Servicios Personalizados
Revista
Articulo
Indicadores
-
Citado por SciELO -
Accesos
Links relacionados
-
Similares en
SciELO
Compartir
Investigación & Desarrollo
versión impresa ISSN 1814-6333versión On-line ISSN 2518-4431
Inv. y Des. vol.18 no.2 Cochabamba 2018
DOI: 10.23881/idupbo.018.2-4e
ARTÍCULOS – ECONOMÍA Y EMPRESA
CARACTERÍSTICAS Y EFECTOS DE LA INNOVACIÓN EN EMPRESAS DE BOLIVIA: UNA APLICACIÓN DEL MODELO CDM
CHARACTERISTICS AND EFFECTS OF INNOVATION IN BOLIVIAN FIRMS: AN APPLICATION OF THE CDM MODEL
Carlos Foronda Rojas
Centro de Investigaciones Económicas y Empresariales (CIEE)
Universidad Privada Boliviana
Programa Doctoral en Economía y Administración
Universidad Privada Boliviana
carlosforonda@lp.upb.edu
(Recibido el 25 de noviembre 2018, aceptado para publicación el 21 de diciembre 2018)
RESUMEN
El estudio realiza una adecuación para Bolivia del modelo desarrollado por Crepon, Duguet, y Mairesse (CDM) en 1998, el cual permite estimar el impacto y los resultados de los esfuerzos en actividades de innovación de las empresas sobre su productividad. Para el estudio se empleó la primera encuesta de innovación realizada en Bolivia a empresas privadas. La metodología y la base de datos empleadas permiten la comparabilidad de los resultados con diferentes países de Latinoamérica. Los resultados muestran que, en Bolivia, la propiedad de una patente, las fuentes de información de mercado y las tecnológicas son determinantes del nivel de inversión en innovación. Los esfuerzos de inversión en innovación tecnológica por empleado permiten incrementar la probabilidad de obtener innovación tecnológica en las empresas de manufactura y servicios. Adicionalmente, los resultados muestran la baja conexión que caracteriza al sistema nacional de innovación. A su vez, la productividad laboral de las empresas se incrementa cuando éstas introducen innovación tecnológica, aunque esta última no es significativa. Finalmente, los resultados muestran la importancia de continuar estudiando la innovación en producto y en proceso por separado para demostrar su relación positiva con la productividad laboral.
Palabras Clave: Innovación, Encuesta de Innovación, Productividad, Políticas de Innovación.
ABSTRACT
This study examines the determinants of technological innovation and its impact on firm labor productivity using micro data from the first innovation survey (2016) in Bolivia. Based on Crepon, Duguet, and Mairesse (CDM) model and in line with the Latin America literature: firms that invest in knowledge are more able to introduce new technological advances and the relationship between technological innovations is positive with labor productivity, but this relationship has no significance in Bolivia. A patent property, market and technological sources of information increase the propensity to invest in innovation activities and encourage innovation investment at the firm level in manufacturing and services. Also, the results illustrate the weak linkages that characterize national innovation systems. Finally, the results highlight the importance to continue studying product and process innovation at the firm level to demonstrate their positive relationship with labor productivity.
Keywords: Innovation, Innovation Survey, Productivity, Innovation Policy.
1. INTRODUCCIÓN
Si la innovación ha sido a lo largo de toda la historia de la economía moderna un factor fundamental para el crecimiento y la competitividad, su relevancia parece ser aún mayor en el actual escenario de intensificación del ritmo de cambio tecnológico y emergencia de todo tipo de nuevas oportunidades de negocios asociados a la masiva difusión de las tecnologías de la información y las comunicaciones (TICs), entre otros.
Latinoamérica ha tenido un desempeño relativamente pobre en innovación, lo cual afectó negativamente su productividad y, en consecuencia, su potencial de crecimiento. En la primera década del milenio, la región mejoró sustancialmente su desempeño macroeconómico, se debe principalmente al boom de precios de materias primas, y no hace desaparecer la necesidad de incrementar los esfuerzos de innovación en sectores directamente vinculadas con recursos naturales como en otros sectores que permitan diversificar la estructura productiva y exportadora [1].
Bolivia no es una excepción en cuanto a la relación entre productividad, crecimiento económico y bienestar de la población. A pesar de ser un país que ha crecido a tasas de aproximadamente 5% durante los últimos 10 años, Bolivia ha experimentado cambios mínimos en cuanto a incrementos de productividad y avances en el área de innovación. Los niveles de inversión en I+D, tanto pública como privada, son bajos comparados con el promedio regional y las inversiones de países desarrollados (se estima que se invierte aproximadamente el 0,16% del PIB en investigación y desarrollo (I+D) frente al promedio regional de 0,65% y el promedio de 2,4% de países miembros de la OECD [2].
El presente trabajo tiene por objeto aportar a la escaza producción de estudios relacionados con lo que ocurre en el ámbito empresarial en términos de innovación y productividad en el país, y servir como un insumo para futuros estudios y diseño de programas de apoyo a la innovación.
El estudio utiliza microdatos de la primera encuesta de innovación en empresas privadas realizada en Bolivia en 2016 por el CEGIE de la UPB, con el financiamiento y apoyo técnico del Banco Interamericano de Desarrollo. Esta encuesta tiene el objetivo de levantar información sobre las prácticas innovadoras implementadas por las empresas, las cuales son un elemento esencial de las estrategias para la mejora de la productividad del sector privado. La metodología de esta encuesta, basada en el Manual de Oslo de la OCDE y Eurostat, facilita la comparabilidad internacional de los indicadores y análisis con foco en los sectores de manufactura y servicios.
El documento tiene la siguiente estructura: en la segunda sección se presenta un marco conceptual, en la tercera sección se tiene una caracterización de la innovación en las empresas de Bolivia, a partir de la encuesta de 2016. En la cuarta sección se presentan la metodología empleada para aplicar el modelo CDM adecuado al contexto latinoamericano. En la siguiente sección se presentan los resultados obtenidos para Bolivia y, finalmente, en la última sección se presentan las conclusiones y recomendaciones.
2. MARCO CONCEPTUAL
La teoría económica y la evidencia empírica sugieren que el crecimiento económico no se basa únicamente en la acumulación de factores (trabajo y capital físico o humano), sino también en el incremento de la productividad de esos factores [3] y [4]. La productividad de las empresas es en gran parte función de su esfuerzo de innovación, incluyendo la adopción de tecnologías ya existentes (a través de bienes de capital, software, licencias, ingeniería reversa, etc.) y los esfuerzos de innovación que las empresas puedan desarrollar (I+D, diseño, marketing, etc.) [5]. Adicionalmente, las vinculaciones que las empresas puedan establecer con otros agentes (proveedores, clientes, casas matrices, universidades, institutos de ciencia y tecnología, etc.) también pueden potenciar su productividad y su capacidad innovativa. Así, la productividad está estrechamente vinculada a la innovación y esta es determinante para el crecimiento de un país, más allá de su impacto sobre el proceso de desarrollo en general, incluyendo los aspectos sociales y ambientales [6].
Suele relacionase a la innovación con la producción de conocimientos nuevos para el mundo, sin embargo, toda incorporación de una nueva tecnología en la empresa, aunque esta ya exista, implica un acto de innovación, esto es particularmente relevante en el contexto latinoamericano [7]. Es común y se hace relevante en países desarrollados y, en especial, en las países en desarrollo: i) la adopción de una tecnología a partir de esfuerzos adaptativos en función de aspectos idiosincráticos del mercado, el marco regulatorio, la geografía, etc. y ii) la innovación incremental que tiene el objetivo de mejorar tecnologías ya existentes, con la condición de que deben ser algo nuevo para la empresa u organización como: universidades, laboratorios tecnológicos, organizaciones escolares o sanitarias, etc. [8].
Las innovaciones pueden asumir diferentes modalidades (producto, proceso, marketing, organización, etc.), y pueden introducirse de forma incorporada (a través de la compra de bienes de capital, equipos, componentes, insumos, etc.) o desincorporada [9]. Esta última puede ocurrir tanto de forma organizada, mediante licencias, asistencia técnica, etc., o no-organizada, por la generación de externalidades o spillovers a partir de los procesos de innovación que realizan las empresas, de los cuales surgen filtraciones que permiten que el conocimiento generado en dichos procesos sea absorbido por otros agentes (vía ingeniería reversa), solicitudes de patentes, movilidad del personal, etc. Para un mayor detalle de estos conceptos en el contexto latinoamericano, se puede ver a Casaburi et al. [10].
Usualmente, las innovaciones no surgen de forma espontánea, sino que son resultado de procesos complejos que van más allá de una relación lineal desde la ciencia a la tecnología y la innovación. Si bien en el pasado, desde el punto de vista de la recolección de datos, esas actividades se reducían a las de investigación y desarrollo, hay una variedad de procesos que pueden conducir a la generación de conocimientos nuevos, incluyendo esfuerzos formales en áreas tales como ingeniería, diseño, marketing, etc., así como los diversos mecanismos de aprendizaje que se generan en el propio sistema productivo (learning by doing, learning by using, learning by interacting, etc.) [1].
El Manual de Oslo (y su correlato latinoamericano, el Manual de Bogotá), apuntan a generar información sistemática y comparable sobre ese tipo de procesos y mecanismos. Así, se puede pensar en una función de producción que conecte ciertas actividades o insumos (actividades de innovación) con determinados resultados (nuevos conocimientos o innovación) como en Griliches [11]. Esta función de producción tiene características especiales, entre otras cosas, porque existe una elevada incertidumbre en el proceso innovativo, de modo tal que no se puede predecir los resultados que se obtendrán a partir de las actividades de innovación [12].Sin embargo, las empresas invierten en esta actividad de resultados inciertos porque cuando la innovación es exitosa tiene retornos elevados, e incluso esos retornos son particularmente altos en los países en desarrollo [12]. El modelo CDM (Crepon, Duguet y Mairesse, 1998) y la adecuación para países de Latinoamérica que realizan Crespi y Zúñiga [7], resumen esta lógica: i) se tiene la decisión de la empresa de invertir o no en actividades de innovación y, en caso de que decida hacerlo, con qué intensidad, ii) se espera que esas actividades permitan la generación de nuevos conocimientos o innovaciones y luego iii) las firmas que introducen innovaciones deberían incrementar su productividad, reducir costos, mejorar la calidad de sus bienes y servicios, lo cual las llevaría a ganar participación de mercado y de ese modo desplazar a empresas no innovadoras.
Múltiples factores pueden afectar a las decisiones de innovación de las empresas [1]. Por un lado, la innovación está sujeta a fallas de mercado (que se originan en la naturaleza de bien público del conocimiento generado, lo que lleva a que una vez producido, pueda ser utilizado por otras empresas competidoras que no participaron del esfuerzo inversor). Estas incluyen a) el problema de apropiabilidad incompleta (que es el fundamento central de la existencia de los derechos de propiedad intelectual, incluidas las patentes), b) los vinculados de acceso al crédito (dada la alta incertidumbre del proceso innovativo y la dificultad de ofrecer colaterales considerando la naturaleza intangible de las actividades y sus resultados), c) la presencia de asimetrías de información (entre innovadores e inversionistas externos sobre la calidad de los proyectos de innovación riesgosos, lo cual se traduce en problemas de acceso al financiamiento) y d) las fallas de coordinación (cuando los procesos de innovación involucran complementariedades entre diversos agentes, en particular público-privados).
En comparación con economías avanzadas, en América Latina y el Caribe existen, además de las fallas mencionadas, algunos problemas específicos, por ejemplo: el reducido tamaño de los mercados, la falta de ingenieros y técnicos especializados y un menor grado de institucionalización [13]. Es decir, las decisiones de las empresas en materia de innovación también dependen de una serie de factores del entorno, algunos de estos son particulares de países en desarrollo: a) la estabilidad macroeconómica e institucional (ya que su ausencia introduce incertidumbre adicional); b) la disponibilidad de capital humano y capital físico (incluyendo la infraestructura, TICs, entre otras); c) el marco regulatorio, incluyendo aspectos vinculados a movilidad de factores, política de comercio exterior e inversión extranjera, defensa de la competencia, trabas burocráticas, ley de quiebras, impuestos al trabajo, etc.; d) la naturaleza y tendencias de la demanda en el mercado; e) la estructura productiva, en función de las oportunidades tecnológicas que existan en distintos sectores [14]; f) el acceso a la base de conocimiento previo (doméstico y extranjero).
Como se mencionó, la productividad depende de múltiples factores, Crespi y Zúñiga (2012) muestran, a partir de evidencia empírica en países de Latinoamérica, una mayor inversión en innovación, en combinación con el desarrollo de actividades complementarias, como las tecnologías de la información y la comunicación y la capacitación, puede contribuir a acortar las brechas de productividad que separan a la región latinoamericana de los países desarrollados.
Estos aspectos justifican la intervención pública y pensar el tema desde el punto de vista de la idea de sistemas nacionales de innovación. En este sentido, es importante tener en cuenta:
En primer lugar, si bien en una economía de mercado se necesita que los retornos de la innovación puedan ser apropiados privadamente (a través de medios legales como patentes, marcas, derechos de autor, etc., o comerciales como llegar primero al mercado, secreto, capacidades complementarias, etc.), la base de las políticas de apoyo a la ciencia y tecnología es que la innovación genera derrames que benefician a la sociedad en su conjunto, es decir, los retornos sociales que producen esas actividades superan a los beneficios que puedan ser apropiados individualmente [15] y [5]. En segundo lugar, la existencia de fallas de mercado abre un espacio para la adopción de diversos tipos de instrumentos que contribuyan a resolver o reducir el peso de los problemas de acceso al crédito y la información tecnológica o de mercado, las fallas de coordinación, etc. Finalmente, si bien la empresa es el principal locus de la innovación en las economías de mercado, la empresa no innova en aislamiento, sino que interactúa con diferentes agentes externos, incluyendo otras empresas (proveedoras, clientes, etc.), así como organizaciones vinculadas a la ciencia y la tecnología (universidades, laboratorios, institutos de investigación, etc.). El concepto de sistema nacional de innovación recoge este hecho, y resalta que el desempeño tecnológico de un país depende de cómo los distintos actores involucrados en los procesos de innovación se relacionan como elementos de un sistema colectivo de creación y uso de conocimiento [16] y [17].
3. CARACTERÍSTICAS DE LA INNOVACIÓN EN EMPRESAS DE BOLIVIA
Como primer paso para estudiar el efecto de la innovación sobre la productividad de las empresas del país, se presenta la fuente de información que se utiliza como base del estudio (Encuesta de Innovación Empresarial en Bolivia, 2016). Luego, se presentan las características generales de las actividades de innovación que realizan las empresas en Bolivia y los resultados de éstas. Adicionalmente, se describen los obstáculos que enfrentan las empresas para realizar actividades de innovación, así como la vinculación de las empresas con el sistema de innovación en el país. Finalmente, se describe la productividad laboral.
En el año 2016, se realizó la primera encuesta de innovación en empresas privadas de Bolivia basada en el Manual de Oslo de la Organización para la Cooperación y el Desarrollo Económico (OCDE) y Eurostat (OECD/Eurostat, 2005). La encuesta permite generar indicadores de calidad y análisis cuantitativo que facilita la comprensión del comportamiento innovador de empresas en el país y así provee la información necesaria para formular y evaluar políticas en materia de innovación, ciencia y tecnología. La encuesta considera un período de tres años[1], que comprende las actividades empresariales de 2013, 2014 y 2015. El marco muestral de la encuesta proviene del Directorio de FUNDEMPRESA (institución dependiente del Ministerio de Planificación) que elabora y actualiza el registro de empresas oficial del país.
La base de datos está compuesta por 547 empresas, sin embargo, en el presente estudio se consideran únicamente 431 empresas que son las que corresponden a los sectores de manufactura o servicios y que cuentan con todas las observaciones en cada variable utilizada[2]. La muestra seleccionada corresponde a empresas privadas formales de los departamentos de La Paz (26%), Cochabamba (38%) y Santa Cruz (36%) y representan el 70% de las empresas formales pequeñas, medianas y grandes[3] del país. De la cuales aproximadamente 66% son pequeñas, 16% medianas y 18% grandes. La muestra analizada considera los sectores de manufactura (63%) y Servicios Empresariales Intensivos en Conocimiento (KIBS, por sus siglas en inglés) (37%). La mayor parte de las empresas no tienen un carácter exportador (90%) y su propiedad es conformada principalmente por capital nacional (94%), como se observa en la tabla a continuación.
En cuanto a las actividades de innovación, en Bolivia (empleando la definición amplia de innovación[4]), se tiene que el 60% de las empresas de la muestra realizaron al menos una actividad de innovación entre 2013 y 2015. En este período las empresas invirtieron en actividades de innovación relacionadas, sobre todo, con la adquisición de bienes de capital y actividades de capacitación y, en menor proporción, en transferencia de tecnología e I+D externa.
Por un lado, los esfuerzos de innovación de las empresas bolivianas tienen una composición muy similar a la de sus pares de la región [7]. Como se observa en la Tabla 2, aproximadamente el 41% de las empresas adquirió máquinas y equipos (adquisición de bienes de capital) como la actividad de innovación más frecuente, seguida de actividades que requieren mayor participación de capital humano, como la capacitación (25%), la adquisición de TICs (software 24% y hardware 16%) y la I+D interna (16%)[5]. Las empresas invierten menos en actividades de ingeniería y diseño industrial (11%), estudios de mercado (8%) y transferencia de tecnología (6%). A su vez, la contratación de actividades de investigación externa, son las actividades de innovación menos frecuentes en las empresas (4%).
Por otro lado, la inversión de las empresas en actividades de innovación en el período 2013-2015 fue en promedio de 40 millones de USD. La inversión promedio de cada empresa en Bolivia en actividades de innovación entre 2013 y 2015 fue de 388 mil USD, que representa un 4,3% de las ventas de las empresas en promedio[6]. La intensidad de los esfuerzos de innovación (Gasto en actividades de innovación) muestra que, en promedio, el 48% del gasto en innovación de las empresas se destinó a la adquisición de máquinas y equipos (bienes de capital), seguido de gasto en adquisición de software y hardware (19%), en capacitación (12%) y la I+D interna (9%). Las empresas gastan en menor proporción en actividades de ingeniería y diseño industrial (5%), transferencia de tecnología (3%) estudios de mercado (2%). Resalta que el gasto en actividades de investigación externa es el menor (2%).
Los resultados de la innovación se pueden clasificar en innovaciones tecnológicas y no tecnológicas. Entre las innovaciones tecnológicas están las innovaciones en producto o proceso y entre las innovaciones no tecnológicas se encuentran las innovaciones en organización o comercialización[7]. En Bolivia, 49% de las empresas realiza innovaciones tecnológicas. El 40% de las empresas introdujo un bien o servicio nuevo o significativamente mejorado, y 27% incorporó un proceso nuevo o significativamente mejorado.
Como se observa en la Tabla 3, los resultados de las innovaciones tecnológicas fueron, sobre todo, novedosas para la empresa (74%), en menor proporción para el país (24%) y en menor medida lo fueron para el mundo (menos de 2%). Estos resultados de innovación pueden parecer altos (nuevo para la empresa y nuevo para el país). Sin embargo, el nivel de sofisticación de la producción de bienes y servicios de las empresas en el país es bajo y, por tanto, con niveles bajos de inversión se pueden obtener resultados considerables en cuanto a innovación, sobre todo en las empresas de mayor tamaño [18].
La forma de protección de propiedad intelectual más empleada por las empresas en Bolivia fue la obtención de una marca (23,6%), seguida por la patente (9,9%) y en menor medida por el derecho de autor, diseño industrial y modelo de utilidad (con 2,9%, 2% y 1,8% respectivamente).
La encuesta de innovación de Bolivia también permite realizar un análisis de los obstáculos financieros y no financieros a la innovación en las empresas (en la decisión, la intensidad y los resultados de la innovación). En este sentido, se pueden clasificar a los factores que obstaculizar o impiden el desarrollo de actividades de innovación en cuatro categorías: i) de mercado, ii) de conocimiento, iii) de costo/financiero y iv) otros. En las empresas de Bolivia se percibe que, durante el período 2013 2015, los obstáculos a la innovación de mayor importancia tienen que ver con el costo/financiero (52%) como son los riesgos económicos excesivos[8]. También son relevantes los obstáculos de conocimiento (50.58%) como la escasez de personal calificado y las dificultades para encontrar socios de cooperación para la innovación. Los obstáculos de mercado (49.42%) como la facilidad de imitar la innovación y el reducido tamaño de mercado. En menor medida se consideran otros factores como la insuficiente flexibilidad de los reglamentos y normas.
Los datos de la encuesta, también permiten analizar algunas características de la vinculación entre las empresas y el sistema de innovación a partir de diferentes dimensiones: uso de fuentes de información y vinculación con otros agentes. Las fuentes de información utilizadas para desarrollar las actividades de innovación pueden dividirse en cuatro categorías: i) fuentes internas a la empresa, ii) fuentes de mercado, iii) fuentes tecnológicas y; iv) otras fuentes.
Por un lado, para el desarrollo de las actividades de innovación durante el período analizado, las empresas utilizaron, mayormente, las fuentes de información de mercado (39%), sobre todo aquellas que provienen de clientes o proveedores, sin restar importancia a las que provienen de competidores o consultores, también son consideradas relevantes las fuentes internas (37%) como la casa matriz o en áreas de la misma empresa como I+D, marketing, producción, distribución, administración, finanzas y sistemas. Luego, las empresas consideraron otras fuentes de información (27%) como las páginas en internet o el sector público. En menor medida, son consideradas como fuentes de información a las tecnológicas (8%), es así como se observa una baja participación de laboratorios comerciales o institutos de I+D, universidades o centros de enseñanza superior, institutos de investigación públicos, lugares desde donde debería provenir la mayor parte del conocimiento para la innovación.
Por otro lado, las vinculaciones que llevaron a cabo las empresas con agentes o instituciones tuvieron como objetivos más frecuentes la solicitud de información (49%), la capacitación (40%) y la asistencia técnica (37%) mientras que las actividades colaborativas de I+D fueron las menos buscadas (1%) (Tabla 4). De forma complementaria, se observa que el 40% de las vinculaciones de las empresas se formalizó de manera escrita.
Finalmente, en la Tabla 5, se presenta la productividad laboral de las empresas (medida como el log de ventas anualizadas promedio por trabajador). Los datos muestran que las empresas en Cochabamba y La Paz tienen una mayor productividad laboral que en empresas de Santa Cruz.
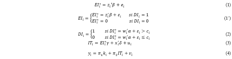
4. EL MODELO
El modelo a emplear para estudiar los efectos de la inversión en innovación sobre la productividad laboral se basa en la adecuación para países de Latinoamérica que realizan Crespi y Zúñiga [7] del modelo desarrollado por Crepon, Duguet, y Mairesse (CDM) en 1998. El mismo permite estimar el impacto de los esfuerzos y los resultados de las actividades de innovación que realizan las empresas con el objetivo de innovar, sobre la productividad de estas.
4.1 Especificaciones del Modelo
Formalmente, el modelo CDM es un sistema de cuatro ecuaciones estructurales que se resuelven de forma recursiva, la metodología empleada permite corregir el sesgo de selección que surge cuando se analiza únicamente a las empresas que innovan, y los problemas de endogeneidad que surgen entre los esfuerzos, los resultados y los impactos de las actividades de innovación. El modelo tiene las siguientes ecuaciones: i) la primera describe la intensidad de la innovación (el nivel de gasto en innovación), ii) la segunda describe la decisión de la empresa de realizar esfuerzos para innovar, es decir la propensión a innovar, iii) la tercera especifica la función de producción de conocimiento o innovaciones, en la que la intensidad de la innovación es considerada como uno de sus determinantes y, iv) la cuarta es la función de producción de la empresa, donde el conocimiento se considera como un insumo complementario al resto de factores productivos y permite explicar la productividad laboral.
Las ecuaciones del modelo se presentan a continuación:

El subíndice i representa a la empresa para
. La primera ecuación denota los esfuerzos de innovación de las empresas, donde
es una variable latente no observable y
un vector de determinantes de los esfuerzos de innovación,
un vector de parámetros para los determinantes de interés y
un término de error. Podemos considerar el Esfuerzo de Innovación de las empresas
como el gasto en innovación de las empresas por trabajador
, solo si se tiene la certeza que las empresas realizan y reportan esos gastos. Sin embargo, al no tener la certeza, se corre el riesgo de tener un sesgo de selección. En este sentido, se estima la ecuación de selección (1) que describe si las empresas deciden realizar los esfuerzos de innovación y/o reportarlos.
Para solucionar el problema, se asume la ecuación de selección (2) que describe si una empresa decide realizar y/o reportar inversiones en innovación.
es la variable endógena de decisión de innovación. Esta es una variable dicotómica igual a uno para empresas que invierten en actividades de innovación e igual a cero para empresas que no lo hacen;
es la variable latente correspondiente, donde la empresa que decide invertir y reportar la inversión se encuentra por encima de un umbral c. Adicionalmente, se tienen que w es un vector de variables que explican la decisión de inversión en innovación,
un vector de parámetros de interés y
un término de error.
Condicional a que la empresa i esté comprometida en actividades de innovación, se puede observar la cantidad de recursos invertidos en actividades de innovación (EI) (ecuación 1).
Asumiendo que los términos de error
y
se distribuyen de forma normal bivariada con media cero, varianza
,
y correlación
, se estima el sistema de ecuaciones (1) y (2) como un modelo Tobit generalizado.
La ecuación (3) del modelo se conoce como la función de producción de conocimientos (resultados de la innovación). IT es el resultado de la Innovación Tecnológica (introducción de un producto o proceso nuevo, o significativamente mejorado, a nivel de la empresa), donde el esfuerzo de innovación latente
ingresa como una variable explicativa,
es el vector de determinantes de la producción de conocimiento, y
son vectores de los parámetros de interés, con
como término de error.
La ecuación 4 relaciona la innovación con la productividad laboral. Se asume que la empresa utiliza una tecnología de producción de tipo Cobb-Douglas, con trabajo, capital y conocimiento como insumos de producción, donde
es la productividad laboral (logaritmo de las ventas por trabajador) y se emplea una variable proxy para el capital denominada
, que es la inversión física por trabajador (logaritmo del capital físico por trabajador), e
ingresa como variable explicativa que permite observar la relación entre la innovación tecnológica y la productividad laboral de las empresas.
4.2 Estrategia de Implementación Empírica
Se emplea la estrategia implementada por Crespi y Zuñiga [7], la cual permite realizar comparaciones entre Bolivia y otros países de la región. Sin embargo, al momento de analizar los resultados es importante tener en cuenta las particularidades de los datos en cada país. Con el fin de mantener la comparabilidad, además de emplear el modelo CDM, se eligieron empresas de los sectores de manufactura y servicios, así como similares definiciones y creación de las variables empleadas.
Si bien el modelo tendría mayor riqueza con una estimación de un sistema de ecuaciones estructurales de forma recursiva, por la disponibilidad de datos, se eligió una estimación secuencial en tres etapas siguiendo a Crespi y Zuñiga [7] y Angelelli, Luna, y Vargas [19]. En la primera etapa, se estima la decisión de invertir (o no) en actividades de innovación que, posteriormente, permite estimar y corregir el sesgo de selección de la ecuación del nivel de gasto en innovación que realizan las empresas (intensidad de la innovación) a partir de un modelo Tobit generalizado.
En la segunda etapa, se estima la relación que existe entre el nivel de inversión en innovación (valor estimado en la primera etapa) y la probabilidad de innovar a partir de un modelo Probit. La ventaja de emplear la estimación del nivel de inversión en innovación en la etapa anterior es que permite obtener el valor del nivel de inversión para todas las empresas de la muestra, independientemente de si reportaron el monto de inversión o no. Esta estrategia no sólo resuelve el problema de las empresas que no registran sus inversiones en la encuesta por ser de carácter discontinuo e informal o porque las consideran poco significativas por ser menores, sino que también corrige el potencial problema de endogeneidad de la ecuación de producción de conocimiento[9].
En la última etapa, se estima la productividad laboral explicada por la probabilidad de innovación (valor estimado en la segunda etapa), lo que permite corregir la endogeneidad que genera
.
En el presente estudio, inicialmente se busca estimar el impacto de las inversiones en la probabilidad de introducir innovaciones tecnológicas, sin embargo, a futuro se puede estimar por separado la innovación en producto o proceso. De la misma forma, a futuro, se puede realizar la estimación por separado para tener los efectos de los resultados de la innovación (en producto o en proceso) y la productividad laboral.
Para el análisis se estimaron las diferentes etapas del modelo empleando el mismo número de observaciones (431 empresas). Es decir, se estimó el modelo solo para empresas que tenían datos en todas las variables.
4.3 Las Variables Empleadas
Al adoptar la definición amplia de innovación, la variable decisión de inversión en innovación incluye todas aquellas actividades que la empresa ha realizado con el objetivo de innovar (siendo 1 si la empresa invierte en alguna de las actividades de innovación y 0 si no lo hace). De esta forma, la variable de intensidad de la inversión en innovación se determina a partir del logaritmo del monto total invertido en todas las actividades, dividido por la cantidad de empleados (promedio en el período).
La decisión de una empresa de invertir en innovación está determinada por un conjunto de características relacionadas con las capacidades de la empresa, siendo aquellas que se consideran como variables dicotómicas: la condición de empresa exportadora (exporta), si la estructura propietaria tiene capital extranjero (propiedad extranjera) y si tiene patentes vigentes (patente vigente). Para la ecuación de intensidad de la innovación se consideran adicionalmente: si la empresa recibe cooperación para realizar actividades de ingeniería y diseño; e investigación y desarrollo (cooperación en I+D), si la empresa utilizó algún programa público de apoyo a la empresa o al emprendimiento (apoyo público) y las fuentes de información, si la empresa le da alta importancia a fuentes de información del mercado como ser proveedores, clientes, competidores u otras empresas de su sector y consultores (fuentes de información de mercado), si la empresa le da alta importancia a fuentes de información tecnológicas (fuentes de información tecnológicas) y/o si la empresa le da alta importancia a fuentes de información al interior de la empresa, casa matriz u otras empresas del grupo (fuentes de información internas).
También se controla por el tamaño de la empresa (a partir del logaritmo del personal promedio anualizado) y tres variables dicotómicas para la ciudad en la que se encuentra (La Paz, Cochabamba o Santa Cruz, siendo la ciudad de Santa Cruz la base de comparación)
Adicionalmente, en todas las ecuaciones, se controla por características inobservadas de la industria incluyendo un conjunto de variables dicotómicas (Sector económico) que indican si la empresa realiza una actividad manufacturera de baja, media-baja, media-alta o alta tecnología, servicios intensivos en conocimiento, u otros servicios, según la clasificación OECD [20] y [21] a partir de los códigos a dos dígitos del clasificador CIIU rev4.
Dado que la encuesta no proporciona el stock de capital de las empresas, esta variable se aproxima utilizando el nivel de inversión en capital físico promedio, por empleado, durante el período estudiado (Inversión en capital por empleado). Con el objetivo de determinar el impacto de la innovación en la productividad, se incorporó el valor predicho de la probabilidad de innovar de la sección anterior, así como una variable dicotómica que indica si la empresa introdujo innovaciones no-tecnológicas en el período (Innovación no tecnológica), con el fin de considerar también los eventuales beneficios de estas actividades en la productividad.
5. ANÁLISIS DE RESULTADOS
En la Tabla 6 se presentan los resultados de las estimaciones de las ecuaciones (1) y (2) que especifican los determinantes de la probabilidad de realizar actividades de innovación y la intensidad de esta.
Se cuenta con evidencia de que la participación de las empresas en los mercados internacionales influye en las decisiones de innovar, asumiendo que los mercados internacionales (economías más desarrolladas) son más competitivos y pueden permitir a las empresas locales una mayor relación con nuevas tecnologías [7]. Sin embargo, en Bolivia, el hecho de que una empresa exporte no permite explicar la probabilidad de invertir en actividades de innovación en empresas del sector de manufactura y servicios. El hecho de exportar, tampoco es significativo al explicar la intensidad en innovación.
De la misma forma, la presencia de capital extranjero en las empresas no es significativo para explicar la decisión, ni la intensidad de la innovación. A partir de estos resultados se deben considerar tres aspectos sugeridos por Navarro et al. [22], Raffo et al. [23], y Crespi y Zuñiga [7]. En términos generales, i) en los países con rezago tecnológico, las empresas con capital extranjero rara vez invierten en I+D local si el tamaño del mercado no es suficientemente grande como para justificar los costos fijos de la I+D, ii) las empresas con capital extranjero no suelen invertir en I+D en países de Latinoamérica ya que su actividad está enfocada en la explotación de recursos naturales, ahorros en costos laborales y uso de activos tecnológicos de sus sedes [22] y, iii) si realizan cualquier tipo de actividad tecnológica, se enfocan frecuentemente en adaptar productos al mercado local (con baja necesidad de realizar inversiones en I+D).
Se esperaría que la propiedad de patentes denote la capacidad de la empresa de generar nuevos conocimientos. Por ello, se incluye una variable que indica si la empresa posee patentes vigentes en algún mercado (local o internacional). En Bolivia, tener una patente vigente tiene efectos significativos en la intensidad de la inversión en innovación. Se debe tener en cuenta que el 10% de las empresas de la muestra empleada en el modelo (44 empresas) tienen patentes vigentes entre 2013 y 2015.
Considerando el tamaño de la empresa, se entiende que las empresas más grandes tienen menores restricciones en el acceso a financiamiento y a otro tipo de recursos y cuentan con mayores oportunidades para capitalizar los beneficios derivados de la creación de conocimiento [24]. Sin embargo, en Bolivia no se observa una relación significativa entre tamaño y la decisión de inversión, este efecto se observa en cierta forma en Raffo, Lhuilleryb, y Miottia [23] para empresas pequeñas y medianas en México y Brasil.
En países industrializados los esfuerzos en cooperación en innovación (I+D o ingeniería/diseño) son complementarios a la inversión en innovación [25] y [9]. En Bolivia, menos del 2% de empresas están involucradas en actividades de Cooperación en I+D, lo que puede explicar la ausencia de significancia.
Existen resultados que sugieren el alto impacto de las políticas públicas que permiten financiamiento a los esfuerzos de innovación de las empresas [23]. En Bolivia, si bien las áreas de CTI y desarrollo productivo han sido incluidas como prioritarias en los planes estratégicos del actual gobierno, el marco actual de políticas de ciencia, tecnología e innovación es aún incipiente. Es así como, en el país, el apoyo público a las empresas para innovar aún es muy bajo o inexistente. En este sentido, no es un determinante de la intensidad de innovación.
En la ecuación de intensidad de innovación, los resultados de dos de las tres variables relacionadas con fuentes de información (fuentes de información de mercado y fuentes de información tecnológicas), están significativamente relacionadas con altos niveles de inversión en innovación. En general, la significancia de las fuentes de información refleja el intercambio de conocimiento entre actores de los sistemas de innovación y también pueden reflejar un indicio de la capacidad de las empresas de tomar ventaja del conocimiento disponible (a pesar de la débil capacidad interna de I+D).
Por las características de la actividad productiva en cada región del país, se controla por el Departamento donde se encuentra la empresa (La Paz, Cochabamba o Santa Cruz). En este sentido, se observa que la probabilidad de decisión de inversión en innovación se incrementa en las empresas que se encuentran en La Paz o Cochabamba respecto a las que están en Santa Cruz. Esto podría dar cuenta de una innovación de menor intensidad en esta última por el carácter extensivo de su producción.
Luego, se estimó el impacto de la inversión en innovación en la probabilidad de obtener innovación tecnológica (la innovación tecnológica es una variable dicotómica con valor 1 si la empresa innovó y 0 en el caso contrario), en este caso se empleó el valor estimado de la intensidad de inversión en innovación obtenido en la etapa anterior (ecuación (3), la función de producción de conocimiento). Los resultados se presentan en la Tabla 7.
Como se esperaba, el efecto marginal para la intensidad de innovación es estadísticamente significativo. Es decir, los esfuerzos de inversión en innovación tecnológica por empleado permiten incrementar la probabilidad de obtener innovación en producto o en proceso en las empresas de manufactura y servicios. Por otro lado, la magnitud de este efecto es baja. Por un incremento de 10% en la inversión en innovación, la probabilidad de introducir una innovación tecnológica se incrementa en 2,4% en manufactura y servicios. Los efectos marginales obtenidos para países de Latinoamérica en Angelelli, Luna, y Vargas [19] y Crespi y Zuñiga [7] varían considerablemente entre países. El promedio de los países de Latinoamérica es aproximadamente 5%.
También fueron considerados los efectos directos en la probabilidad de introducir una innovación tecnológica que tienen las variables relacionadas al tamaño, la orientación exportadora de las empresas y la participación de capital extranjero. Según los resultados, el tamaño de la empresa es significativo para introducir innovación tecnológica en empresas de manufactura y servicios, en este sentido, las empresas más grandes tienden a innovar con mayor frecuencia.
Con respecto a la propiedad extranjera y el carácter exportador de la empresa, en general, los resultados muestran que no son significativos o no tienen efecto positivo para explicar la probabilidad de innovación tecnológica. De forma similar ocurre en países de Latinoamérica [19] y [7]. Como se explicó previamente, estos resultados se deben considerar con cuidado y se pueden deber al carácter exportador de materias primas y reducido mercado de las economías de la región.
En Cochabamba, la probabilidad de introducir innovación tecnológica y en producto es menor respecto a Santa Cruz en empresas de manufactura y servicios.
La base de datos para Bolivia permite obtener cuatro tipos de resultados de innovaciones (producto, proceso, comercialización y organizacional). En el presente documento, se busca estimar únicamente el impacto de las inversiones en la probabilidad de introducir innovaciones tecnológicas, sin embargo, a futuro se puede estimar por separado la innovación en producto o proceso.
Por último, se estimó la productividad laboral (medida como ventas, en moneda local, por empleado), como una función del número de trabajadores de la empresa y de los niveles de capital por empleado (ecuación 4), los resultados se encuentran en la Tabla 8.
Si bien, los coeficientes obtenidos muestran una relación positiva de la innovación tecnológica con la productividad laboral para empresas de manufactura y servicios, la innovación tecnológica por sí misma no es significativa para explicar la productividad laboral. Sin embargo, Navarro, Llisterri, y Zuñiga [22] encuentran que, en países en desarrollo como los países de Latinoamérica, las innovaciones en proceso son más frecuentes que en producto y esto parece tener relación con la preponderancia de la inversión en bienes de capital y maquinaria. Queda pendiente continuar explorando los resultados a partir de estimaciones separadas de innovación en producto y de innovación en proceso, como se realizó en Paraguay [19].
En la regresión también se controló por tamaño de la empresa, esta variable resulta significativa. Sin embargo, el signo negativo es contraintuitivo. La explicación puede estar relacionada con el resultado no significativo obtenida entre tamaño de la empresa y decisión de inversión.
También se introduce la innovación no tecnológica (está es una variable dicotómica que indica si la empresa introdujo innovación en organización o comercialización). En Bolivia, la innovación no tecnológica no es significativa para explicar la productividad laboral.
Por último, las empresas en Bolivia que más invirtieron en capital fijo por trabajador presentaron mayores niveles de productividad. Una empresa que invierte en capital fijo por trabajador aumenta su productividad laboral de forma significativa, entre 38% y 41%.
6. CONCLUSIONES
El presente estudio se basa en la adecuación para países de Latinoamérica que realizan Crespi y Zúñiga [7] al modelo desarrollado por Crepon, Duguet, y Mairesse (CDM) en 1998. Este modelo permite estimar el impacto de los esfuerzos y los resultados de las actividades de innovación que realizan las empresas sobre su productividad. La metodología empleada permite corregir el sesgo de selección que surge cuando se analiza únicamente a las empresas que innovan, así como los problemas de endogeneidad que surgen entre los esfuerzos, los resultados y los impactos de las actividades de innovación.
Para el estudio se empleó una encuesta de innovación (basada en el Manual de Oslo) realizada en 2016 en Bolivia en empresas privadas, siendo éste el primer intento de medir la productividad y la innovación de las empresas en el país con una metodología comparable internacionalmente[10]. Teniendo en cuenta las limitaciones que existen en la disponibilidad de información de CTI, la metodología y la base de datos empleadas, con algunas consideraciones, permiten realizar comparaciones de resultados con diferentes países de Latinoamérica.
El proceso de innovación tiene como principal tarea el intercambio de conocimiento dentro de un sistema nacional de innovación. Las principales fuentes de información que las empresas utilizaron en este periodo para el desarrollo de las actividades de innovación fueron de mercado (39%), seguidas de las fuentes de información internas (37%), otro tipo de fuentes (27%) y en menor medida las fuentes de información tecnológicas (8%).
Cuando se estudian datos por departamento, se observa una mayor probabilidad en la decisión de innovar y en el nivel de inversión en las empresas de La Paz y Cochabamba respecto a las de Santa Cruz. Por otro lado, un resultado que llama la atención es el hecho de que exportar y la propiedad extranjera de la empresa no sean significativos al explicar la decisión y la intensidad en innovación. Como se mencionó, este resultado podría explicarse por el hecho de que las empresas en Bolivia están orientadas a la exportación de materias primas, y no suelen invertir en actividades de innovación complejas como la I+D, ya que suelen emplear tecnología de sus casas matrices [22].
Los principales resultados de la innovación son las innovaciones tecnológicas (en productos y en procesos). El 40% de las empresas introdujo un bien o servicio nuevo o significativamente mejorado y 27% incorporó un proceso nuevo o significativamente mejorado. Los resultados de las innovaciones tecnológicas fueron, sobre todo, novedosas para la empresa (74%), en menor proporción novedosas en el país (24%) y muy pocas lo para el mundo (menos de 2%).
Los resultados muestran que la innovación tecnológica por sí misma no es significativa para explicar la productividad laboral de las empresas. Sin embargo, Navarro, Llisterri, y Zuñiga [22] encuentran que, en países de Latinoamérica, las innovaciones en proceso son más frecuentes que en producto y esto parece tener relación con la preponderancia de la inversión en bienes de capital y maquinaria, en este sentido recomienda continuar explorando los resultados a partir de estimaciones separadas de innovación en producto y de innovación en proceso, lo que permitiría comprender cuales de estas invocaciones son las que están generando mayor productividad (por ejemplo, en Paraguay la innovación tecnológica como tal no es significativa, sin embargo, la innovación en proceso tiene efecto sobre la productividad laboral [19]).
Se tiene que el 60% de las empresas en Bolivia realizaron al menos una actividad de innovación entre 2013 y 2015, aunque menos del 2% realizan actividades de I&D externa. El 41% de las inversiones en actividades de innovación de las empresas se destinaron a la adquisición de bienes de capital. En este sentido, las empresas en Bolivia están, en términos generales, lejos de la frontera tecnológica. La imitación o la adquisición de tecnología son los medios para paliar sus limitaciones. Estas limitaciones combinadas con un frágil clima de negocios hacen que las empresas consideren a la innovación lejos de sus posibilidades [7]. En este sentido, existe un amplio margen para el desarrollo de políticas públicas orientadas al desarrollo de la CTI.
Es evidente que en Bolivia el esfuerzo innovador, así como los resultados de dichos esfuerzos son débiles. Asimismo, las vinculaciones dentro del sistema nacional de innovación son poco densas, tanto entre sector privado, academia y gobierno, como dentro del propio sector privado, por ejemplo: a) las empresas consideran, en menor medida, como fuentes de información las fuentes tecnológicas (8%) como laboratorios comerciales o institutos de I+D, universidades o centros de enseñanza superior, institutos de investigación públicos, lugares desde donde debería provenir la mayor parte del conocimiento para la innovación, y b) las vinculaciones que llevaron a cabo las empresas con agentes o instituciones tuvieron como objetivos más frecuentes la solicitud de información (49%), la capacitación (40%) y la asistencia técnica (37%) mientras que las actividades colaborativas de I+D fueron las menos buscadas (1%).
Si bien desde el sector público se han definido políticas que apuntan a incrementar el esfuerzo innovador y las vinculaciones, los datos obtenidos sugieren que hay bastante por avanzar en esta materia, tanto atacando condicionantes estructurales del desempeño innovativo (por ejemplo, educación) como apuntando a una mejor focalización de los esfuerzos que motiven a las empresas a asumir los riesgos de innovar.
Para poder ser exitosos en el diseño y evaluación de nuevas intervenciones de políticas de apoyo a la innovación será necesario continuar con ejercicios periódicos de levantamiento de información estadística que ayuden a cuantificar y calificar la actividad empresarial. El diseño de la encuesta de innovación para Bolivia permite el análisis de diferentes temas relacionados con la CTI, por ejemplo, i) las actividades de innovación que realiza la empresa, ii) las fuentes de financiamiento con las que cuenta, iii) los resultados de las actividades de innovación, iv) el acceso a protección y derechos de propiedad intelectual, v) los obstáculos financieros y no financieros que enfrentan, vi) las fuentes de información y vinculaciones, y vii) la información sobre los recursos humanos en la empresa.
Uno de los problemas con los que se suelen encontrar las autoridades a la hora de diseñar políticas en el área de innovación, es la falta de datos. Este estudio intenta dar un primer paso en cuanto a llenar este vacío en el área de innovación. En este sentido, aún quedan por explorar con mayor profundidad indicadores, metodologías, aproximaciones sectoriales, estudios de caso y otros temas relacionados a la CTI. El presente estudio espera servir para abrir la puerta a futuras investigaciones sobre los efectos de la innovación en las empresas del país y su productividad.
7. BIBLIOGRAFÍA
[1] P. Angelleli, G. Crespi, D. Aboal, A. Lopez, M. Vairo y F. Pareschi, «Innovación en Uruguay: Diagnóstico y propuestas de polítoca,» Fundación ASTUR, Uruguay, 2014.
[2] RICYT, «Indicadores de insumos,» 2009. [ Links ]
[3] W. Easterly y R. Levine, «Its not factor accumulation: stylized facts and growth models,» Documento de Trabajo N° 164. ed., Banco Central de Chile, 2002.
[4] C. Syverson, «What Determines Productivity?,» Journal of Economic Literature, p. 326–365, 2011.
[5] B. Hall, «The Private and Social Returns to Research and Development,» Smith, B.L.R, Bar eld, C.E., Washington DC, 2011.
[6] B. Cassiman y R. Veugelers, «R&D cooperation and spillovers: some empirical evidence from Belgium,» The American Economic Review, 2002.
[7] G. Crespi y P. Zuniga, «Innovation and Productivity: Evidence from Six Latin American Countries,» World Development, vol. 40, pp. 273-290, 2012.
[8] C. Dahlman y R. Nelson, «Social absorption capability, national innovation systems and economic development,» de Koo, B., Perkins, D. (Eds.), Social Capability and Long-Term Economic Growth., Macmillan, London, 1995.
[9] OECD, «Innovation in Firms: A Microeconomic Perspective,» Organization for Economic Cooperation and Development, Paris, France, 2009. [ Links ]
[10 Casaburi, G.; Crespi, G.; De León, I.; Fernández, j.; Figal, L.; Grazzi, L.; Guaipatín, C.; Katz, J.; Llisterri, J.; Maffioli, A.; Navarro, J.; Olivari, J.; Pietrobelli, C.; Suaznábar, C.; Vargas, F., «La política de innovación en América Latina y el Caribe: Nuevos caminos,» Banco Interamericano de Desarrollo, 2016. [ Links ]
[11] Z. Griliches, «Issues in Assessing the Contribution of R&D to Productivity Growth,» The- Bell Journal of Economics 10 , pp. 92-116, 1979.
[12] D. Lederman y W. Maloney, «R&D and development,» World Bank Policy Research Working Paper, 2003.
[13] BID, «¿Cómo repensar el desarrollo productivo?: Políticas e instituciones sólidas para la transformación económica.,» 2014. [ Links ]
[14] A. K. Klevorick, R. C. Levin, R. R. Nelson y S. G. Winter, «On the sources and signi cance of interindustry di erences in technological opportunities,» Research policy, pp. 185-205, 1995.
[15] R. Nelson, «The Simple Economics of Basic Scienti c Research.,» Journal of Political Economy 49, pp. 297-306., 1959.
[16] B. Lundvall, «National Systems of Innovation: Towards a Theory of Innovation and Interactive Learning,» Pinter Publishers, London, 1992.
[17] C. Edquist, «Systems of Innovation,» Frances Pinter,, London, 1997.
[18] BID, «Innovación y productividad en las empresas en América Latina y el Caribe: el motor del desarrollo económico.,» 2016. [ Links ]
[19] P. Angelelli, F. Luna y F. Vargas, «Características, determinantes e impacto de la innovación en las empresas paraguayas,» Banco Interamericano de Desarrollo, 2016.
[20] OECD, «Science, Technology, and Industry Scoreboard 2013,» Paris: OECD, 2013.
[21] OECD, «Science, Technology, and Industry Scoreboard 2014,» Paris: OECD, 2014.
[22] J. Navarro, J. Llisterri y P. Zuñiga, «The Importance of Ideas: Innovation and Productivity in Latin America,» de The Age of Productivity: Transforming Economies From the Bottom Up, Inter-American Development Bank/Palgrave-McMillan., 2010.
[23] J. Raffo, S. Lhuilleryb y L. Miottia, «Northern and southern innovativity a comparison across European and Latin American countries,» European Journal of Development Research, vol. 20, nº 2, pp. 219-239, 2008.
[24] Cohen, W. ; Levinthal, D., «Absorptive Capacity : A New Perspective on Learning and Innovation.,» de Administrative Science Quarterly, vol. 1, 1990, pp. 128-52.
[25] Veugelers,R. ; Cassiman, B., «“Make and Buy in Innovation Strategies: Evidence from Belgian Manufacturing Firms",» Research Policy, pp. 63-80, 1999.
[26] B. Crepon, E. Duguet y J. Mairesse, «Research, innovation and productivity: an econometric analysis at the firm level,» Economics of Innovation and New Technology, 1998.
[27] G. Crespi, E. Tacsir y F. Vargas, «Innovation dynamics and productivity Evidence for Latin America,» UNU-MERIT, 2015.
[28] G. Pellegrino y M. Savona, «No money, no honey? Financial versus knowledge and demand constraints on innovation,» de Research Policy: Policy and management studies of science , technology and innovation, vol. 46, 2017, pp. 510-521.
[29] Pellegrino, G.; Savona, M., «No money, no honey? Financial versus knowledge and demand constraints on innovation,» Res. Policy, 2016. [ Links ]
[30] Bond, S; Harhoff, D;, «Investments, R&D and Financial Constraints in Britain and Germany,» Working Paper W99/05., London, 1999.
[31] Hottenrott, H; Peters, B;, «Innovative capability and financing constraints for innovation: more money, more innovation?,» de Review of Economics and Statistics, vol. 94, 2012, p. 1126–42..
[32] B. H. Hall, «The Financing of Innovation,» de Handbook of Technology and Innovation Management, S. Shane, Ed., Oxford, Blackwell Publishers, 2008, p. 409–430.
[33] B. H. Hall, «The financing of research and development,» de Policy, Oxford Review of Economic, vol. 18, 2002, pp. 35-51.
[34] Alvarez, R; Crespi, G A, «Heterogeneous effects of financial constraints on innovation: Evidence from Chile, Science and Public Policy,» de Oxford University Press, vol. 42, 2015, pp. 711-724.
[35] Clausen, T.; Pohjola, M.; Sapprasert, K.; Verspagen., B.;, «Innovation strategies as a source of persistent innovation,» de Industrial and Corporate Change, vol. 21, 2012, pp. 553-85.
[36] Griffith, R. et al, «“Innovation and Productivity across Four European Countries.”,» Oxford Review of Economic Policy, pp. 483-498., 2006.
[37] Ministerio de Educación, «Plna Nacional de Ciencia, Tecnología e Innovación,» Viceministerio de Ciencia y Tecnología, La Paz, 2013.
[38] Ministerio de Autonomías, «Agenda Patriótica 2025,» Unidad de Comunicación - Ministerio de Autonomías, La Paz, 2013. [ Links ]
[39] Ministerio de Desarrollo Productivo y Economía Plural, «365 Días de Revolución Productiva,» Unidad de Comunicación Social, Dirección General de Planificación, La Paz, 2016. [ Links ]
[40] Asamblea Nacional Constituyente, «Plan Nacional de Desarrollo,» Ministerio de Planificación y Desarrollo, La Paz, 2007. [ Links ]
[41] B. Hall, J. Mairesse y P. Mohnen, «Measuring the Returns to R & D,» Annals of Economics and Statistics, p. 341–381, 2010.
[42] C. Guillard y M. Salazar, «La experiencia en Encuestas de Innovación de algunos países latinoamericanos. El Estado de La Ciencia 2017. RICyT/OEI,» 2017.
NOTAS
[1] Con el fin de contar con información periódica está previsto que la encuesta se realice cada tres años, se tiene programado el siguiente levantamiento de información el año 2019 y comprenderá el período 2016 a 2018.
[2] Se verificó que el hecho de excluir las observaciones sin información no genere diferencias significativas entre los promedios de las variables relevantes.
[3] El tamaño de la empresa se define por el número de trabajadores, siendo: pequeñas entre 5 y 20 trabajadores, medianas entre 21 y 50 trabajadores, y grandes entre 51 y más trabajadores.
[4] Se utiliza la definición amplia de innovación: todas aquellas inversiones en actividades que la empresa realiza con el objetivo de lograr la introducción al mercado de un bien o servicio, nuevo o significativamente mejorado, o la implementación de un proceso, nuevo o significativamente mejorado. Son consideradas actividades de innovación: i) actividades de I+D internas, ii) actividades de I+D externas, iii) adquisición de bienes de capital; iv) adquisición de hardware; v) adquisición de software; vi) adquisición de tecnología desincorporada; vii) consultorías y asistencia técnica; viii) actividades de ingeniería y diseño industrial; ix) capacitación; y x) estudios de mercado.
[5] Aunque existen pocas empresas que realizaron inversión en I+D interna, estas cifras son superiores a las encontradas en otros países de Latinoamérica (por ejemplo, Paraguay).
[6] Para Paraguay fue de 3,9% en 2012, lo cual es superior al promedio de Uruguay (0,9%) o de Argentina (1,36%).
[7] Innovación tecnológica: Cuando se logra la introducción en el mercado de un bien o servicio, nuevo o significativamente mejorado, o la implementación de un proceso, nuevo o significativamente mejorado. Innovación no tecnológica: Cuando se logra la incorporación de nuevas prácticas de negocio en la empresa, implementar nuevos métodos de organizar el trabajo o de organizar las relaciones externas con otras empresas o instituciones públicas (organización). Cuando se logra cambios significativos en diseño o empaque, implementar nuevos medios o técnicas de promoción, incorporar nuevos canales de venta o métodos de posicionamiento, o implementar nuevos métodos de establecimiento de precios (comercialización).
[8] Por los objetivos de la encuesta, esta fue realizada al Gerente General, Gerente Operativo o Gerente Financiero/Administrativo, es decir, un representante de la empresa que tenga poder de decisión y buen conocimiento de las políticas, estrategias, etc. de la empresa.
[9] Debido a que en las ecuaciones 3 y 4 se utilizan valores estimados y no los observados, se corrigen los errores estándar empleando bootstrap.
[10] Algunas sugerencias para futuras encuestas que permitan una fuente de información periódica y estudios más profundos de CTI, se debe: a) realizar una actualización previa del directorio de FUNDEMPRESA con el fin de tener mayor éxito en la selección de la muestra, b) definir una estrategia que asegure que las definiciones complejas de los temas relacionados a la innovación sean bien comprendidas por los encuestados, c) se debe definir una estrategia que permita obtener mayor información sobre ventas e inversiones (que generan susceptibilidad en las empresas encuestadas), d) se deben adecuar las preguntas de empleo en función a las características del empleo en el país (se debe diferenciar entre el empleo permanente y eventual), entre otras.





















