Introducción
Estudios previos han reflejado que durante la década de los 90’s, la economía ilegal de las drogas representaba el 7% del PIB en Bolivia; 4% para Colombia y por debajo del 0.5% del PIB para el caso de México y Perú respectivamente (Rocha, 2001; 2000); asimismo, otras estimaciones han estimado la participación del narcotráfico en Bolivia cercana al 8% del PIB (2016), según la Unidad de Investigación Financiera (UIF s/f), dependiente del gobierno de Bolivia, o su equivalente alrededor de 2500 millones de USD por año.
La discusión en la legalización de las drogas centra la atención en la dicotomía de su implementación: beneficios económicos, costos sociales, efectos desplazamientos sobre otros sectores e industrias, así como el grado de efectividad en la lucha contra el narcotráfico, entre otros tópicos (Keul & Eisenhauer, 2019; Walker, 2007).
En tal sentido, la legalización de las drogas es una temática que puede direccionarse como una política orientada a la reactivación económica después de una crisis económica en un contexto post-pandemia Coronavirus 2019 (COVID-19). Ante ello, existió una afectación integral a escala mundial, a nivel macro y microeconómico, con períodos de confinamiento, contagios y muertes. Las consecuencias se vieron afectadas en más de 200 países, en sus respectivos niveles de consumo, inversión, producción, déficit fiscal cercana a los dos dígitos y aumento del desempleo, mencionando otras implicaciones adversas para el comercio internacional, turismo, cadenas logísticas y volatilidad en mercados financieros internacionales (Ashraf, 2020; Ahmad et al, 2020).
De forma contraria, se considera que sólo 12 países lograron aumento del PIB real en lugar de recesión; se destacan los países con las mayores tasas de crecimiento estimada para el 2020: Etiopia (+6.1%), India (+4%) y Bangladesh (+3.8%) (Bloomberg, 2021).
En efecto, el contexto COVID-19 conllevo al aumento de la incertidumbre económica global (Baker et al, 2020, Altig et al, 2020; Leduc & Liu, 2020) y una contracción esperada a nivel mundial esperada oscila en torno al -3.3%; -6% para América Latina, hasta niveles que superan al -10% para ciertas economías (e.g. Perú, Panamá), así como para economía avanzadas (e.g. Reino Unido y España) (McKibbin & Fernando, 2020; Bloomberg, 2021). Para el caso de la economía boliviana se estima un efecto negativo en el orden del -8.8% del PIB real relacionado con la pandemia.
Por otra parte, los mayores cuestionamientos en la legalización de las drogas se vinculan si su formalización y el consumo se restringen o disminuyen cuando los precios de las drogas suben, si existe una correlación positiva con otras sustancias, como el consumo de las bebidas alcohólicas y el tabaco, así como los efectos esperados en la introducción de una legalización (Clements & Zhao, 2009). En consecuencia, la discusión de las drogas se vincula con el consumo, el precio y los efectos de la legalización respectiva.
De igual forma, existe controversia en la aplicación de las políticas públicas de legalización de drogas. Por un lado, se tienen beneficios económicos como mejoras en el nivel de la actividad económica a nivel general: producción agregada, nivel de empleo, fomento al turismo y generación de divisas, interpretado como una oportunidad para los gobiernos en mecanismo de recaudación tributaria adicional (Hansen, Miller, & Weber, 2020a; Wright, 2019). De forma opuesta, se tienen posiciones contrarias en incrementar la tasa de drogadicción de la sociedad como principal costo social de oportunidad (Marie & Zölitz, 2017; Pacula et al, 2015).
Por otra parte, se concibe a la legalización de las drogas como una alternativa más efectiva para combatir el crimen organizado (Lim & Morris, 2020; Oladi & Gilbert, 2015; David & Ofria, 2013).
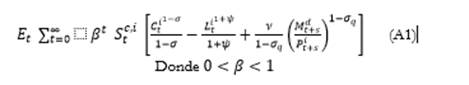
Para tal efecto, el propósito del documento consiste en cuantificar las plausibles implicaciones de un análisis contrafactual de legalización de las drogas. Para ello se considera un modelo de equilibrio general dinámico y estocástico (MEGDE), calibrado para la economía boliviana durante el período 1990-2020, de tipo 2x2x2, asumiendo dos tipos de consumidores: Drogadictos y No Drogadictos, firmas productoras de drogas y No drogas respectivamente, así como factores de producción con y sin drogas de forma análoga.
Como objetivo inicial, se pretende estimar la participación potencial de la economía ilícita de las drogas (Cocaína y Cannabis) en la economía boliviana. Como segundo propósito, se cuantifican los impactos potenciales en la recaudación tributaria derivada de una posible legalización de las drogas.
Asimismo, como objetivo principal, se pretende responder al cuestionamiento que pasaría si se presentan innovaciones de política a un shock positivo de aumento en la productividad de drogas, consumo legalizado de drogas y a partir de mejora en la calidad institucional. Se evalúan los impactos correspondientes sobre diferentes macro-agregados. De igual manera, se estiman los efectos esperados sobre la tasa de drogadicción de la sociedad para comprender las implicaciones como principal costo de oportunidad.
De forma precedente, la organización del documento está conformada por cinco secciones. La primera aborda la revisión de la literatura en la legalización de las drogas. Como elemento complementario se realiza un análisis bibliométríco basado en técnicas de minería de texto y Big-Data. La segunda sección, plantea una estimación potencial de dos tipos drogas en Bolivia: Cocaína y Cannabis (Marihuana), así como la recaudación tributaria potencial en función de escenarios de alcance efectivo de legalización de las drogas y tasas impositivas alternativas de legalización. El tercer apartado incorpora el modelo de equilibrio dinámico y estocástico empleado. En la cuarta sección se presentan los resultados del documento, así como la discusión de los hallazgos de forma respectiva. Al final del documento, se presentan las principales conclusiones e inferencias de forma correspondiente.
Revisión de la literatura en legalización de las drogas
La economía del crimen fue introducida por Becker (1968), misma que conllevo a una interacción entre el derecho y la economía incluyendo: el consumo racional de drogas, su legalización, entre otros tópicos y nombres alternativos: economía de comportamientos adictivos, economía negra, economía de las sombras y economía ilícita (Joshua, 2017; Jakobsson, & Kotsadam, 2013; Winter, 2008).
El campo de la economía del crimen vincula un portafolio de actividades consideradas como productos y servicios complementarios y sustitutos, con ofertantes especializados: drogas, armas, tráfico de personas, explotación sexual, juegos ilegales de azar, entre otros; por lo cual, la legislación de estas actividades puede ejercer un rol relevante. Es un mercado que puede asumir competencia imperfecta con presencia de monopolios, duopolios u oligopolios, con características de sensibilidad inelástica de precios (Halcoussis, Lowenberg & Roof, 2017; Skott, & Thorlun, 2002).
A nivel macro, existe una hipótesis de mejora generalizada en los agregados macroeconómicos, tales como: aumento del nivel en la actividad económica, aumento del nivel de empleo, oportunidad fiscal para percibir nuevos impuestos y recaudación tributaria, fortalecimiento del turismo, ingresos de divisas, entre otros (Hansen, Miller, & Weber, 2020b; Keul & Eisenhauer, 2019; Wright, 2019; Caputo & Ostrom, 1994).
Una segunda justificación en la literatura de las drogas se relaciona con la reducción del negocio criminal; es decir, un efecto de desplazamiento sobre las actividades delictivas por oferentes legales de drogas, así como disminución de arrestos por posesión de drogas y disminución en la confiscación de sustancias controladas (Gavrilova, Kamada & Zoutman, 2019; Carrieri, Madio, & Principe, 2019; Dragone et al, 2019).
Una tercera postura a favor de la legalización de las drogas, ha sido la evidencia ineficaz de otras políticas y medidas en contra del narcotráfico: erradicación de la hoja excedentaria de coca, ayuda externa, asignaciones presupuestarias con problema de escases para combatir al narcotráfico, otras prioridades de elección pública en el crimen organizado, políticas legislativas coercitivas en contra de las drogas.
En consecuencia, los resultados de la lucha gubernamental contra el crimen organizado no presentan eficacia, llevando a un aumento en lugar de reducirlo o que las políticas de control no conducen a una estabilización del consumo de drogas en el largo plazo (Lim & Morris, 2020; Oladi & Gilbert, 2015; David & Ofria, 2013; Mast, 2000; Benson et al, 1995; Benson et al, 1992). De hecho, el gasto en seguridad nacional y defensa representa un costo de oportunidad, donde estas reasignaciones presupuestarias, con fines productivos, podrían conllevar a efectos positivos en el crecimiento económico (Atuesta & Hewings, 2013).
Por otra parte, el lado oscuro en la legalización de las drogas se vincula con los costos sociales: aumento en la propensión al consumo o en patologías de adicción, especialmente en el consumo recreacional de adolescentes y jóvenes (Marie & Zölitz, 2017; Pacula et al, 2015; Caputo & Ostrom, 1994).
A manera de ejemplo, de manera empírica se ha determinado que la legalización de la marihuana para fines medicinales incrementa el consumo recreacional de la población entre 10 y 15%; sin embargo, no existe evidencia que incrementa el uso de la heroína y cocaína. Para el caso de los arrestos por posesión de drogas, en situaciones de legalización de Marihuana, se estima que existe una disminución entre el 0 y el 15% por posesión de cocaína y heroína; de igual manera se estima que se reduce en 20% en el tratamiento de adictos a la heroína, aunque no existe un efecto significativo para el tratamiento de la cocaína (Chu, 2015).
Estado de la cuestión con base en bibliometría
A partir de un análisis bibliométríco se seleccionaron 208 selectos documentos académicos, arbitrados e indexados, publicados entre 1988 y 2021, mismos que fueron obtenidos de Scopus con filtros de búsqueda avanzada con palabras claves como: “legalización de drogas” e “impactos económicos”, de los cuales se presentan los resultados mediante la utilización de técnicas de minería de texto y Big-Data, así como la utilización de técnicas multivariantes.
La relevancia del tema se ha visto reflejada en su tendencia creciente en las publicaciones, en especial para el período 2013-2021, alcanzando su máximo nivel de publicación en el 2020 (figura 1):
Por otra parte, de los documentos seleccionados, estos son provenientes de economías desarrolladas como EEUU, Reino Unido, Francia, entre otros; para el caso de economías latinoamericanas se tiene el caso de Colombia, por su importancia en la problemática de las drogas (figura 2).
De igual manera, la colaboración entre los investigadores por sus países de afiliación institucional está vinculadas a economías desarrolladas. En el caso de países latinoamericanos existen documentos compartidos como Ecuador y Brasil y otros con trabajos de un solo país de vinculación académica (Colombia y México) (figura 3):

Fuente: Elaboración propia con base en Scopus
FIGURA 3 COLABORACIÓN SEGÚN LOS PAÍSES DE LOS INVESTIGADORES
A partir de las palabras claves señaladas de los documentos selectos, es posible interpretar en tres tipo de clusters o grupos vinculados con la legalización de las drogas: 1) relacionado con la legislación de las drogas como planta medicinal (cannabis), así como su relación con el crimen, como ejemplo principal se ha considerado a EEUU; 2) sus implicaciones para la salud y el ser humano; 3) análisis de costo beneficio, políticas gubernamentales, ética, experimentos, comercio y otros temas relacionados (figura 4):
Aplicando un algoritmo de clustering jerárquico es posible obtener una representación gráfica o diagrama de datos en forma de árbol (dendograma) que permite visualizar las subcategorías en que la temática de la legalización de las drogas se va dividiendo de forma sucesiva. En consecuencia la principal ramificación se vincula con la regulación de las drogas y el cumplimiento de la ley, del cual se desprende la legalización de las drogas. Existen otros subgrupos o subramificaciones vinculadas entre el crimen y la marihuana/cannabis, así como otras drogas ilegales (figura 5):
En relación con la tendencia paradigmática de las drogas, se destacan ciertas perspectivas temáticas en el tiempo: 1) 2002-2010, adicción de drogas, demanda y elasticidad, así como políticas públicas; 2) 2011-2015, cumplimiento de la ley, legalización de drogas, drogas ilegales, violencia, lavado de dinero, entre otras; 2016-2021, legalización de la marihuana/cannibis, su relación con el crimen y otros productos de la economía del crimen (e.g. otras drogas y prostitución) (figura 6).
En suma, mediante técnicas multivariantes para documentos selectos, se aprecia una tendencia creciente en la problemática de la legalización de las drogas, mayormente tratadas y estudiadas en economías avanzadas, con menos avance en economías en vías de desarrollo (e.g. economías latinoamericanas). La clasificación principal proviene desde la regulación, cumplimiento de la ley y la legalización de las drogas con una tendencia paradigmática a la regulación y legalización de las drogas (énfasis en la marihuana/cannabis), así como su relación con el crimen organizado.
Legalización de las drogas y Calidad institucional para potencializar el crecimiento económico
De forma adicional a la legalización de las drogas, se menciona a la calidad institucional como un factor que impulsa o contrae el crecimiento económico. Existe evidencia empírica entre países que presentan baja calidad institucional con los niveles de criminalidad −incluidos la economía ilícita de las drogas− presentan elevados niveles de corrupción, gobiernos cerrados, violación de los derechos humanos, del orden, la seguridad y afectando a la justicia, corrupción y su relación con el crimen organizado (Dollar & Kray, 2003).
La calidad institucional proviene desde la contribución seminal de Oslon (1982) y North (1990), con mediciones basadas en democracia, estabilidad política, derechos de propiedad, libertad civil y política, percepción de la corrupción, entre otros factores proxies (Narayaran et al, 2011; Mc Millan et al, 1991; Barro, 1991).
La calidad institucional presenta mayores niveles de deterioro en países sin acceso al mar o enclaustramiento marítimo (landlocked countries), se ha evidenciado que existe una relación negativa del enclaustramiento marítimo y la calidad institucional, además de incidencias negativas sobre la balanza comercial y el crecimiento económico (Carmignani, 2015; Paudel, 2014; Head et al 2010). En consecuencia el desafío recae en el cambio estructural de constituirse en enclaustrado a través de la calidad institucional (Banegas et al, 2020).
Por otra parte, un hecho estilizado consiste en que los países que presentan mayores niveles de renta per cápita, se relacionan con mejores indicadores de calidad institucional y en el cual se han aplicado legalizaciones de las drogas (e.g. economías avanzadas).
2. ECONOMÍA DE LAS DROGAS EN BOLIVIA: COCAÍNA Y CANNABIS
En esta sección, se encuentra la participación relativa de la Cocaína y Marihuana en la Economía Boliviana de forma respectiva. En tal sentido, se encuentra que el 〖PIB〗_drogas representa el 5% del PIB total y que el consumo privado {C_drogas } del sector Drogas representa el 1% del consumo total. En consecuencia, Bolivia se constituye en un exportador neto de drogas.
- Estimación de la economía ilegal de la cocaína en Bolivia
Según datos del informe de las naciones unidas sobre droga y crimen (2021), la evolución en las plantaciones excedentarias de hoja de coca refleja una perspectiva a la disminución, mientras la erradicación de coca tiende a ser estacionaria en los últimos años (2012-2018) (figura 7).
Asimismo, con la finalidad de estimar la participación relativa de la Cocaína en la economía boliviana, es necesario establecer algunos supuestos, toda vez que son estimaciones mediante tres métodos alternativos:
Según el cuadro 1, se consideraron supuestos de producción potencial y crecimientos aleatorios entre el 2008 al 2019, así como otros supuestos: precios domésticos, precios externos, hectáreas cultivadas de coca excedentaria, una razón de Rendimiento de 6.4 Kg/Ha de hoja de coca excedentaria y una relación de 1.05 de Pasta base/Sal en el proceso de refinación, así como otros supuestos de consumo (prevalencia) y relación de incautación producción de drogas; de hecho, se estima que lo incautado equivale al 15% de la producción de cocaína en un intervalo del [13-17%].
En tal sentido, los tres métodos brindan un promedio de la Economía de la Cocaína del 2.3% del PIB [1.8 - 2.8%] como variable de flujo anual; aunque la relevancia es mayor como variable de stock o acervo de capital, lo cual prácticamente es el doble: 5% del PIB [3.9 - 6.2%]; es decir, en términos monetarios derivados del tráfico de las drogas y acumulados en maquinarias, infraestructuras, propiedades, bienes inmuebles, legitimación de ganancias ilícitas, blanqueo de capitales, saldos bancarios, entre otras.
CUADRO 2. ESTIMACIONES DE LA ECONOMÍA DE LA COCAÍNA EN BOLIVIA (PORCENTAJE DEL PIB)
Fuente: Estimación propia al 95% de confianza con base en simulaciones de Montecarlo.
Para el período 2015-2019, las estimaciones reflejan una participación que se ha encontrado en la banda del 1 al 3.5% como participación del PIB (figura 8); para el caso del acervo de capital, el rango se estima desde el 2.5 hasta el 7% del PIB de manera histórica (figura 9). En consecuencia, el dato más reciente estimado (2019), refleja una presencia de la cocaína entre los 1.500 y 2200 millones de USD, como acervo de capital existente en la economía, mismo que es derivado de la cocaína (figura 10).

Fuente: Estimación propia con base en simulaciones de Montecarlo
FIGURA 10 ESTIMACIÓN DEL ACERVO DE CAPITAL DE LA COCAÍNA EN BOLIVIA (EN MILLONES DE USD), 2015-2019
Por el lado de la producción de Cocaína en Bolivia, se estima que el 97% se destina hacía el mercado externo (tráfico ilegal) y el restante (3%) es absorbido para el consumo del mercado interno.
Finalmente, al realizar un análisis de sensibilidad multivariada, con el propósito en determinar las fuentes de variabilidad sobre el tráfico de la cocaína, se destaca: 1) la hoja excedentaria de coca (37% de variabilidad); 2) el rendimiento productivo de la hectárea (34)%; 3) el precio externo de la sal (19%) y 4) el precio externo de la pasta base (7%); expresado de otra forma: más del 70% de la variabilidad en el ingreso de la Cocaína corresponde al cultivo de la hoja de coca excedentaria, así como a su rendimiento respectivo; más del 25% como fuente de explicación de la cocaína en Bolivia corresponde al factor de precios externos. Todos estos factores tienen una relación directa con la participación relativa de la Cocaína en la economía boliviana (figura 11).
- Estimación de la economía ilegal de la Marihuana en Bolivia
De igual manera, se procedió a realizar la calibración y estimación de la importancia relativa en la economía ilegal de la Marihuana (Cannabis o Tetrahidrocannabinol). Para tal efecto, se consideraron los siguientes supuestos probabilísticos en términos de producción de cannabis, así como sus respectivos precios con base en información de las Naciones Unidas y reportes policiales de Bolivia:
- Se estima que para un año base de consideración, la producción potencial de Cannabis se encuentra en un rango probable entre 1363 y 1937 toneladas/año.
- Se estima el precio del cannabis en el mercado interno está en 100 USD/Kg. {±10 USD/Kg}; asimismo, se consideró un precio externo de Marihuana en frontera de 500 USD/Kg {400-800 USD/Kg}.
- La prevalencia del consumo de Marihuana en Bolivia es del 1.4% de la población entre 15 y 64 años según datos de la UNODOC.
- El nivel de consumo interno de Marihuana (adictos) se encuentra en el rango de 120 a 276 gramos/mes de Marihuana.
CUADRO 3. ESTIMACIONES DE LA ECONOMÍA DE LA MARIHUANA EN BOLIVIA (PORCENTAJE DEL PIB), AL 95% DE CONFIANZA
Fuente: Estimación propia con base en simulaciones de Montecarlo.
En consecuencia, de la producción de Marihuana en Bolivia, se estimó que el 16% es absorbido por el mercado interno y el resto (84%) es destinado para el tráfico ilegal externo.
En suma, al adicionar la participación relativa, tanto de la Cocaína como de la Marihuana, se obtuvo la participación en el flujo de la economía de las drogas y del acervo de capital respectivamente (cuadro 4):
CUADRO 4 ESTIMACIONES DE LA ECONOMÍA DE LA COCAÍNA Y MARIHUANA EN BOLIVIA (PORCENTAJE DEL PIB), AL 95% DE CONFIANZA

Fuente: Estimación propia con base en simulaciones de Montecarlo.
En resumen, la participación relativa de la economía de las drogas, tanto de Cocaína y Marihuana equivale al 5% del PIB {±1%} al 95% de confianza; mientras que la participación del acervo de capital es del 8% del PIB en un intervalo entre el 7.1 y 10.7% del PIB respectivamente (cuadro 4).
- Estimación de la recaudación tributaria potencial por legalización de las drogas
Con el propósito en determinar la recaudación potencial impositiva por legalización de drogas, después de haber estimado la base imponible, es necesario establecer los siguientes supuestos:
- Determinación del flujo potencial en la economía de las drogas (Cocaína y Marihuana).
- Alícuotas alternativas para la legalización de las drogas: en un intervalo alternativo entre el 25 y 50%, con la misma probabilidad de ocurrencia según las elecciones públicas de los policymakers.
- Efectividad en la legalización de las drogas. Se considera una perspectiva de efectividad entre el 50 y 75% en la cuantificación potencial del mercado ilegal de drogas.
Para determinar la base imponible potencial en la recaudación tributaria, se considera en legalizar el consumo interno de cocaína, entorno al 0.05% del PIB y en su totalidad la economía ilegal de la marihuana que representa el 2.8% del PIB, tanto el consumo interno como el excedente que podría direccionarse hacía mercados legales de exportación de cannabis.
CUADRO 5 ESTIMACIÓN PROBABILÍSTICA DE LA RECAUDACIÓN TRIBUTARIA POR LEGALIZACIÓN DE LAS DROGAS EN BOLIVIA, AL 95% DE CONFIANZA

Fuente: Estimaciones propias. Método de Montecarlo.
En consecuencia, según el cuadro 5, la recaudación tributaria por legalización de las drogas en Bolivia (Cocaína y Marihuana), se estima en 0.7% del PIB, en un intervalo entre 0.5 y 1.0% del PIB al 95% de confianza.
3. MODELO DE EQUILIBRIO GENERAL, DINÁMICO Y ESTOCÁSTICO 2X2X2
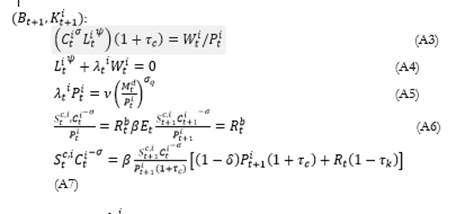
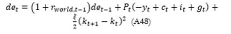
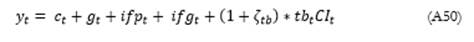
Se utilizó un enfoque del nuevo consenso macroeconómico, basado en micro fundamentos, también llamado: modelo de equilibrio general, dinámico y estocástico (MEGDE) o DSGE (por su acrónimo en inglés) (anexo 1). Para ello, se empleó un mix para la calibración: i) estándar de la literatura internacional (Smets and Wouters, 2007; Christiano et al., 2005; Woodford, 2003); ii) datos observados de la economía boliviana (1990-2020); iii) estándar de la literatura para Bolivia (Banegas et al 2020; 2021a; 2021b ; Vargas, 2010; Cerezo, 2010) (anexo 2), de tipo log-linealizado así como el estado estacionario (anexo 3).
A continuación se presentan las principales características y especificaciones en forma de modelo escrito de tipo 2x2x2:
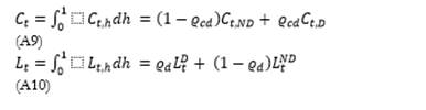
a) Existen dos tipos de consumidores (2): ‘Drogadictos’ y ‘No Drogadictos’. Las familias toman sus decisiones de consumo, ocio y elección de mantención de saldos reales con base en la maximización de su función de utilidad, sujeto a sus restricciones presupuestaria con decisiones intertemporales de consumo, inversión y compro de activos en bonos.
b) Existen dos tipos de firmas (2): Productoras de ‘Drogas’ y Productoras de ‘No Drogas’. Las decisiones de las firmas se basan en una función de producción sujeto a un presupuesto de costos.
c) Existen dos factores de producción (2): Capital y trabajo. La elección de los factores depende de los precios relativos de los factores productivos.
d) Existe una función de bienestar social que depende del nivel de consumo de bienes (drogas y no drogas); de forma contraria, existe un factor de desutilidad del trabajo o a mayor ocio, mayor nivel de bienestar.
e) El mercado de bienes está caracterizado por una rigidez de precios en función de sus valores pasados y con la probabilidad de transición hacia precios óptimos (curva de Phillips o precios a la Calvo).
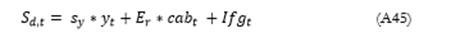
f) Un gobierno que recauda impuesto por la legalización de las drogas (Cocaína y Marihuana), de igual forma, gasta e invierte.
g) Las recaudaciones tributarias de las drogas legalizadas se canalizarían hacía la inversión pública en Salud y Educación.
h) La economía es pequeña y abierta: a través del comercio internacional y endeudamiento externo.
i) La prima de riesgo es directamente proporcional al nivel de endeudamiento externo y se refleja en el diferencial de la tasa de interés doméstica en relación con la tasa de interés internacional.
j) Existe un Banco Central que guía su política monetaria combinando una Regla de Taylor y con base en una tasa de crecimiento del dinero (nominal y real), así como base en la trayectoria de los precios del Petróleo.
4. HALLAZGOS Y DISCUSIÓN DE RESULTADOS
Con el propósito de evaluar los impactos de los shocks derivados de un aumento en la productividad de las drogas, un shock positivo de consumo legalizado de drogas y del aumento de la calidad institucional y su relación con las drogas y los macro-agregados se estimaron funciones de impulso-respuesta (FIR).
De forma directa, el shock positivo en la productividad de las drogas tiene un efecto cercano a cero sobre el PIB y la inversión agregada; sin embargo, de forma indirecta, se tienen innovaciones positivas sobre otros macro-agregados, así por ejemplo, por un aumento de la productividad de drogas en +1%, se reflejan efectos positivos sobre el consumo privado agregado (+0.25%), la inversión del gobierno en salud y educación se incrementa en la misma proporción (+1%), el bienestar social aumenta en +0.5% y el PIB ‘Drogas’ en +2.5%; su principal incidencia tendría un efecto multiplicador sobre el resultado fiscal. Como costo social de oportunidad, la tasa de drogadicción de la sociedad se incrementa hasta +0.3% (figura 12).
Por otra parte, un shock positivo de consumo legalizado de las drogas, de igual forma no incide directamente sobre el PIB; sin embargo, presenta efectos directos sobre el resultado fiscal del gobierno: por cada +1% de shock positivo en el consumo legalizado, el resultado fiscal se incrementaría en +0.5%. Por otra parte, la legalización del consumo de drogas no tendría incidencias sobre PIB del sector ‘Drogas’, tampoco efectos sobre la tasa de drogadicción de la sociedad (cercano a cero) (figura 13).

Fuente: Estimaciones propias.
FIGURA 12 FUNCIÓN DE IMPULSO-RESPUESTA (FIR) PARA UN SHOCK (+) DE PRODUCTIVIDAD DE DROGAS (DESVIACIÓN % DEL ESTADO ESTACIONARIO)

Fuente: Estimaciones propias
FIGURA 13 FUNCIÓN DE IMPULSO-RESPUESTA (FIR) PARA UN SHOCK (+) DE CONSUMO LEGALIZADO DE DROGAS (DESVIACIÓN % DEL ESTADO ESTACIONARIO)

Fuente: Estimaciones propias.
FIGURA 16 FUNCIÓN DE IMPULSO-RESPUESTA (FIR) PARA UN SHOCK (+) DE CALIDAD INSTITUCIONAL (DESVIACIÓN % DEL ESTADO ESTACIONARIO)
Finalmente, al considerar una mejora en la calidad institucional: por cada variación de +1% como shock positivo, el PIB agregado se incrementa cerca de +0.10%; el PIB del sector ‘Drogas’ se incrementa en +90%, de igual manera la inversión del gobierno en Salud y Educación se incrementa en +60%, la inversión agregada se aumenta en +0.04%. Como costo de oportunidad para la sociedad, una mejora en las instituciones y aumento en el sector PIB drogas de forma significativa conlleva a un aumento en la tasa de drogadicción en un nivel cercano del +10%, además de deteriorar la posición externa en -0.10%, interpretado como una restricción externa al crecimiento económico (en la misma magnitud) (figura 16).
-. Implicaciones para las políticas públicas
Los resultados de la presente investigación son compatibles con la hipótesis de la legalización de las drogas como una oportunidad fiscal para ampliar el margen en la recaudación tributaria (Hansen, Miller, & Weber, 2020a ; 2020b; Keul & Eisenhauer, 2019; Wright, 2019), especialmente en un contexto donde existen restricciones en la creación de nuevos impuestos para los shocks negativos en la demanda agregada.
Asimismo, se presentan reflexiones a posteriori sobre el desplazamiento de ingresos y ganancias del negocio criminal; con implicaciones en otras oportunidades y agenda para la investigación: fortalecimiento del turismo, ingresos de divisas, entre otros. En tal sentido, los efectos positivos, directos e indirectos, se ven más potencializados por las innovaciones legalizadas de producción en comparación con el consumo de drogas; desde luego, la operativa y logística debe comprender todo el proceso en la legalización de las drogas (producción, distribución y consumo), tal cual sucede en otros países (Ej. Uruguay, Estados Unidos, Holanda).
Desde el punto de vista la legalización de las drogas, la cocaína solamente podría legalizarse para el consumo interno, toda vez que es prohibida en la mayoría de los países o al menos su exportación; en el caso de la Marihuana, es diferente, toda vez que se podría legalizar tanto el mercado interno, como el excedente para la exportación en mercados legales que admiten su importación respectiva. Otra alternativa, sería comenzar por la legalización de la Marihuana (Cannabis).
Desde la reactivación económica, se vislumbran mayores positivos en el consumo privado y un fondo para promover la inversión en Salud y Educación. Las innovaciones de la calidad institucional reflejarían mayores niveles en la reactivación económica y su diseminación sobre la inversión agregada, el PIB del sector Drogas y el PIB agregado.
La discusión principal se centra en los costos de oportunidad sobre las tasas en la drogadicción de la sociedad como principal costo de oportunidad; los shocks de producción son más severos que las innovaciones de consumo legalizado y como sucede en las economías avanzadas: a mayores niveles de calidad institucional, la tasa de drogadicción tiende a crecer.
Conclusiones
A partir de técnicas de minería de texto y herramientas de Big-Data aplicada a 208 documentos relacionados, se evidencia una tendencia creciente en el estado de arte relacionado con la legalización de las drogas; mayormente abordado en economías avanzadas, menos estudiado en economías en vías de desarrollo. Las principales temáticas se vinculan con la regulación y legalización de las drogas (énfasis en la marihuana/cannabis), así como su relación con el crimen organizado.
En tal sentido, los hallazgos del documento reflejaron tres propósitos principales: 1) estimar de forma preliminar la importancia relativa de la economía ilícita de las drogas en la actividad económica de Bolivia con énfasis en la Cocaína y en el Cannabis; 2) cuantificar un potencial de recaudación tributaria dada una legalización de las drogas; 3) evaluar los efectos principales sobre los macro-agregados a través de un modelo de equilibrio general, dinámico y estocástico como mecanismo de validez formal.
Para el primer objetivo, mediante simulaciones de Montecarlo y con base en reportes de Drogas de las Naciones Unidades, así como distribuciones probabilísticas, se estimó el potencial de la economía ilícita de las drogas. En el caso de la Cocaína, y la Marihuana, estas dos tipos de drogas representarían el 5% del PIB de Bolivia {±1%} al 95% de confianza. Asimismo, el acervo de capital como variable de stock estaría en el 8% del PIB en un intervalo entre el 7 y el 10.7% de forma respectiva.
Como segundo objetivo, se encontró el potencial de recaudación tributaria por legalización en la producción y consumo de Cocaína y Cannabis respectivamente, misma que podría alcanzar entre el 0.5 y 1.0% del PIB, considerando alícuotas alternativas ente el 25 y 50% sobre el precio final, bajo un supuesto de efectividad entre el 50 y 75% del mercado potencial ilegal existente en el país. Para el caso de la cocaína, se asume una posible legalización únicamente sobre el consumo interno; para el caso de la Marihuana, se asume una posible legalización tanto del consumo interno como el externo, toda vez que existen mercados legales de exportación para el Cannabis. En suma, el negocio de los traficantes se convertiría en un ingreso para el gobierno.
Como tercer objetivo y finalidad de reactivación económica se evidenció que si bien la legalización de las drogas no tendría un efecto directo sobre la variación del PIB de forma unidireccional; si existe un canal de transmisión a través de efectos positivos de derrame (spillovers) sobre el consumo privado, el resultado fiscal y sobre la creación de un fondo destinado para inversión pública en Salud y Educación; asimismo, la mejora en la calidad institucional puede impulsar y multiplicar los efectos de legalización en la reactivación económica (inversión agregada, PIB del sector Drogas y el PIB agregado); sin embargo, puede convertirse en un costo de oportunidad para la sociedad a partir de sus implicaciones en la tasa de la drogadicción.

















































