus necesidades productivas y de servicios, con estructura y funcionamiento autónomo y democrático
Referencias Bibliográficas
Amaya Jennifer Angel, Cadillo-Quiroz Hinsby, Daxs Coayla. Chan-Mao Chen 2 y. Joshua A. 2025. Landscape controls on water availability limit revegetation after artisanal gold mining in the Peruvian Amazon. Westcommunications earth & environment. A Nature Portfolio journal. 6:419. https://doi.org/10.1038/s43247-025-02332-y [ Links ]
Aparicio Effen Marilyn. 2009. Los riesgos de la contaminación minera y su impacto en los niños. Tinkazos v. 12 n.27. versión On-line ISSN 1990-7451 Ascarrunz María Eugenia (Coord). 2010. Daño genotóxico por contaminación minera en Oruro. Libro PIEB. ISBN: 978-99954-32-91-1
Atwood, A., Ramesh, S., Amaya, J.A. et al. Landscape controls on water availability limit revegetation after artisanal gold mining in the Peruvian Amazon. Commun Earth Environ 6, 419 (2025). https://doi.org/10.1038/s43247-025-02332-y
Beltrán Ortiz Cinda, Jacinto Eulate Napoleón, 2012. Aplicación de microburbujas en la flotación de lodos de tratamiento de aguas acidas de mina. Parte I: neutralización y floculación. Rev. Met. UTO n.31. versión impresa ISSN 2078-5593
Campanini O., Olivera J., Villegas P., Carvajal R., Limachi M. 2025. Evaluación piloto sobre la contaminación minera por mercurio en mujeres de comunidades de las cuencas de los ríos Beni y Madre de Dios. Artículo en revisión para su publicación. Reporte en: https://brujuladigital.net/economia/2023/02/14/oscar-campanini-sobre-el-plan-de-accion-del-mercurio-ha-sido-un-acto-para-congraciarse-con-la-cooperacion-24041
Campanini Oscar. 2022 El negocio del mercurio en Bolivia. Libros Publicaciones de CEDIB. Disponible en: https://www.cedib.org/biblioteca/el-negocio-del-mercurio-en-bolivia/
Chambi Parisaca Lourdes Janneth, Orsag Cespedes Vladimir, Niura. Zurita Amalia. 2017. Evaluación de la presencia de metales pesados en suelos agrícolas y cultivos en tres microcuencas del municipio de Poopó-Bolivia. Revista de Investigación e Innovación Agropecuaria y de Recursos Naturales. 4 (1) pp.67-73. Disponible en:<http://www.scielo.org.bo/scielo .php?script=sci_arttext&pid=S2409-16182017000100009&lng=es&nrm=iso> versión impresa ISSN 2409-1618
Chui Heber N., Roque Bernardo, Huaquisto Edilberto, Sardón Danitza L., Belizario German.. Calatayud Alfredo P. 2021. Metales pesados en truchas arcoíris (Oncorhynchus mykiss) de crianza intensiva de la zona noroeste del lago Titicaca. Rev. Investig. Vet. Perú 32 (3). http://dx.doi.org/10.15381/rivep.v32i3.20398. Disponible en:<http://www.scielo.org.pe/scielo.php?script=sci_artt ext&pid=S1609-.
Coronado Pando Felipe. 2009. Una mirada a tres investigaciones sobre el lago Poopó. Tinkazos v.12 (27) 4. versión On-line ISSN 1990-7451. Disponible en: <http ://www.scielo.org.bo/scielo.php?script=sci_arttext&pid=S1990-74512009000200010&lng=es&nrm=iso>
CPILAP (Central de Pueblos indígenas de La Paz). 2023. Estudio: Contaminación por Mercurio en Comunidades Indígenas Asentadas en los Ríos Madre De Dios y Beni: Una Alerta a La Salud Pública y Derechos de Los Pueblos indígenas frente a la Minería del Oro en Bolivia. Disponible en: https://madretierra.gob.bo/wp-content/uploads/2 024/08/4.-25_Informe-estudio-CPILAP.pdf
Erazo Campos Orlando (Ed.). 1998. PILCOMAYO: Estudios sobre la contaminación. Centro de Estudios Regionales para el Desarrollo de Tarija, CERDET. TARDA, BOLIVIA
Feingold BJ, Berky A, Hsu-Kim H, Rojas Jurado E, Pan WK. Population-based dietary exposure to mercury through fish consumption in the Southern Peruvian Amazon. Environ Res. 2020 Apr;183:108720. doi:10.1016/j.envres.2019.108720. Epub 2019 Sep 7. PMID: 31627842; PMCID: PMC8299663.
Fernández Luis E., Ascorra Guanira Cesar F., Vega Claudia M, Araujo-Flores Julio, Cabanillas France, García-Villacorta Roosevelt, Pillaca-Ortiz Jorge M, Torres Cabrera Marta, Mitchell Carol L., Silman Miles R. 2022. Impactos Ambientales Previstos de la actividad minera aurífera Ilegal en cuerpos de agua de la Amazonía Peruana. Documento de síntesis científica No 1. Disponible en: https://cincia.wfu.edu/wp-content/uploads/2022.03.14_-DSC-1_IMPACTOS-AMBIENTALES-PREVISTOS-ACTIVIDAD-MINERA-ILEGAL-EN-CUERPOS-DE-AGUA-DE-LA-AMAZON%C3%8DA-PERUANA.pdf
García Rada Vania Wendy. 2019. Estudio del alcance de las emisiones de mercurio en peces de la cuenca de la Amazonía boliviana. Tesis de grado para obtener el Grado de Licenciatura en Química, Universidad Mayor de San Andrés. La Paz Bolivia Gestión Integrada y Plan Maestro de la Cuenca del Río Pilcomayo (2005). Disponible en: https://www.pilcomayo.net/media/uploads/biblioteca/libro_964_PP-047.pdf
Hinojosa Carrasco Octavio. 2016. Concentración gravimétrica de menas auríferas. Rev. Met. UTO no.38.pp. 38-50
Hisamisu Ooki, Leader of the Study Team. 1999 Report: The Study on Evaluation of Environmental Impact of Mining Sector in Potosí Prefecture of the Republic of Bolivia Mitsue Co. Japan International Cooperation Agency : Mitsui Mineral Development Engineering Co., Ltd. :
López Siangas Esther Ivonne. 2005 Bioacumulación y Biomagnificación de Mercurio en diferentes Poblaciones de Peces De La Amazonía Boliviana" Tesis Para Obtener El Grado De Magister Of Scientiae. Programa De Posgrado En Ecología Y Conservación, UMSA.LaPaz - Bolivia
Luna Monrroy Selma Ximena, Eric Benefice (tutor). 2007. Exposición a mercurio de mujeres y niños de comunidades indígenas del río Beni (Bolivia), con relación a problemas de salud (malnutrición, parasitismo, anemia) endémicos en el área. Tesis de Maestría en Ciencias Biológicas y Biomédicas, Universidad Mayor de San Andrés. Instituto SELADIS, Laboratorio de Calidad Ambiental, Instituto de Ecología, La Paz Bolivia
Marc Pouilly, Tamara Pérez, Fabiola Guzmán, Pamela Paco, Jean-Louis.. Duprey et Jacques Gardon. 2018 Diagnostico de la contaminación del rio Itenez por mercurio en: Recursos hidrobiológicos de un patrimonio binacional (Bolivia y Brasil). Eds: Van Damme Paul A.,
Maldonado Mabel, Pouilly Marc et. Doria Carolina R.C. Aguas del Iténez o Guaporé. 2018.. IRD editions. ISBN: 978-2-7099-2537-2. DOI: 10.4000/books.irdeditions.18444
Martoredjo I, Calvão Santos LB, Vilhena JCE, Rodrigues ABL, de Almeida A, Sousa Passos CJ, Florentino AC. 2024.Trends in Mercury Contamination Distribution among Human and Animal Populations in the Amazon Region. Toxics. 7;12(3):204. doi: 10.3390/toxics12030204. PMID: 38535937; PMCID: PMC10974390
Maurice-Bourgoin Laurence, Ouiroga Irma. Malm Olaf, y Chincheros Jaime. 1999. Contaminación por Mercurio en agua, peces y cabellos humanos debido a la Minería Aurífera en la Cuenca Amazónica Boliviana. Memorias del Congreso Boliviano de Limnología y Recursos Acuáticos Rev. Bol. de Ecol. 6: 239-246. Disponible en: https://horizon.documentation.ird.fr/exl-doc/pleinstextes/divers21-02/010074681.pdf
Menéndez Ángel N., Sabarots Gerbec Martín,. Kazimierski Leandro D., Badano Nicolás D. 2014. Onda de Contaminación por rotura de Diques de Colas en la Alta Cuenca del Río Pilcomayo. Primer Informe Parcial Comisión Trinacional para el desarrollo de la cuenca del Pilcomayo. Disponible en:https://www.pilcomayo.net/media/uploads/biblioteca/libro_1439302172.pdf
Molina Carlos I y Pouilly Marc. 2014. Niveles de Mercurio en el medio ambiente y en la biota. En el libro: Mercurio en Bolivia: Linea base de usos, emisiones y contaminación. Capítulo V Editor: Ministerio de Relaciones Exteriores & Ministerio de Medio Ambiente y Agua. Pp 78-106.
Molina Carlos I., Ibañez Carla y Gibon Francois-Marie. 2012. Proceso de biomagnificación de metales pesados en un lago hiperhalino (Poopó, Oruro, Bolivia): Posible riesgo en la salud de consumidores. Ecología en Bolivia 47(2): 99-118. ISSN 1605-2528.
Molina Carlos I., Lazzaro Xavier, Guédron Stéphane y Achá Darío. 2017. Contaminación de la Bahía de Cohana, Lago Titicaca (Bolivia): Desafíos y oportunidades para promover su recuperación. Ecología en Bolivia 52(2): 65-76. Septiembre. ISSN 1605-2528
Monroy Mario, Maceda-Veiga Alberto, De Sostoa Adolfo. 2014. Metal concentration in water, sediment and four fish species from Lake Titicaca reveals a large-scale environmental concern. Science of The Total Environment. 487, 15, pp 233-244 OMS/OPS Una Sola Salud (One Health). 2021. Pronunciamiento Internacional. Dispon-ible en: https://www.paho.org/es/una-sola-https://www.paho.org/es/una-sola-salud#:~:text=Su%20objetivo%20es%20equilibrar%20y,trabaje%20con%20sus%20Estados%20Miembros
Peñaloza M.S, Reinhardt I. 2000. Estudio de caso de la minería en el área de la ciudad de Potosí. Fundación MEDMIN. Disponible en : https://www.pilcomayo.net/media/uploads/biblioteca/libro_669_MA-038.pdf
Pouilly Marc y Pérez Tamara, 2008 Inventario Nacional de fuentes de Emisiones de Mercurio en Bolivia, en: Problemática del mercurio Eds.: IRD. Publicación informativa sobre el trabajo de WWF en Bolivia Edición N° 15
Pouilly Marc y. Molina Carlos I A. 2014. Fuentes primarias de mercurio en Bolivia. En el libro: Mercurio en Bolivia: línea base de usos, emisiones y contaminación. Capítulo III Editor: Ministerio de Relaciones Exteriores & Ministerio de Medio Ambiente y Agua. Pp 1-63.
Stassen Marinke J. M., PreekerN. Louise, Ragas Ad J. M., van de Ven Max W. P. M., Smolders Alfons J. P., Roeleveld Nel. 2012. Metal exposure and reproductive disorders in indigenous communities living along the Pilcomayo River, Bolivia. Sci Total Environ. 15:427-428:26-34. doi: 10.1016/j.scitotenv.2012.03.072.
Strosnider William H.J., Llanos Freddy S., Marcillo Cristina E., Callapa Rubén R., Nairn Robert W. 2014. Impacto en afluentes del río Pilcomayo por contaminantes adicionales de drenaje ácido de minas desde Cerro Rico, Potosí-Bolivia. Av. Cien. Ing. 5(3), 1-17. ISSN: 0718-8706. http://www.exeedu.com/publishing.cl/av_cienc_ing/14
Vera Roberto Carlos, Mendoza Mamani Andrea, Canaviri Otalora Elizabeth, Chumacero Villca Jannett, Delgado Janko Isabel, Rossel Moreno Margarita. (2024). Contaminación Minera: Un Riesgo de Salud Pública que Afecta a la Localidad de San Antonio de la Ciudad de Potosí. VERITAS. v. 5 n. 2 https://doi.org/10.61616/rvdc.v5i2.77
Artículo recibido en: 20.08.2025
Artículo aceptado: 03.09.2025













