Servicios Personalizados
Revista
Articulo
Indicadores
-
Citado por SciELO -
Accesos
Links relacionados
-
Similares en
SciELO
Compartir
Investigación & Desarrollo
versión impresa ISSN 1814-6333versión On-line ISSN 2518-4431
Inv. y Des. vol.18 no.2 Cochabamba 2018
DOI: 10.23881/idupbo.018.2-6e
ARTÍCULOS – ECONOMÍA Y EMPRESA
DETERMINANTES DE LA DESERCIÓN ESCOLAR Y EL TRABAJO ADOLESCENTE EN BOLIVIA
DETERMINANTS OF DROPPING-OUT OF SCHOOL AND WORKING AMONGST BOLIVIAN TEENAGERS
Joaquín Morales y Yelussa Vargas*
Universidad Privada Boliviana
*Centro de Generación de Información y Estadística (CEGIE)
Universidad Privada Boliviana
joaquinmorales@lp.upb.edu
(Recibido el 10 de noviembre 2018, aceptado para publicación el 24 de diciembre 2018)
RESUMEN
La investigación explora los determinantes detrás de la decisión de estudiar o de trabajar de los adolescentes bolivianos. Encontramos que, aunque el trabajo adolescente está asociado al abandono escolar, estas categorías no son mutualmente exclusivas; en efecto, existen adolescentes que trabajan y estudian simultáneamente, y adolescentes que no realizan ninguna de las dos actividades. Usando un modelo biprobit, encontramos que la decisión de estudiar o trabajar está fuertemente influenciada por el ingreso, pero también por la educación de los padres, por diferencias en la estructura familiar y por diferencias regionales.
Palabras Clave: Trabajo Adolescente, Deserción Escolar, Modelos Probit Bivariados.
ABSTRACT
This research explores the determinants underlying the choice between studying or working among Bolivian teenagers. We find that, even if teen work is related to dropping out of school, these categories are not mutually exclusive; indeed, there are teenagers that simultaneously work and study, and there are also teenagers that do neither. Using a biprobit model, we find that the choice between work and study is heavily influenced by income, but also by the education of the parents, by differences in the family structure, and by regional differences.
Keywords: Teenage Labour, Teenage Drop-Outs, Bivariate Probit Models.
1. INTRODUCCIÓN
La deserción escolar es sin duda una de las mayores preocupaciones en las ciencias del desarrollo. Estudios recientes estiman que cada año de escolaridad adicional incrementa el ingreso anual de por vida en un 9,7% a nivel mundial, y para América Latina y el Caribe esta cifra sería de 9,3% [1]. La deserción escolar tendría entonces repercusiones a lo largo de la vida e incidiría de manera notable en la prosperidad económica de las naciones. Según la UNESCO, en el año 2016, unos 243 millones de niños en el mundo no estarían escolarizados, y esto afecta desproporcionadamente a adolescentes en edad de escolaridad segundaria: 142 millones de estos jóvenes no escolarizados tendrían entre 13 y 17 años [2].
En Bolivia, el Informe de Desarrollo Humano del Programa de las Naciones Unidas para el Desarrollo revela que, en 2015, 99% de los niños entre 6 y 11 años estaban escolarizados, pero la figura es menos alentadora para los adolescentes entre 12 y 17 años, que estarían escolarizados en un 72% solamente. De manera más preocupante, solo un 58% de los adolescentes habrían concluido con el ciclo de educación secundaria [3].
Es razonable suponer que la deserción escolar afecta desproporcionadamente a los adolescentes ya que estos, o sus familias, pueden valorar más el ingreso asociado al trabajo que los retornos futuros de la educación. En efecto, estimaciones de Muriel y Olivarez [4] indican que, en 2008, el 17% de los niños y niñas entre 5 y 9 años serían trabajadores, y que esta figura se incrementa en 48% para adolescentes entre 14 y 17 años. Modelos influyentes, como el de Galor y Zeira [5] representan la decisión de trabajar o de estudiar como una disyuntiva que depende del ingreso de los padres, los retornos de la educación, la preferencia por el bienestar de los hijos y las restricciones crediticias para financiar la educación (incluido el costo de oportunidad).
Sin embargo, estos modelos simplifican demasiado la decisión de estudiar o trabajar, ya que esta decisión en la realidad no es binaria. Frecuentemente, niños y adolescentes estudian y trabajan al mismo tiempo, y a veces, no realizan ninguna de estas dos actividades. Los llamados ninis, Ni estudia, ni trabaja, han capturado la atención mediática por ser un fenómeno creciente y para el cual las causas no son todavía claras: ¿Se trataría de falta de oportunidades educativas y laborales? ¿o bien de características particulares de la generación afectada?
La disyuntiva entre trabajar y estudiar como una decisión binaria es todavía menos clara en países desarrollados, en los cuales es habitual que adolescentes bien educados tengan un trabajo de verano o fuera de horarios escolares. Por ejemplo, en los Estados Unidos 34% de los adolescentes entre 16 y 19 años participaban en la fuerza laboral en 2014 [6]. Estudios muestran que un trabajo que complemente la educación no solo incrementa los ingresos del adolescente, pero también desarrollan la responsabilidad, la autoestima y los conocimientos empíricos requeridos para una inserción exitosa en el mercado laboral [7]. Por otro lado, en países del sur de Europa hasta 25% de los jóvenes de 15 a 29 años en 2010 fueron calificados como ninis como secuela de la eurocrisis iniciada en 2008 [8]. La relación entre trabajar y estudiar es entonces compleja y no puede ser reducida a una decisión cuyos elementos son mutualmente exclusivos.
En esta investigación, proponemos que una tipología completa del trabajo y estudio adolescente, al explorar los determinantes de caer en una de las cuatro categorías siguientes: (i) trabaja y estudia; (ii) estudia, pero no trabaja; (iii) no estudia, pero trabaja y (iv) ni estudia, ni trabaja. Nos enfocamos en adolescentes bolivianos que tienen entre 12 y 17 años, por la saliencia del problema de la deserción escolar de estos. Buscamos razones económicas, familiares y culturales relacionadas con pertenecer a cada una de estas categorías. Nuestra pregunta de investigación es entonces ¿Cuáles son las características de los adolescentes que determinan la probabilidad de caer en cada una de estas cuatro categorías?
Para analizar tales determinantes, nos valemos de un modelo biprobit, que es capaz de calcular la probabilidad de caer en una de estas cuatro categorías condicionada en características del adolescente, de su hogar y de su entorno. Hacemos uso para esto de la encuesta de hogares 2013 [9], que es suficientemente representativa de las cuatro categorías. Por un lado, esta metodología permite elucidar si la decisión de trabajar o estudiar es una decisión conjunta o independiente, y por otro, permite calcular los efectos marginales asociados a la probabilidad de pertenecer a una de las cuatro categorías, ya que este fenómeno es a todas luces no-lineal. Por ejemplo, es poco probable que el efecto marginal del ingreso sea idéntico para pobres y para ricos. Debemos notar que existe un grave problema de endogeneidad al explorar la relación entre ingreso del hogar y trabajo adolescente, ya que la dirección de la causalidad no es clara. Para aliviar en cierta medida esta dificultad, creamos una medida del ingreso de la familia con el método de análisis en componentes principales (ACP), en la cual las características físicas del domicilio (calidad de la vivienda, acceso a servicios) deberían capturar la varianza del ingreso de largo plazo del hogar de manera independiente del ingreso aportado al hogar por un hijo adolescente al momento de la encuesta.
Este es el primer estudio de este tipo realizado sobre datos de Bolivia. Entre los resultados más destacados de este trabajo, encontramos que la decisión de trabajar y estudiar no es binara. Descubrimos que a medida que aumenta la edad, la probabilidad de solo estudiar disminuye en detrimento de las otras categorías. Encontramos también que los varones, los indígenas, los hermanos mayores, los adolescentes con un solo padre presente en el hogar, y aquellos que viven en el campo tienden más a combinar estudio y trabajo. Como es de esperar, el ingreso tiene un efecto importante y positivo en la probabilidad de solo estudiar, que puede estar potencialmente subestimado por los problemas de endogeneidad discutidos más arriba. Encontramos también importantes diferencias regionales, en las cuales las probabilidades de ser un nini son más fuertes en los llanos, mientras que es más frecuente trabajar y estudiar al mismo tiempo en los valles y en el altiplano. Por último, observamos que la educación de la madre tiene una influencia positiva y significativa en la probabilidad de solo estudiar, controlando por las otras características del hogar, y que este efecto es mucho menor cuando hablamos de la educación del padre.
El resto de este artículo se desarrolla de la siguiente manera: en la segunda sección discutimos la literatura relativa al tema; luego, en la tercera sección explicamos la metodología utilizada; la sección siguiente está dedicada a describir los datos de la encuesta de hogares; luego, en la quinta sección, exponemos los resultados del estudio; la sexta sección expone las conclusiones del estudio.
2. MARCO CONCEPTUAL
2.1 Causas de la Deserción Escolar
El abandono escolar se origina por diversos parámetros que pueden ser tanto forzosos como voluntarios, cuya explicación necesita un examen de aspectos múltiples ya sean sociales, individuales o psicológicos. De acuerdo con Espíndola y León [10], estas causas pueden ser clasificadas en dos grupos según los factores que la componen:
• Causas Extraescolares: Pone énfasis a la situación socioeconómica y al contexto familiar de los niños y jóvenes, como condiciones de pobreza y marginalidad, adscripción laboral temprana, adicciones, entre otros. Atribuye la responsabilidad a agentes de naturaleza extraescolar: el Estado, la comunidad y la familia.
• Causas Intraescolares: Asociadas a las propias deficiencias del sistema educativo. Hace referencia a las situaciones intra-sistema que tornan conflictiva la permanencia de los estudiantes en la escuela, dado un bajo rendimiento, problemas conductuales, autoritarismo docente, entre otros.
Los costos sociales de la deserción escolar no son fáciles de estimar, pero entre ellos se mencionan los que derivan de disponer de una fuerza de trabajo menos competente y su efecto en el menor crecimiento y desarrollo de las economías. De la misma forma, representan un costo social los mayores gastos en los que es necesario incurrir para financiar programas sociales y de transferencias a los sectores que no logran generar recursos propios.
Respecto a los costos privados, estos pueden calcularse sobre la base de una estimación del menor ingreso futuro que obtienen las personas en el mercado de trabajo como consecuencia de completar un número menor de años de estudios. Además, el alumnado desertor abandona su adolescencia e inicia una vida adulta con responsabilidades, para lo cual no están todavía preparados. La deserción puede causar problemas emocionales al sentirse excluidos y discriminados [10].
Evidentemente, una de las principales razones para el abandono escolar es la decisión de trabajar. Desde Becker y Tomes [11] se modela esta disyuntiva como la decisión de invertir recursos en el hijo o la hija que tenga más capacidades para el aprendizaje. Esta disyuntiva es modelada, entre varios otros, por Baland y Robinson [12], Eswaran [13], Basu y Van [14], o Grootaert y Kanbur [15]. En estos modelos se reconoce que la disyuntiva entre escolarizar a los hijos y permitir que acumulen capital humano y recibir ingresos inmediatos provenientes de su trabajo depende de las perspectivas laborales de los hijos educados, del nivel de altruismo de los padres hacia sus hijos, de tasas de descuento intertemporales, del costo de la educación (incluido su costo de oportunidad), de tasas de fertilidad y de imperfecciones en el sector financiero que evitan financiar la educación. Por otro lado, Esrawan [13] muestra que padres que buscan asegurar los cuidados que reciban de sus hijos al ser ancianos preferirán tener familias numerosas y poco educadas, ya que una familia educada y poco numerosa representa más riesgo de abandono. Lopez-Calva [16] modela el efecto de estigmas negativos hacia padres que mantienen a sus hijos no escolarizados, pero muestra que este estigma se atenúa si más personas mantienen a sus hijos fuera del sector educativo.
2.2 El Trabajo AdolescenteDe acuerdo con la Organización Mundial del Trabajo (OIT) el trabajo de los menores es una violación de los derechos humanos fundamentales [17], habiéndose comprobado que entorpece el desarrollo de los jóvenes, y que potencialmente les produce daños físicos y psicológicos para toda la vida. Se ha demostrado que existe un fuerte vínculo entre la pobreza de los hogares y el trabajo de los menores, y que éste perpetúa la pobreza durante generaciones, dejando a los hijos de los pobres fuera de la escuela y limitando sus posibilidades de ascender en la escala social. Baland y Robinson [12] y Grootaert y Kanbur [15] muestran que el trabajo de los menores es socialmente ineficiente, ya que los padres no integran las externalidades asociada a la acumulación del capital humano, aunque tengan motivaciones altruistas, y que relativo a un óptimo social puede haber demasiado trabajo de los menores. Basu [14] agrega una capa de complejidad, explicando que motivaciones altruistas pueden generar equilibrios múltiples, uno ineficiente en el cual trabajan los menores y la competencia hace que los sueldos de todos, incluidos los adultos, sean bajos, y uno eficiente en el cual los menores acumulan capital humano y los adultos tienen mayores ingresos.
Las causas que generan el trabajo infantil pueden ser varias. Kruger, Soares y Berthelon [18] muestran para el caso brasilero que choques de ingreso positivos para la familia inciden en reducir en trabajo de los menores, pero si la remuneración del trabajo adolescente aumenta éstos trabajarán más, creando complejos efectos ingreso y sustitución. Salazar [19], identifica también entre las causas más importantes el factor económico, ligado al nivel de pobreza de las familias, y el factor cultural que tiene gran influencia sobre el niño al momento de decidir participar en el mercado laboral.
(1) Trabajo infantil y pobreza
Existe una relación estrecha y compleja entre el trabajo infantil y la pobreza, además, no parece existir dudas respecto a que las incorporaciones prematuras al mercado laboral mantienen los niveles de pobreza en determinados estratos. De la misma manera, el trabajo infantil se debe principalmente, pero no exclusivamente, al nivel de ingresos de las familias y que contribuye en muchos casos a un estado de pobreza futura de los niños trabajadores. Por consiguiente, la pobreza es un factor necesario para la existencia del trabajo infantil y adolescente, pero no es factor determinante para la aparición y permanencia de este problema.
(2) Factores culturales
En ciertos modelos de producción la familia actúa como bloque, dándose por sobreentendida la colaboración activa de los niños en el proceso productivo. Los padres justifican la vinculación de sus hijos al trabajo aduciendo que en él adquieren otro tipo de capital humano; valores como la responsabilidad, la autonomía y la tenacidad para sobrellevar las dificultades o para soportar sacrificios. Además, se interpreta al trabajo como una protección contra los vicios y el ocio que en teoría conduce a la delincuencia. Para las familias que viven en el área rural, el efecto es reforzado, ya que la educación no siempre se percibe como lo más importante, y se tiende a privilegiar al trabajo dado que éste tiene beneficios inmediatos para la subsistencia de la familia. Un estudio de Erdogan, Jacobsen y Kooreman [20] muestra que los adolescentes que han trabajado mientras estudiaban tenían mejores prospectos laborales y atrasaban el momento de tener sus propios hijos.
2.3 El Fenómeno de los NinisLos Ninis son aquellos jóvenes que no estudian, ni trabajan, ni están en formación. La mayoría de los trabajos categorizan a los ninis con diferentes rangos de edad (OIT de 15 a 29 años [21], Tamesberger, Leitgöb y Bacher de 15 a 24 años [22], Ranzani y Rosati de 15 a 24 años [23], Gladwell, Popli y Tsuchiya de 15 a 18 años [24]). En este estudio nos concentramos en adolescentes que son ninis, restringiendo nuestro estudio a menores de edad, pero extendemos la definición a adolescentes desde los 12 años, para capturar a aquellos que atienden o podrían atender a la educación secundaria que no es de carácter obligatorio en Bolivia. Debe notarse que los estudios previamente citados usan el fin de la obligatoriedad de la educación para definir la edad mínima en la que se contabiliza a los ninis.
Algunas de las características de los ninis, en particular de América Latina, de acuerdo con estudio realizado de Hoyos [25], son que existen más mujeres que hombres que pertenecen a este grupo, debido a factores como el matrimonio a temprana edad y al embarazo adolescente, que en los últimos años se ha ido incrementando. No obstante, son los hombres quienes han representado el mayor incremento del grupo de los ninis; uno de los motivos es el aumento de la participación femenina en el mercado laboral en un momento en el cual la creación de empleos es limitada, por lo cual les resulta más difícil a los hombres conseguir un empleo.
A su vez, el camino más común para convertirse en nini es a través de la deserción escolar a temprana edad con motivo de insertarse en el mercado laboral, lo cual no resulta fácil, debido al poco capital humano acumulado de los adolescentes, ya que, al dejar la escuela antes de terminar la secundaria carecen de habilidades y tienen una formación incompleta.
3. METODOLOGÍA
3.1 El Modelo Probit Bivariado
El modelo biprobit es una extensión en múltiples ecuaciones del modelo de regresión probabilístico, probit, en el que se considera un sistema de ecuaciones cuyos errores están correlacionados. El modelo trabaja con dos variables dependientes latentes, las cuales no se observan directamente, sino que son inferidas a partir de variables binarias observables. Las variables dependientes son dicotómicas y reflejan decisiones individuales de respuestas cerradas. Estas variables son representadas de la siguiente forma:

Especificando los resultados:

Siendo
y
vectores de variables exógenas independientes,
y
vectores de columna de los parámetros y
un término de perturbación. Se tiene:

donde es un supuesto que los términos de error tienen una distribución normal bivariada. La estimación de estos modelos no puede ser realizada mediante Mínimos Cuadrados Ordinarios (MCO) por la no-linealidad del modelo, por lo que se recurre al método de Máximo Verosimilitud.
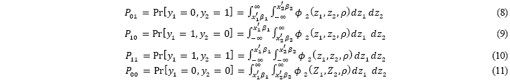
Para establecer el modelo probit bivariado, en el cual se abarque tanto la ecuación (1) y (2), se debe considerar los siguientes cuatro casos posibles.

Por lo tanto, la función de verosimilitud para maximizar es la siguiente:
![]()
Siendo la función de densidad normal bivariada
:
![]()
donde
es el coeficiente de correlación entre las dos ecuaciones. De esta manera, el modelo permite observar la correlación entre las dos variables dependientes y si ésta resulta insignificante, entonces se podría estimar dos modelos probabilísticos independientes. En el caso contrario, se debe usar un modelo probabilístico bivariado.
Por otra parte, al igual que en los modelos binarios convencionales, los coeficientes estimados no cuantifican directamente el incremento en la probabilidad dado un cambio marginal en una variable independiente, por ello es necesario realizar el cálculo independiente de los efectos marginales en un punto. Dado el valor esperado condicional,
![]()
Por los que los efectos marginales son:
![]()
Se opta por usar esta herramienta econométrica por explícitamente calcular la correlación de los términos residuales, permitiendo de esta manera caracterizar explícitamente la disyuntiva entre trabajar o estudiar. El coeficiente estimado
es interpretado de la manera siguiente: si no es estadísticamente diferente de cero, las decisiones de estudiar o trabajar son independientes; si es negativo, entonces existe una disyuntiva entre ambos; y si es positivo, son complementos [26].
Modelos alternativos, como un probit multinomial o condicional con cuatro categorías, no obtienen explícitamente este estadístico. Debe también notarse que la especificación del modelo podría hacerse de manera recursiva, en la cual una de las variables dependientes sea incorporada como regresor en la segunda, como sugerido por Maddala [27]. Esto, sin embargo, implica tomar una decisión sobre la dirección causal de la relación entre trabajo y estudio, lo que escapa del alcance de este estudio. Debe notarse, sin embargo, que especificaciones recursivas que se han tentado otorgan resultados muy similares a los obtenidos en este estudio, sin afectar a las conclusiones principales.
3.2 Análisis en Componentes PrincipalesEn nuestro modelo, la medida del ingreso reportada en la encuesta de hogares presenta un problema de endogeneidad, dado que la participación del adolescente en el mercado laboral depende de los ingresos del hogar y al mismo tiempo éstos están en función al ingreso que trae a casa el adolescente. Para intentar aliviar este problema optamos por construir un índice que capture el ingreso del hogar en las características del domicilio, por ejemplo, el material de la construcción, el acceso a servicios públicos, etc. La idea básica es que, si bien el trabajo adolescente aporta al ingreso del hogar, es poco probable que afecte en gran medida estas características que uno supondría son definidas previamente a la toma de decisión de trabajar del adolescente. No existe una manera de demostrar este supuesto, y no es posible saber si el problema de endogeneidad ha sido totalmente eliminado, pero debería por lo menos ser atenuado por este procedimiento. Por otro lado, si nuestro modelo predice que el ingreso de la familia aumenta la probabilidad de estudiar en vez de trabajar, y que el trabajo adolescente aumenta el ingreso, entonces el coeficiente del ingreso familiar estaría sesgado hacia abajo, subestimando el verdadero efecto.
Para la creación de este índice se utilizó el Análisis de Componentes Principales (PCA, por sus siglas en inglés). Se optó por esta metodología por su versatilidad, notando que según Gower [28], el PCA puede aplicarse con variables dicotómicas.[1] Conforme a Jollife [29], el PCA es un método estadístico cuya idea central es reducir la dimensionalidad de un conjunto de datos que contiene un gran número de variables que están interrelacionadas, al mismo tiempo que se intenta conservar en la medida de lo posible la variación presente en el conjunto de datos [30]. El procedimiento consiste en encontrar vectores ortogonales que minimizan las distancias perpendiculares entre este las rectas generadas por estos vectores y las observaciones, cuya distribución es estandarizada a una media cero y una desviación estándar 1.
La Figura 1 ilustra el caso bivariado. Este método crea nuevas variables, llamadas componentes principales, que capturan la varianza de un conjunto de datos observados a través de una combinación lineal de los datos originales.
Por lo tanto, a pesar de que existen
variables en la base anotadas
una importante correlación entre estos datos a menudo permite reducir la dimensionalidad de la base con una mínima perdida de información. El procedimiento genera
nuevas variables, los componentes principales (PCs), que son combinaciones lineales de los datos originales. Estos componentes no están correlacionados entre ellos, y pueden ser ordenados de manera que los primeros componentes conserven la mayor parte de la variación presente en las variables originales. En este punto, se generaron
componentes principales, tantos como hay variables en la base original. Por lo tanto, el siguiente paso es seleccionar los primeros componentes principales, que conserven una proporción elevada de la varianza acumulada del conjunto de datos original, y descartar aquellos componentes que conservaron poca varianza. Las combinaciones lineales se presentan de la siguiente manera:

Los pesos
, denominados factores de carga, son calculados de manera que los componentes principales
satisfagan las siguientes condiciones: primero, no deben estar correlacionados; segundo, el primer componente principal representa la máxima proporción posible de la varianza del conjunto de
; el segundo componente principal representa el máximo de la varianza restante y así sucesivamente hasta que el último de los componentes principales absorba toda la varianza restante no representada por los componentes anteriores, y tercero, la norma euclidiana del vector de los factores de carga debe ser 1:
![]()
Para encontrar los factores de carga apropiados, el análisis de componentes principales busca los autovalores
de la matriz de covarianza de la muestra (CM)

donde el elemento diagonal
es la varianza de
; y
es la covarianza de las variables
y
. Los autovalores obtienen la matriz diagonal que proyecta las observaciones ortogonalmente, y cada uno de estos autovalores, al ser la representación de la varianza del nuevo sistema, nos indica cuanta varianza es conservada por cada proyección. Los autovectores son encontrados mediante la resolución de la ecuación característica:
![]()
con
la matriz de identidad con el mismo orden que CM y por otro lado,
es el vector de los autovalores.
Finalmente, de acuerdo a Katchova [31] existe la necesidad de retener un número apropiado de factores o componentes basados en el equilibrio entre la simplicidad, que trata de conservar el menor número posible factores, e integridad, que se refiere a explicar la mayor parte de la variación en los datos. La regla de Kaiser recomienda retener únicamente factores con valores propios (λ) que sean superior a la unidad, ya que al haber estandardizado los datos originales, estos factores son más informativos, tienen más varianza, que los datos originales.
4. DATOS
4.1 Fuentes de Información
El presente estudio utiliza como herramienta principal la de la Encuesta de Hogares de Bolivia del año 2013 (EH2013). Esta encuesta es un instrumento del Instituto Nacional de Estadística, la cual proporciona información sobre las condiciones de vida de los hogares a partir de la recolección de información de variables socioeconómicas y demográficas de la población. Ésta es una encuesta transversal en la cual se trabajó con 9,866 hogares seleccionados, con los cuales, una vez procesados los datos, se pudo obtener 35, 693 observaciones y 75 variables. Sin embargo, dado que la población objetivo del estudio son los menores entre 12 a 17 años, se trabajó con 4,514 observaciones ya que, el sujeto de estudio debía estar presente en una de las cuatro categorías determinadas: estudia, trabaja, estudia y trabaja o no realiza ninguna actividad. Elegimos el año 2013 ya que era la base más completa en el momento de la realización del estudio. Si bien las encuestas 2014 y 2015 estaban disponibles, las mismas han sido criticadas por su baja representatividad. Debe notarse que esta encuesta se hace sobre una muestra de hogares, si bien nos interesa el comportamiento individual de los adolescentes que trabajan o estudian. Esto puede introducir sesgos de selección, ya que los adolescentes no son muestreados aleatoriamente; sin embargo, controlamos por características del hogar con la intención de atenuar este sesgo.
4.2 Variables Consideradas
4.2.1 Variables Dependientes:
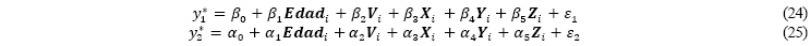
En la especificación del modelo probit bivariado, tenemos dos variables dicotómicas:
que es una variable latente e inobservable que representa la decisión de trabajar; y
que representa la decisión de ir a la escuela. Por lo tanto, la especificación general para un modelo de dos ecuaciones es la siguiente:
![]()
Siendo X el vector de variables exógenas independientes y
la variable aleatoria. Por otra parte,
determina que el sujeto de estudio participa en el mercado laboral y si es 0 que no lo hace; de la misma manera,
denota la asistencia del adolescente o adolescente a la escuela y si es 0 representa la inasistencia escolar.
4.2.2 Variables Independientes:
Estas variables se clasificaron de la siguiente manera, de acuerdo a sus características y de la influencia en la decisión del sujeto de estudio:
• Variables de caracterización del adolescente: se encuentran la edad, para la cual, se creó variables binarias por cada año entre los 12 a 17 años, ya que el efecto es probablemente diferente según el año que se analice; de igual manera, se consideró el sexo del adolescente, la pertenencia del menor a una nación indígena, el número de hermanos y efecto que tiene ser el primer hijo, el segundo y los siguientes en número, ya que pueden existir diferentes tratos según el orden de nacimiento de los mismos. Por ejemplo, es probable que los hermanos mayores tengan mayores responsabilidades en el hogar.
• Variables socioeconómicas del hogar: se incluye una variable que represente a las familias monoparentales, a su vez, se considera si el jefe de familia se encuentra trabajando, la tasa de desempleo del hogar, el número de personas en edad de trabajar en el hogar y la cantidad de personas mayores a 60 años que existe dentro del hogar que forman parte de la familia.
Ingreso Familiar: El ingreso del hogar reportado en la Encuesta de Hogares porque puede estar expuesto a problemas de endogeneidad, por lo tanto, se construyó un índice por el método del Análisis en Componentes Principales (PCA) para obtener un proxy del ingreso familiar, que idealmente captura efectos permanentes y exógenos al ingreso aportado por el adolescente. Las variables que se tomaron en cuenta son las características de la vivienda y los servicios con los que cuenta el hogar, ambos representan una riqueza permanente y cierta calidad de vida, y no deberían ser determinados, por lo menos a corto plazo, por el ingreso del adolescente. Los resultados del PCA se presentan en la Tabla 1. La determinación de cuántos factores se utilizaría para la estimación se basó en el criterio de retener los factores con valores propios iguales o superiores a 1 y el porcentaje de la varianza explicada, que alcanza el 50% y permite una representación de dos dimensiones.
Los factores de carga se muestran en el Figura 2.
El primer componente tiene una interpretación evidente: está asociado a características del domicilio, como la tenencia de un baño, acceso a telecomunicaciones, servicios públicos, y calidad de la construcción. Estas características están sin duda asociadas al ingreso permanente del hogar, pero es difícil argumentar que el trabajo adolescente sea en sí mismo causa de importantes mejoras físicas del domicilio. Reconocemos, sin embargo, que este argumento es intuitivo y no puede ser comprobado empíricamente. El segundo componente contiene menos información, y la interpretación de este no es particularmente útil para los propósitos de este estudio. Por lo tanto, se trabajó sólo con la primera dimensión. Finalmente, se realizó la prueba de medida de adecuación muestral, el cual prueba que sí es juicioso usar el PCA con las variables seleccionadas.
• Variables de las características de los padres: se considera variables respecto a la escolaridad de los padres, analizada de manera separada; y una variable que representa la edad de la madre cuando tuvo a su primer hijo para analizar el efecto de mamás jóvenes en la decisión de sus hijos.
• Variables de las características de la región o comunidad en la que habita el adolescente: se tomó en cuenta si la persona vive en la ciudad o en el área rural, la región en la que se encuentra el adolescente, altiplano, valles o llanos.
4.3 Estadística Descriptiva
Trabajando con la Encuesta de Hogares se analizó las cuatro actividades que realizan los menores sujetos de estudio, entre 12 y 17 años, de un total de 4514 observaciones. Los resultados se encuentran en la Tabla 2 en la que se observa que a medida que los menores aumentan de edad, se reduce el porcentaje de adolescentes que sólo se dedican a estudiar, mientras que se incrementa la cantidad de adolescentes que sólo trabajan al igual que la cantidad de menores que no realizan ninguna de las dos actividades.
Así mismo, la mayor parte de los menores que sólo se dedican a estudiar tienen entre 12 y 13 años, abarcando aproximadamente el 38 % de todos los menores que pertenecen a esta categoría, mientras que la mayor cantidad de adolescentes que sólo trabajan tienen entre 16 y 17 acumulando alrededor del 51% de dicha categoría. Respecto a los menores que se dedican a realizar ambas actividades de manera simultánea la mayor parte tienen entre 13 y 14 años, y el mayor porcentaje de ninis tiene entre 16 y 17 años.
Por otra parte, la Tabla 3 muestra las actividades que realizan los menores de acuerdo a su nivel de pobreza medido en base al ingreso reportado de la familia.
Los adolescentes pueden pertenecer a tres niveles: i) no pobre, se toma en cuenta a las personas que tienen sus necesidades básicas satisfechas o que se encuentran en el umbral de la pobreza; ii) pobreza moderada, se considera a las personas pobres pero que no viven en pobreza extrema; iii) pobreza extrema o también conocida como indigencia, se toma en cuenta a las personas que no disponen de los recursos económicos que les permita poder satisfacer sus necesidades básicas, se encuentran por debajo de la línea de bienestar mínimo y de acuerdo al Banco Mundial tienen un ingreso menor de US$ 1 diario.
Inicialmente, la Tabla 3 muestra que el 59% de los adolescentes que sólo estudian pertenecen al estrato de no pobre, sin embargo, disminuye la cantidad de menores que sólo realizan esta actividad a medida que aumenta su nivel de pobreza. Por otro lado, la mayor cantidad de adolescentes que únicamente trabajan pertenecen a la población que vive en pobreza extrema, lo cual es coherente, dada su situación económica es más difícil para ellos poder tener acceso a la educación. A su vez, el porcentaje más alto de menores que estudian y trabajan al mismo tiempo está en la categoría de no pobre con aproximadamente con el 49%, dato que llama la atención, se esperaría que la mayoría de los menores que realizan ambas actividades se encuentren en la categoría de al menos pobreza moderada, dado su situación económica, se justificaría que tengan que salir en busca de un empleo. Por último, respecto a los ninis se encuentran en mayor parte en la población no pobre.
Desde otra perspectiva, las Figuras 3, 4, 5 y 6 muestran las cuatro actividades que realizan los menores de acuerdo a su género.
En la Figura 3 se muestra el porcentaje de menores que solo se dedican a estudiar; se observa que hasta los 14 años son las mujeres quienes tienen porcentajes más altos de asistencia escolar, a partir de los 15 años son más los hombres que se dedican a estudiar que las mujeres, no obstante, a partir de los 13 años se puede ver una disminución general del porcentaje de menores que solo se dedican a estudiar, lo que quiere decir, que sin importar el género, a medida que los adolescentes incrementan su edad son menos los menores que sólo se dedican a estudiar.
En la Figura 4 se observa los menores que únicamente se dedican a trabajar, el gráfico muestra que en todas las edades excepto en la de 12 años, son más los menores de género masculino que sólo trabajan que las mujeres. Por otra parte, que a medida que los adolescentes hombres aumentan de edad también aumentan el porcentaje de menores que realizan es actividad, mientras que la participación femenina no resulta muy estable no teniendo una tendencia marcada.
La Figura 5 muestra los menores que estudian y trabajan al mismo tiempo; se observa que en general el porcentaje de adolescentes hombres que realiza ambas actividades es mayor al porcentaje de las mujeres, sin embargo, la diferencia no es significativa, dado que, los menores hombres que se encuentran en esta categoría alcanzan el 9,28%, mientras que las mujeres representan el 8,75%. No obstante, a medida que los menores aumentan de edad son menos las mujeres que realizan ambas actividades mientras que la propensión en el caso de los hombres no está determinada. Por otra parte, la Figura 6 muestra los adolescentes que no realizan ninguna actividad, los ninis. Se observa que a partir de los 14 años a medida que los adolescentes incrementan su edad, mayor es la cantidad de ninis. Sin embargo, la cantidad de mujeres ninis es mucho más alto que de los hombres, llegando a doblar los porcentajes
Finalmente, las actividades que realizan los adolescentes conforme al área en el que viven, se muestra en la Tabla 4. Se observa que en el área urbana el porcentaje de menores que sólo estudian es mucho más alto en la ciudad que en el área rural, en el área urbana existe un 30% más de adolescentes que se dedican únicamente a estudiar. No obstante, en ambas áreas al aumentar la edad de los menores disminuye el porcentaje de adolescentes que sólo realizan esta actividad.
Por otra parte, en cuanto a los menores que se dedican solamente a trabajar, de la misma forma que en la primera categoría, hay una gran diferencia entre la ciudad y el campo, en el área urbana el porcentaje de menores que trabaja es pequeño alcanzando alrededor del 2% mientras que en el área rural los menores alcanzan aproximadamente el 9%. Los datos muestran que en las ciudades a medida que la edad de los menores aumenta también lo hace el porcentaje de ellos que participa en el mercado laboral, mientras que, en el campo, no existe una tendencia definida.
Respecto a la tercera categoría, los menores que estudian y trabajan al mismo tiempo se encuentran presentes mayormente en el área rural donde casi un tercio de los menores realizan ambas actividades. Estos datos muestran que la cantidad de menores que trabajan en el campo es elevada, ya que alrededor de un 41% de los adolescentes se encontrarían al menos trabajando, mientras que en las ciudades este porcentaje sólo alcanza el 14%. Esta diferencia se justifica por la inserción temprana al mercado laboral de los adolescentes que viven en el área rural; de igual manera, en el campo existe una mayor permanencia en el trabajo que en el área urbana, ya que, la participación en el mercado laboral en las ciudades comienza a disminuir entre los 50 y 55 años mientras que en el campo esta participación a penas sufre modificaciones, lo que implica que el abandono de la vida activa en el área rural es mucho más tarde que en el área urbana.
Por último, en el caso de los ninis, éstos se encuentran en mayor cantidad en el área rural, doblando el porcentaje del área urbana, lo que quiere decir, que en el campo existe más niños y adolescentes que permanecen inactivos. No obstante, en ambos casos, existe una tendencia al incremento del porcentaje de ninis a medida que los menores aumentan de edad. Comparando con el resto de las categorías, en el área rural los ninis representan la menor cantidad de adolescentes, mientras que en las ciudades hay más ninis que adolescente que sólo trabajan.
5. RESULTADOS
5.1 Estimación Biprobit
Las decisiones de estudiar y de trabajar son analizadas a través del modelo de elección discreta siguiente:
donde
es el vector que contiene los 6 rangos de edad, de 12 a 17 años,
es el vector de características del adolescente,
es el vector de características socioeconómicas del hogar,
es el vector características de los padres,
es el vector de controles geográficos y
la variable aleatoria con
= {1,
, n}. Siendo que
representa la decisión de ir a trabajar y
representa la decisión de estudiar.
Los resultados del modelo se encuentran en la Tabla 5 la cual muestra que se trabajó con 4514 observaciones y que la correlación resulta ser significativa. El coeficiente de correlación (
es negativo, lo que indica que existe una disyuntiva entre las dos elecciones y que estas compiten entre ellas, por lo tanto, no son independientes. Existe una relación negativa entre trabajar y estudiar dado que, determinados factores que aumentan la probabilidad de estudiar disminuyen la probabilidad de trabajar y viceversa. Sin embargo, esta correlación no es perfecta, lo que aclara que estas decisiones no son mutualmente exclusivas.
La mayor parte de las variables son significativas con el 99% de confianza. Para empezar, la Edad resulta significativa en ambos casos, afecta de manera negativa a la probabilidad de trabajar, a medida que se incrementa de edad la probabilidad de no trabajar se va reduciendo, es decir, que a medida que los adolescentes crecen aumenta la probabilidad de que se incorporen al mundo laboral; respecto a la ecuación de estudiar sucede lo contrario, dado que a medida que aumenta los años esta probabilidad va disminuyendo. Por otra parte, pertenecer al género femenino afecta de manera negativa a la probabilidad de trabajar de las menores, pero esta variable no influye en la probabilidad de estudiar. De la misma manera, pertenecer a una nación indígena sólo tiene efecto en la participación en el mercado laboral, esta afecta de manera positiva a la probabilidad de los adolescentes de trabajar, lo cual puede explicarse porque la mayor parte de las personas que pertenecen a una nación indígena viven en el área rural, donde la inserción en el mercado laboral ocurre a temprana edad.
Así mismo, la cantidad de hermanos influye sólo en la probabilidad de trabajar y lo hace de forma positiva, a medida que el adolescente tenga más hermanos, mayor será su probabilidad de trabajar. Por otro lado, el orden de nacimiento tiene un efecto negativo en la participación del menor en el mercado laboral, lo que quiere decir que los hermanos menores tienen una menor probabilidad de trabajar. Respecto al índice de ingreso, que fue construido a través del PCA, es significativo con el 99,9% para ambos casos; este índice presenta resultados robustos a otras medidas de ingreso como el gasto per cápita y el ingreso del jefe de familia. Esta medida muestra que mientras mayor sea el ingreso permanente de la familia, mayor será la probabilidad de estudiar de los hijos, y, por el contrario, al tener más ingresos los hijos no tendrían la necesidad de generar ingresos, por lo que la probabilidad de trabajar es menor.
Analizando el caso de las familias monoparentales, esta variable tiene un efecto positivo y significativo en la probabilidad del menor de trabajar. Por otro lado, el hecho que el jefe de hogar no trabaje, y el número de personas en edad de trabajar en el hogar no tiene efecto en ninguna de las dos actividades. Así mismo, otra de las variables que sólo influye en la probabilidad de trabajar es la tasa de desempleo del hogar, que muestra que a medida que esta tasa aumente, menor será la probabilidad de los adolescentes de trabajar. De igual manera, la cantidad de personas mayores de 60 años presentes en el hogar disminuye la probabilidad del adolescente de estudiar, posiblemente porque los hijos deben dedicarse a su cuidado.
Por otra parte, a partir de las variables que representan las características de la región donde reside el adolescente, se concluye que vivir en la zona urbana afecta de manera negativa a la probabilidad de trabajar del menor, dado que los menores que participan del mercado laboral se encuentran en mayor proporción en el área rural. Al mismo tiempo, vivir en los valles o en el altiplano incrementa las probabilidades de los menores tanto de trabajar como de estudiar en comparación con vivir en los llanos.
Respecto al nivel de educación de los padres; se concluyó que la educación de ambos padres influye de forma negativa en la probabilidad del menor de trabajar, mientras que solo la escolaridad de la madre tiene efecto en la probabilidad de estudiar: mientras más alto sea el nivel de educación de la madre, mayor será la probabilidad del hijo de estudiar. Finalmente, se analizó la edad de la madre cuando tuvo a su primer hijo, mientras mayor sea la edad de la madre en su primer embarazo, más probable será que el adolescente participe del mercado laboral. Este resultado es contraintuitivo, y arroja dudas sobre estereotipos asociados a la maternidad temprana.
5.2 Bondad del Ajuste - El Count
y el Adjusted count
Una vez obtenidos los resultados del biprobit, se probó la bondad del ajuste del modelo para saber cuan bien éste se ajusta al conjunto de observaciones. Las medidas de bondad en general resumen la discrepancia entre los valores observados y los valores predichos por el modelo. La prueba Count R-Squared trata cualquier registro con una probabilidad pronosticada de 0,5 o mayor como tener un resultado predicho de 1 y cualquier registro con una probabilidad predicha menor a 0,5 como tener un resultado predicho de 0; en este sentido, los valores predichos que coinciden con los reales se contabilizan como predicciones correctas, y el estadístico calculado es:
![]()
El count
para el biprobit es de 77%, es decir que este es el porcentaje de resultados correctamente predichos por el modelo. Por otra parte, también se estimó el Adjusted count
el cual mide la proporción de predicciones correctas sustrayendo el número de las realizaciones más frecuentes.
![]()
donde # RMF es el número de realizaciones más frecuentes.
El
toma en cuenta que, sin saber nada de los valores predichos, siempre se podría predecir el resultado más común y estar en lo correcto. En este estudio se obtuvo un
de 36,8 % el cual es admisible dadas las peculiaridades de modelo con el que se trabajó.
En el presente estudio se determinó que trabajar y estudiar son decisiones conjuntas, dado que existe una disyuntiva entre las dos elecciones y que éstas compiten entre ellas, no son independientes, pero tampoco están perfecta y negativamente correlacionadas. Para poder describir el modelo en toda su riqueza, deben ser calculados los efectos marginales que toman en consideración esta correlación y que permiten cuantificar los efectos de cada variable. La tabla 6 presenta los efectos marginales promedio del modelo de decisión discreta bivariado.
Para comenzar, se observa que para las variables correspondientes a la edad en la primera categoría, el menor sólo estudia, mientras más años tenga el adolescente, menos probable será que sólo estudie, siendo la categoría omitida y de referencia el tener 18 años; sin embargo, en las tres categorías restantes, los coeficientes incrementan a medida que aumenta la edad, es decir, a medida que el adolescente crezca mayor será su probabilidad de estudiar y trabajar al mismo tiempo y de no realizar ninguna de las dos actividades, pero sobre todo, existe un mayor efecto en su probabilidad de sólo trabajar.
Por otro lado, ser mujer afecta de manera positiva a la probabilidad de estudiar y de ser un nini, pero su efecto es negativo en la probabilidad de estudiar y trabajar al mismo tiempo, sin embargo, el efecto de esta variable no es muy relevante en ninguna de las categorías. Por su parte, pertenecer a una nación indígena tiene un importante efecto negativo en la probabilidad de sólo estudiar; por el contrario, aumenta la probabilidad de los menores de sólo trabajar, o de estudiar y trabajar al mismo tiempo. Respecto a la cantidad de hermanos del sujeto de estudio, mientras más hermanos tenga, menor será su probabilidad de únicamente estudiar, pero en contraste incrementa su probabilidad de estudiar y trabajar al mismo tiempo. De la misma manera, la variable de orden de nacimiento de los hijos muestra que hay mayores probabilidades de que el adolescente sólo estudie si es el más joven de los hermanos, y por el contrario, los hermanos menores tienen una más baja probabilidad de realizar ambas actividades simultáneamente. Para el resto de las categorías, el orden de nacimiento no tiene ningún efecto significativo.
Respecto a las variables socio-económicas del hogar, el índice de ingreso permanente construido significativo para todos los casos, y como se intuía, los resultados muestran que, a mayores ingresos, mayor es la probabilidad de que el menor se dedique sólo a estudiar y menor la probabilidad que el adolescente trabaje, trabaje y estudie, o sea un nini. Un dato interesante es que, a mayores ingresos, menor es la probabilidad de que el adolescente se convierta en nini; lo que puede explicarse dado que los adolescentes con menores recursos tendrían mayor dificultad de tener acceso a la educación o participar en el mercado laboral, y no porque se incremente la demanda de ocio por estos agentes.
Es interesante explorar efectos no lineales del ingreso en la probabilidad de caer en cada una de las cuatro categorías. Se evaluó el caso en el cual se pasa del primer cuartil del ingreso al segundo: los resultados muestran que pasar del 25% más pobre al ingreso promedio, aumenta la probabilidad de estudiar del adolescente en 5,34% mientras que disminuye la probabilidad de trabajar en 2,27%, la de estudiar y trabajar en 1,6% y la probabilidad de ser nini en 1,43%. De igual manera, se evaluó el caso de pasar de la media al tercer cuartil, en este caso se obtuvo que al pasar del ingreso promedio al 75% más rico aumenta la probabilidad de estudiar del menor en 2,08%, mientras que disminuye la de sólo trabajar en 0,88%, la de estudiar y trabajar en 0,64% y la de ser nini en 0,56%. Por lo tanto, deducimos que el hecho de pasar del 25% más pobre al ingreso promedio tiene un efecto más importante al momento de resolver la disyuntiva entre trabajo y estudio que pasar de la persona promedio al 75% más rico. Este efecto puede explicarse por el hecho que se espera que las primeras ganancias en ingreso sean invertidas en educación, y las personas que se encuentran en el 50% superior, tendrían ya a los adolescentes asistiendo a la escuela por lo que un aumento adicional en el ingreso no va a tener un efecto importante.
Al controlar por el efecto del ingreso, encontramos interesantes efectos asociados a las características propias del hogar que no capturan solo fenómenos económicos. La monoparentalidad y que el jefe del hogar no trabaje tienen un efecto negativo en la probabilidad del menor de sólo estudiar. De la misma forma, ambas variables afectan de manera positiva a la probabilidad de que el menor trabaje y estudie simultáneamente. A nivel de ingreso igual, parece existir un efecto sustitución entre el trabajo de los padres y de los hijos.
Acerca de la tasa de desempleo del hogar, ésta tiene efecto en todas las categorías excepto en la de sólo trabajar. Sin embargo, sorprende el tamaño del efecto positivo de esta variable en la probabilidad de únicamente estudiar. Esto podría explicarse porque si bien la tasa de desempleo en el hogar es alta, los ingresos percibidos pueden ser generados de otras fuentes como remesas y rentas, lo que permitiría a los adolescentes a dedicarse sólo al estudio; o, por otro lado, se podría considerar una familia donde la mayor parte de los miembros se encuentren estudiando, particularmente si son todos menores. Así mismo, mientras más alta sea la tasa de desempleo en el hogar, menor será la probabilidad del menor de trabajar y estudiar al mismo tiempo, y mayor será la probabilidad de convertirse en nini. Es posible que exista algún efecto de imitación, de inercia o que las personas estén desalentadas de manera conjunta en el hogar.
Por otro lado, tener en el hogar mayor número de personas con edad superior a 60 años disminuye la probabilidad del menor de únicamente estudiar y, por el contrario, aumenta la probabilidad de sólo trabajar; esto se explica debido a que las personas mayores ya no pueden aportar al ingreso familiar, convirtiéndose en dependientes de los ingresos de los adolescentes. Interesantemente, las personas mayores a 60 años dentro del hogar afectan de manera positiva la probabilidad de ser ninis, quizás porque al cuidar a los mayores quedándose en casa, los adolescentes no pueden ni trabajar, ni estudiar.
Las variables que representan a las características de la región donde reside el menor muestran que vivir en el área urbana incrementa la probabilidad de los menores de sólo estudiar, y disminuye la probabilidad de sólo trabajar o de estudiar y trabajar al mismo tiempo. Respecto a las variables regionales, vivir en los valles o en el altiplano tiene un fuerte efecto positivo en la probabilidad del menor de trabajar y estudiar al mismo tiempo, disminuyendo la probabilidad de que el menor sólo estudie o que se convierta en nini, en comparación de los menores que residen en los llanos. Por otro lado, residir en el altiplano tiene un efecto negativo en la probabilidad de únicamente trabajar. Por lo tanto, se puede deducir que existe una mayor especialización en la región de los llanos, ya que, los menores estarán estudiando o trabajando, mientras que en el altiplano y los valles se tiene una tendencia a realizar ambas actividades. De igual manera, se deduce que en la región de los llanos existe una mayor tendencia a que los adolescentes se conviertan en ninis.
Por otra parte, sólo la escolaridad de la madre tiene un efecto altamente positivo y significativo en la probabilidad de sólo estudiar, contrapuesto con un efecto negativo en la probabilidad de trabajar o de trabajar y estudiar. Este hecho es interesante, ya que muestra que políticas enfocadas a la educación de las mujeres son capaces de romper con el ciclo intergeneracional de baja educación trabajo adolescente. Por otro lado, el efecto del nivel de educación de la madre es mucho más fuerte que el efecto que tiene la escolaridad del padre.
Finalmente, la variable que representa la edad de la madre cuando tuvo a su primer hijo reduce la probabilidad del menor de sólo estudiar, y tiene un efecto positivo en la probabilidad de que el menor trabaje y estudie al mismo tiempo. Estos resultados son llamativos: el embarazo temprano de la madre, controlando por su nivel de instrucción, no conduciría a una desescolarización temprana del hijo, si no que el efecto es el opuesto. Es posible que madres más maduras consideren que el trabajo es un complemento beneficioso a la educación, pero, sobre todo, es interesante que las madres jóvenes prefieran mantener a sus hijos escolarizados. Quizás esto se explica por sus propias experiencias de vida, pero ciertamente este es un fenómeno que amerita futuras investigaciones.
Los resultados alcanzados son consistentes con los obtenidos en otros países respecto al mismo tema, como se vio en el caso de Chile con el trabajo de Sapelli y Torche [32], el cual resalta que la educación de los padres es muy importante en la decisión del menor; de la misma manera, lo hace el estudio de Cerdas [33] sobre los niños de Costa Rica y el trabajo de Emerson y Portela [34] respecto a los adolescentes en Brasil.
6. CONCLUSIONES
En el presente trabajó se estudiaron los determinantes de la deserción escolar y el trabajo adolescente en Bolivia, con el fin de comprender cómo distintas variables influencian la probabilidad de los menores, entre 12 y 17 años, de estudiar y de participar del mercado laboral. Como primera conclusión, se determinó que es necesario analizar de manera conjunta las decisiones de estudiar y trabajar, dado que se tiene un coeficiente de correlación negativo, indicando que existe una disyuntiva entre las dos decisiones y por lo tanto no son independientes; de esta manera, esta decisión no es binaria, ya que numerosos adolescentes combinan ambas actividades, o no realizan ninguna de ellas.
Por otra parte, los resultados obtenidos muestran que controlando por el efecto ingreso, las características regionales-culturales tienen un fuerte impacto en la toma de decisiones. Se demostró que, en el altiplano, es mucho más probable que el menor se encuentre trabajando y estudiando al mismo tiempo, mientras que existe una tendencia a la especialización en la región de los llanos. Esta diferencia se hace más evidente en la mayor probabilidad que existe en los llanos de que los menores sean ninis en comparación con las otras regiones.
Por otra parte, tomando en cuenta la estructura de la familia y controlado, de igual manera, por el efecto ingreso, la influencia del nivel de educación de los padres es llamativo, pues la escolaridad de la madre tiene un fuerte efecto negativo en la probabilidad de que el menor trabaje y estudie al mismo tiempo, y en la probabilidad de que el menor se convierta en nini; la madre preferiría que el hijo se dedique solamente a estudiar. Esto indicaría que una forma de reducir la deserción escolar y el trabajo adolescente es primero trabajar con la educación de la madre, rompiendo con el ciclo de baja instrucción y trabajo adolescente.
A su vez, es relevante la fuerte incidencia negativa de pertenecer a una nación indígena en la probabilidad de estudiar y su incidencia positiva en ingresar al mercado laboral, esta situación puede explicarse porque en el área rural, donde preponderantemente residen estas personas, el inicio de la vida laboral es a una edad más temprana que en el área urbana.
Finalmente, es importante recalcar que, si bien el crecimiento económico tiene el potencial de reducir el trabajo adolescente, se pueden diseñar políticas públicas enfocadas en acelerar el proceso. Nuestros resultados sugieren que políticas destinadas a incentivar un mayor acceso a la educación de las mujeres, de fomentar la ecuación en el área rural y de resolver problemas de inercia y de trabajadores desanimados en el hogar pueden generar ganancias substanciales en la reducción de la deserción escolar de los adolescentes.
7. BIBLIOGRAFÍA
[1] G. Psacharopoulos y H. A. Patrinos, «Returns to investment in education : a decennial review of the global literature,» Policy Research Working Paper -The World Bank, Washington, 2018.
[2] UNESCO, «Monitoring education participation,» UNESCO AND UNICEF, 2016. [ Links ]
[3] PNUD, «Infrome de desarrollo Humano - El nuevo rostro de Bolivia: Transformación social y metropolización,» PNUD Bolivia, La Paz, 2015.
[4] B. Muriel y G. Olivarez, «NIños trabajadores en el ABC del Desarrollo en Bolivia,» INESAD, La Paz, 2016.
[5] O. Galor y J. Zeira, «Income Distribution and Macroeconomics,» The Review of Economic Studies, Oxford, 1993.
[6] M. Canon, M. Kudlyak y L. Yamg, «Youth Labor Force Participation Continues To Fall, but It Might Be for a Good Reason,» Regional Economist - The St. Louis FED, Saint Louis, 2015.
[7] M. Houshmand, M.-D. Seidel y D. Ma, «The Impact of Adolescent Work in Family Business on Child–Parent Relationships and Psychological Well-Being,» Family Business Review, 2017.
[8] Eurofund, «Exploring the diversity of NEETS: country profile,» European Union, Dublin, 2016. [ Links ]
[9] Instituto Nacional de Estadísticas, «Encuesta de Hogares 2013,» INE, La Paz, 2015. [ Links ]
[10] E. Espíndola y A. Leon, «La deserción escolar en Almérica Latina: un tema prioritario para la agenda regional,» Revista Iberoamericana de Educación, 2002.
[11] G. Becker y N. Tomes, «An Equilibrium Theory of the Distribution of Income and Intergenerational Mobility,» Journal of Political Economy, 1979.
[12] J.-M. Baland y J. Robinson, «Is Child Labor Inefficient?,» journal of political economy, 2000.
[13] M. Eswaran, Fertility, Literacy and the Institution of Child Labor, Univ. British Columbia, 1996.
[14] K. Basu y P. H. Van, «The Economics of Child Labor,» American Economic Review, 1998.
[15] C. Grootaert y R. Kanbur, «“Child Labour: An Economic Perspective,» International Labour Review, 1995.
[16] L. F. López-Calva, «A social stigma model of child labor,» Centro de Estudios Económicos, El Colegio de México , 2005. [ Links ]
[17] Organización Internacional del Trabajo, «Declaración de Brasilia sobre el Trabajo Infantil,» OIT, 2013. [ Links ]
[18] D. Kruger, R. Soares y M. Berthelon, «Household Choices of Child Labor and Schooling: A Simple Model with Application to Brazil,» IZA DISCUSSION PAPER SERIES, 2007.
[19] M. Salazar, «El Trabajo Infantil en América Latina,» p. 6. [ Links ]
[20] Z. Erdogan, J. Jacobsen y P. Kooreman, «Do Babysitters Have More Kids? The Effects of Teenage Work Experiences on Adult Outcomes,» IZA Discussion Paper, 2012.
[21] International Labour Office, «What does NEETs mean and why is the concept so easily misinterpreted?,» Technical Brief, 2015. [ Links ]
[22] D. Tamesberger, H. Leitgöb y J. Bacher, «How to Combat NEET? Evidence from Austria,» ZBW – Leibniz Information Centre for Economics, 2014.
[23] M. Ranzani y F. Rosati, «THE NEET TRAP: a dynamic analysis for Mexico,» Understanding Children’s Work, 2013.
[24] D. Gladwell, G. Popli y A. Tsuchiya, «A Dynamic Analysis of Skill Formation and NEET status,» Sheffield Economic Research Paper Series, 2016.
[25] R. Hoyos, H. Roger y M. Székely, Out of School and Out of Work: Risk and oportunities for Latin America’s ninis, World Bank, 2016.
[26] C. Cameron y P. Trivedi, Microeconometrics methods and applications, Cambridge University Press , 2005.
[27] G. Maddala, Limited-dependent and qualitative variables in econometrics, Cambridge University Press, 1983.
[28] J. Gower, «Some distance properties of latent root and vector methods used in multivariate analysis,» Biometrika, vol. 53, nº 3, 1966.
[29] I. Jolliffe, Principal Component Analysis, 2da ed., New York: Springer, 2002.
[30] Handbook on Constructing Composite Indictors: Methodology and user guide, Organization for Economic Cooperation and Dvelopment, 2008.
[31] A. Katchova, «Principal Component Analysis and Factor Analysis,» 20113. [En línea]. Available: https://drive.google.com/file/d/0BwogTI8d6EEia3NEUVN3UmxDWkE/edit?pref=2&pli=1.
[32] C. Sapelli y A. Torche, «Deserción Escolar y Oferta de Trabajo de los Jóvenes: ¿Dos Caras de un mismo proceso de decisión?,» Pontificia Universidad Católica de Chile, Instituto de Economía. Working Paper No. 173-198, 2003.
[33] A. Cerdas, «Deserción Escolar y Trabajo Infantil en Costa Rica,» Tesis de Maestría, Pontificia Universidad Católica de Chile, 2003. [ Links ]
[34] P. Emerson y A. Portela, «Bargaining over sons and daughters: Child Labor, School Attendance and Intra household Gender Bias in Brazil,» Vanderbilt – Economic and Business Administration. Working paper no. 02-w13, 2001.
[35] E. Yañez, «La oferta y Demanda de Trabajo en Bolivia: Una Revisión Empírica,» 2004. [ Links ]
[36] Y. Seid y S. Gurmu, «The role of birth order in child abour and schooling,» Applied Economics, 2015.
[37] M. Bălan, «Methods to estimate the structure and size of the "neet" youth,» Emerging Markets Queries in Finance and Business , 2015. [ Links ]
NOTAS
[1] Note que se podría emplear también la técnica de Análisis en Múltiples Correspondencias, obteniendo resultados cualitativamente similares.























