Servicios Personalizados
Revista
Articulo
Indicadores
-
Citado por SciELO -
Accesos
Links relacionados
-
Similares en
SciELO
Compartir
Economía Coyuntural
versión impresa ISSN 2415-0622versión On-line ISSN 2415-0630
Revista de coyuntura y perspectiva v.4 n.4 Santa Cruz de la Sierra dic. 2019
ARTÍCULOS ACADÉMICOS
Mercado Laboral Femenino y Capital Social,
Necesidades de Cuidados e Inclusión Financiera
Female Labour Market and Social Capital,
Care Needs and Financial Inclusiónλ
Patrícia López Rodríguezπ , Mónica E. Orozco Coronaα
π Doctora en Economía, profesora de la Universidad Iberoamericana,
Ciudad de México. Email: patyloro@hotmail.com
α Maestra en Estadística, Directora de GENDERS AC.
Ciudad de México. Email:meorozco@genders.mx
Recepción: 16/06/2019 Aceptación: 04/11/2019
Resumen
Las mujeres enfrentan restricciones de tiempo y recursos, tienen que dedicar tiempo a cuidar de sus hijos, a personas de la tercera edad y a familiares enfermos, a la vez tienen que encontrar recursos para efectuar sus gastos diarios y cubrir emergencias lo que limita su participación en el mercado laboral formal. Las mujeres usan su tiempo para satisfacer sus necesidades de cuidados, usan su capital social para obtener recursos y lograr inclusión financiera mientras tienen que trabajar. El objetivo de este estudio consiste en analizar los efectos del capital social, la inclusión financiera y las necesidades de cuidados de las mujeres en la oferta de trabajo. Para ello se estiman modelos probit ordenados con corrección de sesgo de selección de Heckman utilizando datos a nivel individual y municipal de encuestas mexicanas. Los resultados muestran que cuando las mujeres usan su capital social para encontrar trabajo y cubrir sus necesidades de cuidados, es más probable que trabajen más horas o que trabajen a tiempo completo y que cuando tienen inclusión financiera tienen más probabilidades de estar trabajando.
Palabras clave. Mercado laboral femenino, capital social, necesidades de cuidados, inclusión financiera.
Abstract
Women face restrictions of time and resources, they have to spend time to take care for their children, their elderly and sick family, at the same time they have to find resources for daily expenditures and emergencies which limits their participation in the formal labor market. Women use their time to meet their care needs, use their social capital to obtain resources and achieve financial inclusion while they have to work. This study aims to analyze the effects of women's social capital, financial inclusion and care needs on her labor supply. They were estimated ordered probit models with Heckman's selection bias correction using data at the individual and municipal level from Mexican Surveys. Results show that when women use their social capital to find jobs and cover their care needs, they are more likely to work more hours or to work full-time, and when they have financial inclusion they are more likely to be working.
Keywords. Female labor market, social capital, care needs, financial inclusion.
Clasificación JEL: J16, J71, A13,I11, G21.
I. INTRODUCCIÓN
La tasa de participación de las mujeres en la fuerza laboral (LFWT) ha estado creciendo en México a medida que las regiones se han urbanizado. Si bien la tendencia general ha sido positiva, el impacto de la crisis económica ha afectado la participación económica de las mujeres. Al igual que en la mayoría de los países, es menos probable que las mujeres participen en el mercado laboral en comparación con los hombres, es decir, que estén empleadas o busquen trabajo activamente. Una explicación de las oportunidades limitadas para la participación de las mujeres en el mercado laboral se refiere a los costos económicos y la restricción de tiempo que enfrentan para ingresar al mercado laboral (Cogan 1977, 1981, Grossbard 2005, Heckman 1988).
La participación limitada de las mujeres en el mercado laboral formal tiene un impacto en su bienestar, cuando están empleadas en el sector formal tienden a trabajar menos años en promedio y acumulan menos beneficios de seguridad social, así como menores ingresos durante su vida laboral, en comparación con los hombres, debido a las diferencias de género en su ciclo de vida, el embarazo y la maternidad suelen reducir las horas de trabajo, las mujeres dejan de trabajar en un periodo de tiempo hasta que sus hijos son mayores. Una estrategia frecuente de las mujeres para enfrentar la inflexibilidad del mercado laboral es el sector informal, las carreras interrumpidas y la informalidad reducen los ingresos acumulados de las mujeres y los beneficios de sus pensiones, esta es una de las razones por las que las mujeres tienden a caer en la pobreza en la tercera edad y en la vejez, debido a los menores niveles de beneficios sociales acumulados, luego las mujeres siguen estando excesivamente representadas entre los pobres e integran el último decil del ingreso (World Bank 2012).
Una explicación de las oportunidades limitadas de las mujeres para participar en el mercado laboral en el corto tiempo está relacionada con las necesidades de cuidado que las mujeres tienen de sí mismas (cuando están enfermas) o de sus hijos y/o familiares (Apps et al. 2012). Recientemente, se están explorando otras barreras que limitan la participación de las mujeres en el mercado laboral, como la falta de capital social. El capital social incluye las redes de apoyo y colaboración en actividades locales que pueden inhibir o afectar la participación de las mujeres en el mercado laboral (Gindenhil y O'Neill 2006). Otra barrera es la falta de inclusión financiera (Demirgüç-Kunt, Klapper y Singer 2013) que afecta la disposición de las mujeres de ahorros y créditos para enfrentar eventos contingentes u oportunidades de inversión en actividades productivas, lo cual afecta la oferta laboral de las mujeres.
En la concepción de Putnam (1995), el capital social se refiere a las conexiones entre los individuos -redes sociales y normas de reciprocidad- que ayudan a los individuos a alcanzar beneficios conjuntos. Según Putnam, las mujeres han desempeñado un papel importante en la creación y el mantenimiento de reservas de capital social, no obstante, Putnam sugiere, al inicio de sus argumentos sobre el tema, que cuando las mujeres ingresan al mercado laboral remunerado se presenta un declive de su capital social debido a que dejan de pertenecer a asociaciones voluntarias. Al respecto Christoforou y Pisani (2015) señalan que, si bien al ingresar las mujeres al mercado laboral formal tienen una mayor oportunidad para establecer nuevas conexiones y participar en más organizaciones, también disminuyen su disponibilidad de tiempo para explorar estas oportunidades.
Los recursos y la disponibilidad de tiempo son dos de las muchas formas en que los roles sociales dan forma a la naturaleza de la acumulación y el uso del capital social de las mujeres.
Según Putnam (1995) las diferencias en la naturaleza del capital social de las mujeres están asociadas con las diferencias en la forma en que se utiliza, los hombres por ejemplo son mucho más propensos que las mujeres a pasar tiempo libre en actividades deportivas y a realizar trabajos voluntarios relacionados con el deporte y la recreación, mientras que las mujeres tienen más probabilidades que los hombres de realizar trabajos voluntarios relacionados con la salud, los servicios sociales y la educación infantil. En este sentido, las mujeres suelen dedicar mucho más tiempo que los hombres a visitar a familiares y amigos, y es más probable que pasen tiempo cuidando a los niños, los ancianos y los enfermos. Las comparaciones del tipo de capital social de las mujeres y los hombres resaltan las diferencias en la disposición de tiempo para realizar diversas actividades como su participación en el mercado laboral.
Tomando en cuenta estas consideraciones, la decisión de participar o no en el mercado laboral depende de los recursos de las mujeres y de su tiempo disponible. Así, las responsabilidades laborales y familiares y la falta de recursos financieros y redes sociales afectan su participación en el mercado laboral (Gidengil y O'Neill 2006).
Por otro lado, la evidencia sugiere que cuando las mujeres contribuyen con proporciones más altas al ingreso familiar, existen beneficios claros para el bienestar familiar (Chen 1983, Agarwal 1994), dichas contribuciones pueden ser a través de sus propios ingresos o mediante fuentes de financiamiento externo como transferencias del gobierno o remesas, en este sentido hay un cambio en el gasto de los hogares que beneficia a los niños y las personas de la tercera edad que dependen de los cuidados de las mujeres.
Las mujeres tienden a tener menos acceso a las instituciones financieras, generalmente usan mecanismos informales de ahorro y los usan para cubrir gastos de corto plazo y emergentes, lo que les genera incertidumbre e inestabilidad para resolver problemas contingentes. Cuando las mujeres tienen mecanismos seguros y directos para cubrir sus gastos familiares, tienen condiciones estables para trabajar jornadas de tiempo completo (Demirgüç-Kunt, Klapper y Singer 2013).
Si bien la participación de las mujeres en la fuerza laboral tiene un impacto positivo en sus capacidades (Nussbaum 2003), también propicia condiciones desiguales en el mercado laboral, las mujeres ganan menos que los hombres y es más probable que sean trabajadoras no remuneradas en las actividades laborales que realizan, suelen estar en trabajos vulnerables, mal pagados o subvalorados, pasan más tiempo en el trabajo doméstico no remunerado después del trabajo remunerado, mientras que los hombres pasan más tiempo en actividades de ocio, en este sentido, es más probable que las mujeres participen en actividades de baja productividad y que trabajen en el sector informal con menos movilidad al sector formal en comparación con los hombres. Por lo tanto, son vistas como dependientes económicos de los hombres, están en sectores no organizados o no están representadas en sindicatos, y en áreas rurales generalmente trabajan en la agricultura a pequeña escala (OIT 2012).
En comparación con los hombres, el uso del tiempo de las mujeres es extenso e intensivo en las actividades domésticas (Sagrario-Floro 1995), las mujeres dedican más tiempo que los hombres a actividades como cocinar, limpiar y cuidar niños diariamente, invierten tiempo de trabajo no remunerado en las tareas que construyen la vida familiar. Según la ENUT, en promedio dedican de 1 a 3 horas más al día a las tareas domésticas que los hombres, dedican 2 décimas partes de su tiempo al día para cuidar a niños, ancianos y familiares enfermos y canalizan de 1 a 4 horas al día para realizar actividades comerciales, su acceso al tiempo libre es menor que el de los hombres, asignan menos tiempo para su educación, su participación en la política y su autocuidado es menor, lo que tiene un impacto directo y negativo en su participación política y laboral (ONU Mujeres 2016).
Los modelos tradicionales estiman la participación de las mujeres en el mercado laboral a través del nivel educativo, el precio del trabajo (salarios), la edad y el estado civil (Becker 1985, Mincer 1962, Cogan 1981, Heckman y MaCurdy 1980, Hanoch 1980, Dooley 1982, Attanasio y Sanchez-Marcos 2008, Hernández-Licona 2000, Goldin 1995, Mammen y Paxson 2000), recientemente se están explorando otras variables que tienen un valor explicativo de la participación de las mujeres en el mercado laboral, como la necesidad de cuidados1, el capital social y la inclusión financiera (Apps et al. 2012, Gindenhil y O'Neill 2006, Demirgüç-Kunt, Klapper y Singer 2013 ).
El objetivo de este estudio consiste en analizar el efecto del capital social de las mujeres, las necesidades de cuidado y la inclusión financiera en la probabilidad de trabajar tiempo completo, además de usar los estimadores tradicionales de los modelos de oferta laboral, como la educación, el salario, el ingreso y la edad. Para estimar el capital social usamos las redes informales de las mujeres para obtener empleos y las acciones colectivas que empoderan a las mujeres. Se usa el marco de la economía de las necesidades de cuidado (Folbre 1982, 1983, 1994, 2001, 2006, Sen 2001) para explorar el cuidado infantil y la provisión de cuidado de los miembros dependientes del hogar, como las personas mayores, enfermas y discapacitadas.
Estimamos modelos probit ordenado para analizar el efecto del capital social, variables de cuidados y de inclusión financiera sobre la probabilidad de las mujeres de trabajar 5 rangos de tiempo (menos que tiempo parcial, tiempo parcial, tiempo completo, más que tiempo completo, tiempo extensivo), estimamos modelos de Heckman para corregir un problema de autoselección utilizando como variable dependiente la probabilidad de estar trabajando. Se utilizaron datos a nivel individual del Módulo de Condiciones Socioeconómicas de México (MCS 2014), datos municipales de la Encuesta Inter-Censal de México (IE 2015) y la Encuesta Nacional de Inclusión Financiera de México (ENIF 2012). Los resultados muestran que cuando las mujeres usan su capital social para encontrar trabajo es más probable que trabajen en un horario regular de alrededor de 40 horas a la semana. Cuando las mujeres cubren sus necesidades de cuidados, es más probable que trabajen más horas y también encontramos que la inclusión financiera aumenta la probabilidad de que las mujeres estén trabajando en un municipio.
Después de la Introducción, la Sección II expone los diferentes autores que en la literatura han generado avances en la oferta de trabajo de las mujeres. La sección III describe el modelo estimado. La sección IV describe los datos disponibles para México y la sección V muestra los resultados de la estimación, los comentarios y las observaciones finales.
II. MARCO TEÓRICO DE LA OFERTA LABORAL FEMENINA
El marco teórico proviene de la literatura feminista sobre las relaciones de poder desiguales entre los dos sexos en el hogar y la sociedad, el empoderamiento y su vínculo con la participación laboral (Kabeer 1994, 1999), lo que tiene una relación cercana con la economía del cuidado y la división sexual del trabajo desarrollada desde principios de los años ochenta hasta los últimos años, según lo muestra la literatura internacional (Folbre 1982, 1983, 1994, 2001, 2006, Sen 2001)2 y en México (García 2019, García y De Oliveira 2004, García y Pacheco 2014, Orozco et al. 2016, Pedrero 2014).
Una de las contribuciones más importantes a la economía en estos estudios de género es la re-conceptualización del trabajo total, compuesto por el trabajo remunerado en el mercado laboral (TR) y el trabajo no remunerado que se realiza en los hogares (TnR). Este último, a su vez se subdivide en trabajo doméstico y de cuidados3.
Desde la perspectiva de género, la división del trabajo está relacionada con la autonomía, el empoderamiento y la libertad de elegir. Algunos enfoques señalan que la conexión de las mujeres con el mercado laboral y su contribución al ingreso del hogar aumentan su poder de decisión. Estos afirman que la división del trabajo segrega el mercado laboral, causa diferencias salariales y genera condiciones y oportunidades desiguales de empleo por sexo. En este sentido, la promoción y los términos de intercambio laboral son menos equitativos para las mujeres (Tepichin 2009). Otros estudios como el de Cling et al. (2014) mencionan que la informalidad y las condiciones de trabajo pueden afectar la protección, la seguridad en el ingreso y los beneficios de seguridad social para las mujeres más pobres, con implicaciones en su bienestar, al respecto, las mujeres pobres suelen tener recursos escasos, incertidumbre y falta de ingresos diversificados por lo que su empleo representa su principal fuente de ingresos familiares.
Dado que las mujeres hacen la mayor parte del TnR y que el tiempo es un recurso escaso, las decisiones de tiempo dedicadas a TR y TnR compiten entre sí, dando lugar a desigualdades en el empoderamiento económico de hombres y mujeres. Particularmente, en la participación laboral, pero también en otras dimensiones, como las oportunidades en la capacitación laboral y la promoción laboral, así como en el acceso a distintos tipos de ocupación (Sen 1999, 2001, Boserup 1970, Folbre 2001) y pobreza (Chant 2003, Orozco et al. 2016).
Otros factores que afectan la participación laboral de las mujeres, además de los roles de género y la división del trabajo, son la disponibilidad de marcos legales, de infraestructura social y servicios para satisfacer las necesidades de cuidados,4 aspectos ampliamente estudiados en el marco teórico de la economía del cuidado5. Para el caso de México, Gammage y Orozco (2008) documentan que la presencia de niños menores de 12 años en el hogar reduce la probabilidad de inserción laboral de las mujeres, pero no la de los hombres. Mientras que estudios como los de Ángeles et al (2014) y Calderón (2014) han demostrado empíricamente utilizando dobles y triples diferencias con grupos de control, los efectos positivos del acceso a servicios de guarderías para el cuidado infantil sobre la participación de las mujeres en el mercado laboral. Esta última autora, también documenta la reducción del trabajo no remunerado y el incremento de los ingresos laborales de las mujeres.
También el capital social, a través de las redes de apoyo juega un papel importante (López-Rodríguez y De la Torre 2010). Particularmente en economías como la de México, donde las políticas de protección social, los sistemas de cuidados y la inclusión financiera son insuficientes y afectan de manera desproporcionada a las mujeres. Cuando las mujeres no participan en el mercado laboral formal y no tienen seguridad social, utilizan sus redes de apoyo para conseguir empleo, conseguir préstamos u obtener ayuda para el cuidado de los hijos, personas adultas mayores, enfermas o con alguna discapacidad, entre otras necesidades que pueden cubrir a través del capital social (Orozco y Salgado 2012).
Respecto a la inclusión financiera, Demirgüç-Kunt, Klapper y Singer (2013) encontraron que en los países donde las mujeres enfrentan restricciones legales en su capacidad para trabajar, las mujeres tienen menos probabilidades de tener una cuenta en un banco, en relación con los hombres, así como de ahorrar y pedir prestado, pero lo contrario es cierto, cuando las mujeres tienen una mayor participación en el mercado laboral tienen más acceso a los sistemas de financiamiento.
Las mujeres con menor oferta laboral tienen poca autonomía para utilizar sus ingresos y otros recursos, tienen bajo acceso a sistemas de seguridad social -incluidos los seguros de salud y las pensiones de jubilación-, suelen no ser dueñas o propietarias de activos duraderos como la tierra y la vivienda, lo que a su vez les impide acceder al crédito en instituciones formales.
Adicionalmente, al análisis de los valores inherentes al concepto de libertad desarrollado por Sen (1999) como la justicia, la consideración y el cuidado de los demás, Gasper (2007) muestra que la sobrecarga del trabajo no remunerado de cuidado de las mujeres puede limitar sus libertades. La falta de libertad para elegir también representa una forma de discriminación social que limita el ejercicio de los derechos humanos y preserva la desigualdad, particularmente la de género (Yasukawa et al. 2009, Tessier et al. 2009, 2013, OIT2012).
Teniendo en cuenta estos enfoques, el modelo económico neoclásico usado para estudiar la oferta laboral femenina está limitado por varias razones. Una de ellas es que relaciona los salarios y el consumo solo con dos posibles inversiones de tiempo, el trabajo y el ocio, sin incluir el trabajo doméstico y de cuidados no remunerado, que es principalmente efectuado por las mujeres. Como consecuencia, las restricciones en la participación laboral y la generación de ingresos son diferentes y están vinculadas a las desigualdades en los roles de género. Las horas que las mujeres dedican al trabajo remunerado compiten no solo con el ocio y el descanso, sino también con el tiempo dedicado a otras actividades que afectan el desarrollo de sus capacidades y funciones, así como el tiempo que pueden pasar con otros integrantes de su hogar (Zacharias 2011).
III. EL MODELO
Los economistas neoclásicos consideran que la educación es uno de los determinantes clave de la oferta laboral de las mujeres (Becker 1985, Mincer 1980). Según la escuela estructuralista, existen otros factores además de la educación que afectan la oferta laboral de las mujeres (Benham 1980, Strober 1980) como el uso del tiempo, aunque también los economistas neoclásicos señalan que el principal factor que obliga a las mujeres a ofrecer su trabajo es el ingreso o el salario. Siguiendo a los estructuralistas incorporamos otros factores al modelo, como las preferencias de las mujeres sobre el uso del tiempo (Killingsworth y Heckman 1986, Cox 1989, Van Soest, Dasb y Gong 2002, Apps 2003, Grossbard 2005, Apps et al. 2012).
Desde los años 60 la literatura ha estado estudiando la relación de las decisiones laborales de las mujeres, considerando los ingresos no laborales y los ingresos laborales (Mincer 1962, Gronau 1974, 1979, Cogan 1977, 1981, Heckman 1974a, 1974b, 1988, Killingsworth y Heckman 1986, Cox 1989, van Soest, Dasb y Gong 2002, Apps 2003, Grossbard 2005, Apps et al. 2012). Analizando el efecto del ingreso laboral en la oferta laboral femenina, para el caso de México Arceo-Gomez y Campos-Vázquez (2012) utilizaron un modelo estructural para determinar la oferta de mano de obra femenina y encontraron un efecto negativo en la elasticidad de la oferta laboral femenina entre los años 1990-2000. Muchos de estos enfoques (con excepción del trabajo de Apps et al. 2012) se limitan al análisis de las decisiones laborales de las mujeres casadas, como solía hacer la literatura de hace más de cincuenta años dejando atrás el estudio de todas las demás mujeres en la sociedad.
La literatura reciente aborda las perspectivas del trabajo desde un margen más amplio del trabajo, por ejemplo, Apps et al. (2012) miden el efecto de los salarios, los servicios de cuidado infantil y los impuestos sobre las horas de trabajo, ajustando la producción doméstica y el tiempo libre. Las nuevas perspectivas del trabajo laboral femenino van más allá de la heterogeneidad en la productividad del hogar, incluyen la atención de cuidados, aunque el estudio de estos temas está sujeto a la disponibilidad de los datos.
La mayor parte de esta literatura está restringida al análisis de la oferta laboral de mujeres casadas, como se comentó anteriormente, asumiendo que las mujeres casadas no ofrecen su trabajo en el mercado laboral formal por su misma condición de cónyuges, este hecho implica diversos desafíos que imponen la identificación de un modelo para la población total de mujeres. Además de los problemas ya conocidos del sesgo de selección de la población de mujeres trabajadoras y la endogeneidad de los salarios y las características del hogar, adicionalmente otros aspectos se vuelven relevantes en el estudio de la población total de mujeres, como las observaciones no independientes para mujeres que viven en el mismo hogar, particularmente para aquellas que no reciben pago por sus actividades.
En este estudio nos centramos en los factores del lado de la oferta laboral, la demanda laboral y los factores macro no se consideran aquí, dado que dependen de otras condiciones estructurales del mercado, por ejemplo de las rigideces de los precios. El marco conceptual establece que las decisiones laborales no son independientes del tiempo libre y del tiempo dedicado a las necesidades no remuneradas en el hogar y el cuidado, por lo que la oferta laboral está en función de sus preferencias por tiempo y necesidades (Apps et al. 2012). En este estudio utilizamos las horas de trabajo de las mujeres como variable dependiente para probar la hipótesis de si las horas de trabajo de las mujeres dependen de su capital social, de sus necesidades de cuidado y de su inclusión financiera, para ello utilizamos variables a nivel individual y a nivel municipal donde viven las mujeres, con el fin de controlar la heterogeneidad regional. Adicionalmente, se usan como estimadores las variables tradicionales que afectan la oferta laboral como la educación, la edad, la edad al cuadrado, el salario, los ingresos en el hogar, la presencia de menores en el hogar, la existencia de guarderías en el municipio, y otras variables estructurales como la población económicamente activa en el municipio, la desigualdad, un índice de rezago social que considera variables sobre las condiciones y servicios en la vivienda y la región donde viven los habitantes de la muestra.
Consideramos que las mujeres trabajadoras participan en actividades formales o informales, también tomamos en cuenta que las mujeres trabajan dentro o fuera del hogar a cambio de una retribución, y que las mujeres que no trabajan son las que no trabajabaron al momento del levantamiento de la encuesta. Clasificamos las horas de trabajo en cinco rangos de trabajo (menos que tiempo parcial, tiempo parcial, tiempo completo, más que tiempo completo, tiempo extensivo) (ver anexo 1), utilizamos estas categorías tomando en cuenta la clasificación de la tasa de empleo parcial y el desempleo, así como las condiciones de empleo críticas de la Encuesta Nacional de Ocupación y Empleo (ENOE) del Instituto Nacional de Estadística y Geografía (INEGI), ampliamos las categorías debido a las diferentes situaciones y rangos de tiempo en que las mujeres trabajan en México, lo que implica una mayor categorización de las horas de trabajo del empleo laboral femenino.
Utilizamos la clasificación de empleos de tiempo completo y tiempo parcial ya que la contratación en el mercado laboral establece esta diferencia, respecto a la contratación de trabajadoras de medio tiempo o tiempo parcial, esta es más costosa y menos rentable para los empleadores (Montgomery 1988). En general, las mujeres suelen realizar trabajos de medio tiempo, una mayor proporción de mujeres que buscan empleos de medio tiempo lo hacen debido a sus responsabilidades en el hogar y de cuidados, por lo que necesitan trabajos que les permitan conciliar sus responsabilidades familiares con sus actividades laborales, a veces cuando los niños están en la escuela, o cuando sus esposos o familiares están en casa para cuidar de sus hijos, ellas pueden continuar con sus actividades laborales. Por lo tanto, la función de oferta de las trabajadoras a tiempo parcial es distinta de la de las trabajadoras a tiempo completo, no obstante en este estudio asumimos que ambas funciones con diferentes particiones de tiempo dependen de las mismas variables del hogar.
Considerando estos factores este estudio busca analizar el efecto del salario de las mujeres, su educación, el ingreso de sus hogares, su capital social, sus necesidades de cuidados e inclusión financiera sobre la probabilidad de trabajar a tiempo completo (alrededor de 40 horas por semana), tiempo parcial, más que tiempo parcial, más que tiempo completo y tiempo extensivo, así como los modelos tradicionales de oferta laboral que estiman el efecto de diversas variables socioeconómicas sobre la probabilidad de trabajar de las mujeres a tiempo completo o parcial, el objetivo del modelo planteado busca analizar el efecto del capital social, la atención de cuidados, la inclusión financiera, así como otras variables socioeconómicas del hogar, en la probabilidad de trabajar de las mujeres en diferentes rangos de tiempo.
La segmentación de las trabajadoras en diferentes rangos de tiempo está relacionada con la dimensión geográfica, es decir por los costos de traslado de las mujeres a su actividad principal. Las mujeres enfrentan limitaciones de movilidad física por sus necesidades de cuidados en el hogar, por lo que su oferta laboral es más restringida y podría estar orientada al trabajo de tiempo parcial.
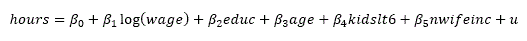
Por otro lado, debido a la movilidad restringida de las mujeres, es probable que la oferta de trabajo de las que buscan trabajo a tiempo parcial sea menos elástica que la oferta de tiempo completo (Ermisch y Wright, 1993). Considerando la situación antes mencionada, se usan en el modelo propuesto variables de ubicación territorial para controlar el tipo de heterogeneidad regional que afecta el tiempo de traslado a la actividad laboral principal de las mujeres. Como es común en la literatura, no toda la información necesaria está disponible en un solo conjunto de datos, además, no todas las variables relevantes podrían estar disponibles en el mismo nivel de desagregación, por lo tanto, combinamos datos a nivel territorial y usamos técnicas espaciales para modelar la variación dentro y fuera del grupo (Legendre 1993). El modelo base de las estimaciones de este trabajo proviene de la función de oferta de la siguiente ecuación de horas de trabajo planteada en Wooldridge (2000, pag. 511).
![]()
Este modelo considera la oferta laboral de las mujeres en la fuerza laboral, donde hours se refiere a las horas trabajadas y está en niveles, wage se refiere a los sueldos y salarios, age es la edad, educ es la educación, kidslt6 se refiere a los niños menores de 6 años de edad, nwifeinc es el ingreso del hogar (que incluye los ingresos del esposo). Con base en el modelo de Wooldridge (2000) se definen: la ecuación de interés y la ecuación de sección, la especificación final de ambas ecuaciones proviene de la revisión de la literatura:

Las variables adicionales se refieren al capital social, a las necesidades de cuidados en el hogar y la inclusión financiera. En la ecuación de interés se incluyeron adicionalmente las variables estructurales (ingreso y salarios) para controlar el entorno económico de los hogares. En la ecuación de selección se incluyeron variables regionales y contextuales de los hogares.
Usando las ecuaciones anteriores estimamos un modelo probit multinomial ordenado para estimar la oferta laboral por horas de trabajo para los distintos rangos de tiempo, de manera similar al modelo planteado y estimado por Ermisch y Wright (1993). Se usa el probit ordenado porque la variable dependiente (rangos de tiempo de trabajo) asume cinco categorías ordenadas de menor a mayor, el propósito del modelo es estimar la probabilidad de que una observación con características particulares caerá en una de las cinco categorías. Nuestra especificación del modelo es la siguiente:

k asume los valores 1 cuando una persona trabaja menos que tiempo parcial (0-15 horas a la semana), 2 cuando un individuo trabaja tiempo parcial (15-35 horas a la semana), 3 cuando un individuo trabaja tiempo completo (35-48 horas a la semana), 4 cuando una persona trabaja más de tiempo completo (48-56 horas a la semana), 5 cuando una persona trabaja tiempo extensivo (más de 56 horas a la semana) (ver anexo 1).
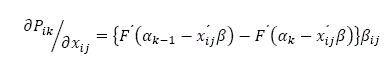
El efecto marginal de un aumento en una variable independiente Xj sobre la probabilidad de seleccionar alguna alternativa k es:

El modelo presenta problemas de sesgo de selección estadístico porque hay un error en la elección de las mujeres sobre su propensión a trabajar, ya que la probabilidad de que una mujer esté incluida en el estudio está ligada a alguno de los factores a estudiar, por ejemplo, más de la mitad de las mujeres analizadas tienen condiciones que las limitan para trabajar6, por lo que la muestra podría incluir mujeres con muy bajas probabilidades de trabajar tiempo completo, se corrigió el problema usando el modelo de Heckman (1979) en dos etapas para evitar el problema mencionado. Algunas de las variables que denotan la condición laboral de las mujeres para trabajar están relacionadas con la educación, la presencia de hijos menores en el hogar, y otras variables relevantes que no están incorporadas en el modelo porque no se dispone de información o son difíciles de identificar como el tiempo de traslado a la fuente laboral más importante o el hecho de que algunas mujeres sean más persistente en la búsqueda de empleo, que estén motivadas a trabajar o apreciar más la autonomía y la libertad. Según Heckman (1979), ignorar la autoselección puede introducir un sesgo de especificación en los parámetros estimados de la ecuación similares a los generados por la omisión de variables relevantes en el modelo.
Aun cuando las encuestas de empleo en México registran a la población mayor de 15 años como población trabajadora, en las estimaciones tomamos a la población de 18 años ya que el trabajo infantil se comporta de manera diferente al trabajo de los adultos, cuyo análisis va más allá del alcance del presente estudio. En el modelo se utilizan variables independientes que interactúan con el sexo de la población como regresores, pero la variable dependiente incluye tanto a hombres como a mujeres por razones de aleatoriedad en la selección de las mujeres en la muestra. Finalmente, probamos los efectos fijos y aleatorios del modelo de manera similar a la de Van Soest y Stancanelli (2010).
IV. DATOS
Utilizamos diferentes fuentes de información para construir la base de datos a nivel individual y municipal para captar los efectos fijos y aleatorios en el modelo. A nivel individual utilizamos la base de datos del MCS de la ENIGH, que proporciona información sobre la oferta de trabajo para hombres y mujeres. A nivel municipal, utilizamos datos de la Encuesta de inclusión financiera de la Comisión Nacional de Bancaria y Valores (CNBV), la información sobre las estancias infantiles proviene de la base de datos de la Secretaría de Desarrollo Social (SEDESOL), también se usó información del Índice de rezago social del Consejo Nacional para la Evaluación de la Política de Desarrollo Social (CONEVAL), adicionalmente se usó información de la Encuesta Intercensal del INEGI, todos los datos fueron recolectados para el periodo 2014 o 2015 y la información es a nivel individual, describe a los individuos, los hogares de los individuos y los municipios donde habitan los individuos.
La variable dependiente "Horas de Trabajo de la Fuerza Laboral" (LFWT) se refiere a los 5 rangos de horas trabajadas semanalmente. Para la corrección de Heckman, utilizamos la variable dicotómica Participación en la Fuerza Laboral (LFP) que asume un valor de 1 si la persona trabajó en el último mes y cero en otro caso.
Las covariables (Xj) incluyen las variables del anexo 1 "descripción de variables". Enseguida se describen las variables utilizadas, así como la referencia de la literatura de donde provienen.
Mujer: utilizamos la variable mujer para captar los efectos de ser mujer en la variable dependiente, se espera que tenga un efecto negativo en LFWT y en LFP.
Ingreso: usamos esta variable para estimar el efecto del ingreso en el hogar de las mujeres en LFWT, la variable es trimestral, se espera que cuanto más bajos sean los ingresos en el hogar de las mujeres, mayor sea su propensión a ingresar al mercado laboral (Benham 1980, Strober 1980).
Salario: este es el precio de la mano de obra que genera incentivos al trabajo como sustituto del ocio, se espera que tenga un efecto positivo en las decisiones de la oferta laboral, ya que un aumento en la tasa salarial conduce a un aumento en los incentivos para trabajar más horas, la variable está en logaritmos, se espera que el incremento en el precio del trabajo genere incentivos a trabajar más horas (Goldin 1995, Mammen y Paxson 2000). Para el caso de las mujeres se espera un comportamiento similar al modelo tradicional de sustitución de trabajo por tiempo libre, donde un aumento en el salario de las mujeres lleva a un aumento en el número de horas de trabajo (Cogan 1980a, 1981, 1980b, Trussell y Abowd 1980, Heckman y MaCurdy 1980, Hanoch 1980, Dooley 1982, Attanasio y Sanchez-Marcos 2008, Hernández-Licona 2000).
Educación: se espera que la educación (en términos de años de educación) presente un efecto positivo en la oferta laboral (Becker 1985, Mincer 1980), por lo que a mayor educación se espera que aumente la propensión a participar en el mercado laboral, para captar este efecto se incorpora la variable educación.
Edad: la edad determina las horas de trabajo (Hatekar, Kumar y More 2014) ya que a mayor edad las personas pueden estar dispuestas a trabajar más tiempo, pero después de alcanzar un máximo la relación es negativa, es decir a mayor edad las personas están dispuestas a trabajar menos tiempo, para captar este efecto se incluyó la variable edad y edad al cuadrado.
Jefe de hogar: se espera que los jefes de hogar, por su condición de jefes del hogar trabajen más horas (Hatekar, Kumar y More 2014).
Capital social: se espera una relación positiva y negativa en la relación entre el capital social y la oferta laboral, por un lado, las redes de apoyo de las mujeres contribuyen a aumentar su participación en el mercado laboral por lo que se espera una relación positiva (López-Rodríguez y De la Torre 2010, 2011, 2012, Lopez-Rodríguez 2014), por otro lado, la acción colectiva de las mujeres es una actividad que requiere tiempo, lo cual afecta negativamente la participación de las mujeres en el mercado laboral, por el costo de oportunidad que esto implica (Gindenhil y O'Neill 2006).
Redes de apoyo para cubrir las necesidades de cuidados: se refiere a las necesidades de cuidado que tienen las mujeres de sí mismas (cuando están enfermas) o de sus hijos y / o familiares. En este sentido Apps et al. (2012) mencionan que cuanto más apoyo tienen las mujeres para los cuidados en el hogar más tiempo tienen para participar en el mercado laboral.
Inclusión financiera: cuando las mujeres tienen mayor acceso a los mercados financieros aumenta su probabilidad de trabajar en el mercado laboral, cuando las mujeres cuentan con recursos para cubrir gastos corrientes o emergentes en el hogar liberan tiempo para dedicar a actividades remuneradas, estas variables funcionan en los dos sentidos (Demirgüç-Kunt, Asli, Klapper y Singer2013).
Guarderías: la presencia de guardarías en el municipio está relacionada positivamente con la oferta laboral, las guarderías podrían liberar tiempo de las personas para dedicar más tiempo a actividades remuneradas, particularmente en el caso de las mujeres (Apps etal. (2012).
Distribución del ingreso o Gini: el ingreso del hogar es un determinante de la decisión de las personas de participar en el mercado laboral, la desigualdad de ingresos tiene efectos en la oferta laboral (Benham 1980, Strober 1980). La curva U invertida de Kuznets (Kuznets, 1955) sostiene una relación positiva entre la desigualdad del ingreso y el crecimiento económico, y la participación en el mercado laboral, el argumento es que la desigualdad de ingresos tiende a aumentar en una etapa inicial de desarrollo y luego disminuye a medida que se desarrolla la economía. La intuición de la curva U invertida es que cuando los ingresos de una economía están en un nivel bajo, solo hay unos pocos individuos ricos, el coeficiente de Gini va aumentando, a medida que aumenta el ingreso, el crecimiento económico se acompaña de un aumento en el empleo y las oportunidades laborales, así como de un aumento en el coeficiente de Gini, cuando el nivel de ingresos de una economía sigue aumentando más personas podrían alcanzar altos ingresos y mejores oportunidades laborales, la inversión de cartera y las ganancias inesperadas de la especulación en acciones y propiedades podrían dar lugar al aumento de individuos ricos (Piketty y Zucman 2014) por lo que se podría esperar tanto una relación positiva como negativa entre la desigualdad del ingreso y la oferta laboral.
Porcentaje de personas que trabajan en el municipio: se espera que cuanto mayor sea la PEA en el municipio, mayor será la posibilidad de las personas de tener trabajo en el municipio.
Rezago social: si las personas tienen pocos recursos para cubrir sus necesidades tendrán menos posibilidades de participar en el mercado laboral (Sen 2001).
V. RESULTADOS
Las discusiones teóricas enfatizan que el salario es un determinante clave del aumento en la participación de las mujeres en la fuerza laboral (Cogan 1980a, 1981, 1980b, Trussell y Abowd 1980, Heckman y MaCurdy 1980, Hanoch 1980, Dooley 1982, Attanasio y Sanchez Marcos 2008). En este sentido, el aumento en la tasa salarial aumenta el costo de oportunidad del ocio y el trabajo no remunerado del hogar, por lo que aumenta la oferta laboral. Por otro lado, el número de hijos aumenta el salario de reserva de las mujeres y reduce su probabilidad de inserción al mercado laboral. En la estimación de nuestro modelo encontramos que el peso de los salarios7 de las mujeres son un factor importante para aumentar la probabilidad de trabajar más horas. De hecho, el salario de las mujeres8 es una de las variables con mayor peso explicativo en la extensión del tiempo laboral de las mujeres (anexo 3)9. El salario de las mujeres se relaciona de manera inversa con la probabilidad de trabajar tiempo parcial (-0.0108) y menos que tiempo parcial (0.0340) y de forma positiva con la probabilidad de trabajar tiempo completo (0.0180) y más que tiempo completo (0.0100), es decir, cuanto mayor es el salario de las mujeres, mayor es su probabilidad de trabajar tiempo completo, pero en el caso del tiempo parcial cuanto mayor es el salario de las mujeres, menor es su probabilidad de trabajar (-0.0108), esto podría estar relacionado con el efecto sustitución, es decir cuando el salario es elevado prefieren destinar parte de su tiempo a otras actividades que a trabajar tiempo completo, como el cuidado de los hijos u otras tareas del hogar (anexo 4), quizás porque el salario no es lo suficientemente alto como para alentar a las mujeres a reemplazar sus actividades del hogar con trabajo en el mercado laboral. Los efectos marginales de la estimación del modelo de Heckman para la corrección del sesgo de selección10 aparecen en el anexo 4 (el valor de o en las estimaciones fue de 0.4546 y fue significativa al 95%).
El ingreso del hogar también contribuye a explicar la extensión de horas de trabajo (-0.0214), aunque esto ocurre de manera inversa, es decir en los hogares con más ingresos la probabilidad de trabajar más tiempo es menor (anexo 3). En el caso de trabajar menos que tiempo parcial y tiempo parcial la relación con el ingreso es positiva, es decir cuando en el hogar hay mayor ingreso hay una mayor probabilidad de trabajar menos que tiempo parcial (0.0065) y tiempo parcial (0.0021) (anexo 4).
Becker (1985) menciona que la educación de las mujeres influye en su ingreso al mercado laboral, cuanto mayor es la educación de las mujeres mayor es la probabilidad de participar en el mercado laboral. Encontramos que cuanto más alto es el nivel educativo, mayor es la probabilidad de trabajar (anexo 3), lo anterior es similar al efecto de los salarios, debido a la alta correlación entre los salarios y la educación, las mujeres con más educación tienen salarios más altos y tienen mayor probabilidad de trabajar que aquellas con menos salarios, lo cual es consistente con Mincer (1980), quien muestra que a mayores años de educación la probabilidad de estar trabajando es mayor.
En cuanto a la presencia de menores de edad en el hogar, el argumento de Hamid (1991) señala que existe una relación negativa entre la presencia de menores en el hogar y la oferta laboral, es decir, entre más dependientes haya en el hogar menor es la probabilidad de trabajar. Encontramos que cuando hay niños en el hogar con edades de 0 a 5 años y de 6 a 12 años de edad mayor es la probabilidad de trabajar (anexo 3), esto confirma los resultados obtenidos por Cogan (1980a), quien encuentra que, si una mujer tiene uno o más niños menores de 6 años, su probabilidad de trabajar cae en casi 20 puntos porcentuales.
Nuestros hallazgos muestran que una mujer tiene menores probabilidades de trabajar (anexo 3), también encontramos que el hecho de ser mujer aumenta la probabilidad de trabajar tiempo parcial (0.1314) y reduce la probabilidad de trabajar a tiempo completo (-0.1590) (anexo 4). También se observó que los jefes del hogar tienen menos probabilidad de trabajar tiempo parcial (-0.0207) y más probabilidad de trabajar tiempo completo (0.0310), es decir, los jefes del hogar tienden a trabajar más que tiempo completo y tiempo extensivo (anexo 4). Esto es consistente con los argumentos sobre género sobre los viajes de trabajo dobles y triples citados en la literatura, ya que, si las mujeres generan el único ingreso en el hogar, deben dedicar más horas a trabajar, pero también las mujeres tienen que estar trasladándose para cubrir sus necesidades de cuidados y sus jornadas laborales (Chinchilla et al 2005).
Cuando las mujeres no encuentran en los mercados los recursos necesarios para satisfacer sus necesidades, usan sus propios mecanismos para satisfacer necesidades, como el caso del capital social a través de redes de apoyo (López-Rodríguez y De la Torre 2010, 2012), el capital social es usado para obtener préstamos, encontramos que el capital social de las mujeres para pedir préstamos está relacionado negativamente con la probabilidad de trabajar tiempo parcial (-0.0038) y positivamente con la probabilidad de trabajar tiempo completo (0.0063), es decir si las mujeres cuentan con ayuda de familiares y amigos para obtener préstamos aumenta su probabilidad de trabajar más tiempo, esto está relacionado con el hecho de que las mujeres no tienen que estar buscando mecanismos adicionales para cubrir emergencias (anexo 4). En términos generales encontramos que el capital social de las mujeres está relacionado positivamente con la probabilidad de trabajar tiempo completo, más que tiempo completo y tiempo extensivo, es decir, cuanto las mujeres usan su capital social para conseguir trabajo, mayor es la probabilidad de que puedan trabajar tiempo completo. Nuestros resultados sostienen la hipótesis de que las redes de apoyo de las mujeres son un mecanismo importante para el empleo de tiempo completo.
También encontramos que cuando las personas tienen apoyo de familiares y amigos para conseguir empleo tienen menor probabilidad de trabajar tiempo parcial (-0.0030) y mayor probabilidad de trabajar tiempo completo (0.0050) (anexo 4) este resultado es consistente con los hallazgos de (Lopez-Rodríguez y De la Torre 2011).
Estimamos otro tipo de capital social relacionado con la cooperación de las personas para realizar mejoras en su localidad y encontramos que este tipo de capital social está positivamente relacionado con la probabilidad de trabajar tiempo parcial (0.0027), pero está relacionado negativamente con la probabilidad de trabajar tiempo completo (-0.0045) (anexo 4), es decir, cuanto mayor sea la cooperación de las personas para realizar mejoras en su localidad, mayor será la probabilidad de trabajar más que tiempo completo11 este resultado es consistente con (López-Rodríguez 2014).
Estos resultados también confirman la hipótesis de Apps et al. (2012) sobre las necesidades de cuidado que enfrentan las personas en casa. Si las necesidades de cuidado son mayores, es menos probable que las personas trabajen más horas. En este sentido encontramos que si las personas necesitan ayuda para ir al doctor tienen mayor probabilidad de trabajar tiempo parcial (0.0020) y menor probabilidad de trabajar tiempo completo (-0.0034) (anexo 4).
La inclusión financiera de las mujeres es un mecanismo importante para cubrir emergencias familiares y para suavizar los flujos de gastos de las familias en educación, salud y nutrición, entre otros. Al respecto el Banco Mundial (World Bank 2012) señala que "la inclusión financiera es un facilitador clave para reducir la pobreza e impulsar la prosperidad de las mujeres12", encontramos que cuando las mujeres viven en municipios con mayor número de instituciones e instrumentos financieros, tienen más probabilidades de estar empleadas (anexo 3). Podríamos asumir que estas instituciones e instrumentos
financieros brindan inclusión financiera a las mujeres lo que les permite cubrir gastos y emergencias corrientes, permitiéndoles disponer de tiempo suficiente para permanecer empleadas, o incluso que la inclusión financiera podría ser una contribución importante a sus propias iniciativas y empresas productivas.
En una sociedad con mayor desigualdad de ingresos, las personas con menores ingresos tenderán a ofrecer más su fuerza laboral (Benham 1980, Strober 1980). Descubrimos que cuanto mayor es la desigualdad dentro de un municipio, mayor es la probabilidad de que las personas estén trabajando (anexo 3). Esto podría estar relacionado con la idea de que la desigualdad genera incentivos suficientes para que las personas busquen oportunidades laborales de tal forma que puedan cubrir sus gastos.
También encontramos que cuanto mayor es el porcentaje de la población económicamente activa (PEA) con respecto al total de adultos en el municipio mayor es la probabilidad de que las personas se encuentren trabajando (anexo 3). Lo que podría mostrar el funcionamiento de los mercados laborales a nivel local, donde una mayor PEA en el municipio genera mayor posibilidad a las personas de trabajar.
Controlamos el modelo estimado también por el factor regional y encontramos que si las personas viven en un municipio en las zonas rurales (menos de 15 mil habitantes) la posibilidad de trabajar es menor, es decir en localidades pequeñas es menos probable que las personas encuentren trabajo (anexo 3).
Finalmente, encontramos que cuando el municipio cuenta con más estancias infantiles para el cuidado de los pequeños, las personas tienen más probabilidades de trabajar tiempo completo, más que tiempo completo y tiempo extensivo (anexo 4). Estos resultados muestran el efecto del cuidado infantil sobre el tiempo de las mujeres que pueden liberar para trabajar. Si tienen acceso a más estancias de cuidado infantil, podrían canalizar más tiempo para trabajar, si así lo desean.
VI. COMENTARIOS FINALES
Los modelos tradicionales del tiempo de trabajo muestran que la mano de obra se ve afectada principalmente por los salarios de las mujeres y su educación (Becker, 1980 y Mincer, 1980). Sin embargo, estudios recientes consideran otros factores asociados con la oferta de mano de obra, que están relacionados con el costo de oportunidad de las mujeres que trabajan (Apps y Rees 2009). Estos modelos consideran que el uso del tiempo de las mujeres determina su capacidad para trabajar a tiempo parcial, tiempo completo o tiempo extensivo.
Los estudios recientes que estiman la oferta laboral de las mujeres incluyen necesidades de cuidado, que las mujeres suelen realizar como parte de su rol de género, lo que limita su tiempo para participar y extender las horas en el mercado laboral (Apps et al. 2012). También consideran el uso del capital social de las mujeres o sus redes de apoyo para satisfacer sus necesidades de empleo y compensar la baja cobertura de protección social, las necesidades de cuidados y el financiamiento, entre otras necesidades (Gindenhil y O'Neill 2006, López-Rodríguez y De La Torre 2010), estos estudios muestran que el capital social de las mujeres tiene un efecto para liberarles tiempo en el hogar y aumentar su tiempo de trabajo. Los estudios recientes encontraron variables geográficas que estiman el efecto de la heterogeneidad laboral de las mujeres, la cual está relacionada con características regionales de la oferta y demanda de trabajo (Ermisch y Wright 1993, Demirgüç-Kunt, Klapper y Singer 2013).
Considerando estos nuevos enfoques, encontramos que a medida que el capital social de las mujeres es mayor, es más probable que trabajen tiempo completo (alrededor de 40 horas en una semana). Cuando las mujeres cubren sus necesidades de cuidados es más probable que trabajen más horas, adicionalmente encontramos que la inclusión financiera aumenta la probabilidad de las mujeres de estar trabajando.
Al igual que otros modelos que estiman la oferta laboral, también encontramos que las horas de trabajo están determinadas por el salario de las mujeres, y la acumulación de capital humano medida como el número de años de escolaridad. La presencia de niños pequeños en el hogar también afecta el uso del tiempo de las mujeres en el trabajo remunerado y no remunerado, los resultados de este estudio también apoyan la hipótesis sobre el efecto negativo de la presencia de niños menores de edad en la oferta de trabajo.
Estos hallazgos tienen varias implicaciones políticas, en lo que se refiere al nivel educativo de las mujeres, los resultados apuntan a un nivel crítico de educación que debe lograrse para obtener beneficios económicos en términos de los rendimientos del capital humano y la participación en el mercado laboral. El capital social, a través de las redes sociales, puede tanto excluir como incluir a las mujeres en el mercado laboral. La inclusión financiera y la asistencia para el cuidado del hogar ayuda significativamente a las mujeres para incrementar su oferta laboral.
La importancia del contexto resalta en los estudios de la oferta laboral de las mujeres porque el espacio geográfico afecta tanto el tiempo de las mujeres en el hogar como el uso del tiempo para trabajar.
Por otro lado, algunos estudios del mercado laboral no toma en cuenta la inclusión de las mujeres en el mercado laboral desde una perspectiva de género, no estudian por ejemplo las redes informales de cuidado infantil, no consideran la disponibilidad de servicios formales de cuidados, como guarderías y centros de cuidado infantil (Lowndes, 2004), al hacerlo, la mayoría de los estudios relegan las actividades de cuidado a la esfera doméstica, reduciendo la importancia de esta relación y la asumen como establecida. Tener en cuenta estos aspectos abre el terreno de las políticas públicas y la acción colectiva para resolver problemas que afectan la oferta laboral de las mujeres.
Con respecto a la inclusión financiera, algunos de los principales inconvenientes están relacionados con el tratamiento de la información, los datos sugieren que una mayor cobertura municipal de servicios financieros no significa necesariamente un mayor acceso para las mujeres. Este estudio expone la necesidad de políticas públicas para la inclusión financiera de las mujeres, lo cual incide en su participación en el mercado laboral, así como en niveles más altos de bienestar para ellas y sus familias adicionalmente generar información sobre la inclusión financiera efectiva de las mujeres.
Las pautas de política públicas para reducir el sesgo de género en las decisiones laborales de las mujeres y las brechas de género en el mercado laboral pueden incluir mejorar la infraestructura para reducir la carga del trabajo doméstico, dependiendo del nivel de desarrollo, esto puede variar desde la disponibilidad de electricidad y agua, hasta servicios de saneamiento, carreteras y transporte, así como servicios de cuidado, especialmente el cuidado de niños. Otras estrategias pueden incluir el equilibrio del trabajo remunerado y no remunerado y programas para aumentar la participación paterna de los padres, cambiando los costos y beneficios de la especialización de género, principalmente asegurando que los impuestos y las transferencias no creen desincentivos para las familias con doble ingreso. Otra medida puede incluir compensar las oportunidades de empleo desiguales basadas en género, como eliminar el impacto adverso de las interrupciones de la carrera, a través de un permiso bien pagado y el derecho de retorno al puesto. Otra alternativa consiste en las campañas públicas para desafiar los estereotipos de género y garantizar la correcta implementación de la legislación contra la discriminación.
Las reformulaciones en las políticas sociales en México podrían ayudar a promover la inclusión económica y social, especialmente para las mujeres pobres. En particular, el aumento de la progresividad de los programas desde una perspectiva de igualdad de género podría aumentar sus posibilidades de trabajar a tiempo completo y reducir el excesivo tiempo de trabajo no remunerado.
NOTAS
λ Este trabajo fue financiado por OXFAM México y la Universidad Iberoamericana (para la presentación en seminarios). El artículo fue expuesto y presentado en diferentes foros nacionales e internacionales como el International Initiative for Promoting Political Economy (IIPPE) Social Capital Working Group y en la revista Femenist Economics. Las autoras agradecen los comentarios recibidos en los diferentes foros donde fue expuesto.
1 Las necesidades de cuidado se refieren al cuidado que reciben las personas de la tercera edad, los niños pequeños y las personas enfermas. El término difiere de cuidado, guardería o necesidades porque este grupo de población específico requiere atención constante de los demás y no es necesario clasificarlos como personas enfermas, en general.
2 Según Folbre (2006) la economía del cuidado incluye el trabajo de cuidado no remunerado, el trabajo que no es de mercado, el trabajo de cuidado dentro de la economía remunerada se puede conceptualizar en términos de su relación con el mercado (pagado, no pagado), sus características implican participación personal o emocional y la orientación se refiere al grupo de cuidados como los niños, enfermos, personas con algún tipo de discapacidad, etc.
3 También puede haber trabajadores no remunerados en el campo del mercado laboral (aprendices, trabajadores familiares, etc.), pero el interés aquí es la división entre el trabajo que se realiza en el mercado laboral y el que se realiza en el ámbito del hogar en forma no remunerada.
4 En la economía de género se identifica el tipo de estructura económica en la que se basa la asignación del TnR (dimensión de distribución) y la forma en que se valida un principio de diferenciación de status, que resulta en una condición de subordinación de las mujeres (dimensión de reconocimiento). El artículo 201 de la Ley de Seguridad Social de México muestra un ejemplo de las desigualdades legales en la dimensión de distribución, que establece beneficios de guarderías de la seguridad social para mujeres, pero solo excepcionalmente para hombres, cuando son viudos o están divorciados y tienen la custodia legal de sus hijos.
5 Según Folbre (2006) la economía del cuidado incluye el trabajo de cuidado no remunerado, el trabajo que no es de mercado, el trabajo de cuidado dentro de la economía remunerada se puede conceptualizar en términos de su relación con el mercado (pagado, no pagado), sus características implican participación personal o emocional y la orientación se refiere al grupo de cuidados como los niños, enfermos, personas con algún tipo de discapacidad, etc.
6 51.4% de la población en México son Mujeres, de las cuales 50.1% son esposas, 51.8% tiene dependientes económicos, 53.9% de las mujeres tiene un nivel de estudios menor de secundaria, ENIF 2018.
7 Aunque existe un problema de endogeneidad en los salarios de las mujeres en la ecuación de interés, priorizamos resolver el sesgo de selección debido a que existen diferencias estadísticas entre las mujeres que están dentro y las que están fuera del mercado laboral, este hecho es el supuesto básico para determinar la propensión a trabajar más horas en el mercado laboral.
8 La variable se encuentra en logaritmos para quitar el efecto de las disparidades excesivas de las variables monetarias.
9 Los resultados del modelo estimado se presentan en el anexo 3 y los efectos marginales para cada uno de los rangos de tiempo se presentan en el anexo 4. Los efectos marginales se refieren a los outputs de la estimación del modelo principal en cada uno de los rangos de la variable LFWT.
10 Al estimar el modelo de Heckman no rechazamos la hipótesis nula de sesgo de selección, el valor de χ2 fue 30.81 y la prob> χ2 fue de 0.0000.
11 El tipo de capital social SK2 y SK3 estimado no fue significativo en el caso de las mujeres, es decir, los coeficientes en el caso de las mujeres no fueron significativos.
12 World Bank Group (2016), Financial Inclusion, consulted on January 2016, http://www.worldbank.org/en/topic/financialinclusion.
REFERENCIAS BIBLIOGRÁFICAS
Ángeles, Gustavo, P. Gadsden, S. Galiani, P. Gertler, A. Herrera, P. Kariger, y E. Seira (2014) The impact of daycare on maternal labour supply and child development in Mexico, 3ie Impact evaluation report. New Delhi: International Initiative for Impact Evaluation (3ie). [ Links ]
Apps, P. and Rees, R. (2009). Public Economics and the Household. Cambridge University Press, Cambridge. [ Links ]
Apps, P. (2003). Gender, Time Use and Models of the Household. Australian National University Centre for Economic Policy Research, Discussion Paper 464, June 2003. [ Links ]
Apps, P., Kabátek, J. Rees, R. and Van Soest, A. (2012). Labor Supply Heterogeneity and Demand for Child Care of Mothers with Young Children. Networkfor Studies on Pensions, Aging and Retirement. [ Links ]
Agarwal, B. (1994). A Field ofOne's Own: Gender andLand Rights in South Asia. Cambridge, UK: Cambridge University Press. [ Links ]
Arceo-Gómez, E. O. and Campos-Vázquez, Raymundo M. (2014). Evolución de la brecha salarial de género en México. El Trimestre Económico, Fondo de Cultura Económica 323: 619-653, julio-sep. [ Links ]
Attanasio, L. and Sanchez-Marcos (2008). Explaining Changes in Female Labor Supply in a Life-cycle Model. American Economic Review 98 (4): 1517-52. [ Links ]
Becker, G. S. (1985). Human Capital, Effort, and the Sexual Division of Labor. Journal of Labor Economics 3 (1): S33-S58. [ Links ]
Benham, L. (1980). Benefits of Women Education within Marriage. Journal of PoliticalEconomy 82 (2) II. [ Links ]
Boserup, E. (1970). Women's Role in Economic Development. London: Allen & Unwin. [ Links ]
Calderón, Gabriela The Effects of Child Care Provision in Mexico. Documentos de Investigación N° 2014-07. México: Banco de México. [ Links ]
Chant, S. (2003). New Contributions to Analysis of Poverty: Methodological and Conceptual Challenges to Understanding Poverty from a Gender Perspective. Serie Mujery Desarrollo 47, CEPAL. [ Links ]
Chen, Martha A. (1983). A Quiet Revolution: Women in Transition in Rural Bangladesh. Cambridge, MA: Schenkman Publishing Co., Inc. [ Links ]
Chinchilla, N., Steven P., León C. (2005). Mujeres directivas bajo el techo de cristal International Center ofWork and Family. [ Links ]
Christoforou, A. and Pisani, E. (2015). Social Capital and Rural Development in Southern European Regions: The case of EU-funded LEADER projects. 1 st World Congress of Comparative Economics, Rome, June 25-27. [ Links ]
Cling, J. Razafindrakoto, P., and Roubaud, F. (Eds). (2014). The Informal Economy in Developing Countries. Oxford and New York: Routledge. [ Links ]
Cogan, J. F. (1977). Labor Supply with Time andMoney Costs ofParticipation. Rand Co. [ Links ]
_____ (1980a). Married Women's Labor Supply: A Comparison of Alternative Estimation Procedures. in J. Smith, (ed.), Female Labor Supply, Princeton University Press, Princeton, pp. 90-118.
_____(1980b). Labor Supply with Costs of Market Entry. in J. Smith (ed.), Female Labor Supply, Princeton University Press, Princeton: 327-359.
_____(1981). Fixed Costs and Labor Supply. Econometrica 49: 945-64. [ Links ]
Cox, A. (1989). Labor Supply Price, Market Wage, and the Social Opportunity Cost of Labor. Economic Development and Cultural Change. The University of Chicago. [ Links ]
Demirguc-Kunt, A., Klapper, L. and Dorothe, S. (2013). Financial Inclusion and Legal Discrimination against Women: Evidence from Developing Countries. Policy Research Working Paper. The World Bank. [ Links ]
Dooley, M. D. (1982). Labor Supply and Fertility of Married Women: An analysis with Grouped and Individual Data from the 1970 US Census. Journal of Human Resources 17 (4) Fall: 499-532. [ Links ]
Ermisch J. and Wright, R.. (1993). Wage Offers and Full-Time and Part-Time Employment by British Women. Journal of Human Resources 28 (1): 111-133. [ Links ]
Folbre, N. (1982). Exploitation Comes Home: A Critique of the Marxian Theory of Family Labor. Cambridge Journal ofEconomics 6 (4): 317-29. [ Links ]
_________ (1983). Of Patriarchy Born: The Political Economy of Fertility Decisions. Feminist Studies9 (2): 261-84. [ Links ]
_____ (1994). Who Takes Care of the Kids? Gender and the Structures of Constraint, Routledge: London and New York.
____(2001). The Invisible Heart: Economics andFamily Values, New York: The New Press.
____ (2006). Measuring Care: Gender, Empowerment, and the Care Economy. Journal of Human Development 7 (2), July, Routledge. [ Links ]
Gammage, Sarah y Mónica Orozco, "El trabajo no remunerado dentro del hogar Guatemala y México". Serie Estudios y Perspectivas, CEP AL, México 2008. [ Links ]
García, Brígida (2019) El trabajo doméstico y de cuidado: su importanciay principales hallazgos en el caso mexicanoEstudios Demográficos y Urbanos vol. 34, núm. 2 (101), mayo-agosto, 2019, pp. 237-267. [ Links ]
García, Brígida; Pacheco, Edith. 2014. Uso del tiempo y trabajo no remunerado en México. México: El Colegio de México, A.C., ONU Mujeres, Instituto Nacional de las Mujeres. [ Links ]
García, Brígida y Orlan dina de Oliveira (2004) Trabajo extradoméstico femenino y relaciones de género: una nueva mirada. Estudios Demográficos y Urbanos, núm. 55, enero-abril, 2004, pp. 145-180. México: El Colegio de México. [ Links ]
Gasper, D. (2007). Adding links, adding persons, and adding structures: Using Sen's frameworks. Feminist Economics 13 (1): 67-85. [ Links ]
Gidengil and O'Neill. (2006). Removing Rose Colored Glasses: Examining Theories of Social Capital through a Gendered Lens. in Brenda O'Neill and Elisabeth Gidengil (eds.), Gender and social capital, Taylor & Francis Group, New York. [ Links ]
Goldin, C. (1995). The U-Shaped Female Labor Force Function. in Economic Development and Economic History in T.P. Schultz (ed.), Investment in Women's Human Capital, The University of Chicago Press, Chicago. [ Links ]
Gronau, R. (1974). The Effect of Children on Housewife's Value of Time. [ Links ]
_________(1979). Leisure, Home Production, and Work-the Theory of the Allocation of Time Revisited.
Grossbard, Sh. (2005). A Model of Labor Supply, Household Production, and Marriage. in Advances in Household Economics, Consumer Behaviour and Economic Policy, edited by Tran Van Hoa, London: Ashgate Publishing. [ Links ]
Hamid, A. (1991). The decline of crack use in New York City: Drug policy or natural controls. International Journal On Drug Policy 2 (5). [ Links ]
Hanoch, G. (1980). A Multivariate Model of Labor Supply: Methodology and Estimation. in James P. Smith (ed.), Female Labor Supply, Princeton University Press. Princeton: 249-326. [ Links ]
Hatekar, N., Kumar A. and More K. (2014). Determinants of Women's Labor Supply in the Urban Unorganised Sector in Mumbai. The Indian Journal of Labor Economics 57 (2). [ Links ]
Heckman, J. (1974a). Effects of Child-Care Programs on Women's Work Effort. [ Links ]
___________ (1974b). Shadow Prices, Market Wages and Labor Supply. Econometrica 42 (4). [ Links ]
___________ (1979). Sample selection Bias as a Specification Error. Econometrica (47) 1: 153-161. [ Links ]
___________ (1988). Time Constraints and Household Demand Functions. In T. P. Schultz (ed.), Research in Population Economics: A Research Annual, JAI Press.
___________ and Macurdy, T. (1980). A life-cycle model of female labor supply. Review ofEconomic Studies 47 (1): 47-74. [ Links ]
Hernández-Licona, G. (2000). Reshaping the Labor Supply Curve for the Poor. presented at the Annual Meeting ofthe Latin American and Caribbean Economic Association, Rio de Janeiro, Brazil, and November. [ Links ]
Kabeer, N. (1994). Realidades Trastocadas: Las jerarquías de género en el pensamiento del desarrollo. Género y Sociedad. Programa Universitario de Estudios de Género. México: UNAM. [ Links ]
__________ (1999). Resources, Agency, Achievements: Reflections on the Measurement of Women's Empowerment. Development and Change 30 (3): 435-464. [ Links ]
Killingsworth, M. and Heckman, J. (1986). Handbook of Labor Economics, 1, in O. Ashenfelter and R. Layard (eds.), Elsevier Science Publishers B V. [ Links ]
Kuznets, Simon (1955). Economic Growth and Income Inequality. The American Economic Review Vol. 45, No. 1 (Mar., 1955), pp. 1-28. [ Links ]
Legendre, P. (1993). Spatial Autocorrelation: Trouble or New Paradigm?, Ecology, Volume 74, Issue 6, September 1993: 1659-1673. [ Links ]
Lopez-Rodriguez, P. and De la Torre, R. (2010). Social Capital in the Presence of Market Failures. InternationalJournal of SocialInquiry, MPRA Paper No. 22972. [ Links ]
_____________________________________(2011). Closing the gap: the link between social capital and microfinance services en Heritage, Regional Development and Social Cohesion, Fornvardaren 31.
_________________________________ (2012). El capital social de los pobres y su acceso a los mercados formales. en Patricia López-Rodríguez e Isidro Soloaga compiladores en Capital socialy política pública en México, Editorial El Colegio de México, Junio 2012.
___________(2014). El capital social y las políticas públicas en México, en Sophie Avila Foucat editora en Medios de Vida Sustentablesy capitales en comunidades rurales, Editorial Miguel Angel Porrúa, agosto 2014, cap. 8.
Lowndes, V. (2004). Getting On or Getting By? Women, Social Capital and Political Participation. British Journal ofPolitics and InternationalRelations 6 (1): 45-64. [ Links ]
Mammen, K. and Paxson, M. (2000). Women's Work and Economic Development. Journal ofEconomic Perspectives 14: 141-64. [ Links ]
Mincer, J. (1962). Labor Force Participation of Married Women: A Study of Labor Supply. Aspects of Labor Economics Volume, Princeton University Press. [ Links ]
__________(1980). Labor Force Participation of Married Women: A Study of Labor Supply. in Aliech Amsden (ed.), Economics of Women and Work, England: Penguin Books.
Montgomery, M. (1988). On the Determinants of Employer Demand for Part-time Workers. Review of Economics andStatistics 70 (1): 112-17. [ Links ]
Nussbaum, M. C. (2003). Capabilities as Fundamental Entitlements: Sen And Social Justice. Feminist Economics 9 (2-3): 33-59. [ Links ]
OIT. (2012). Global Employment Trends for Women. RetrievedJuly 31, 2017, from http://www.ilo.org/global/research/global-reports/global-employment-trends/WCMS_195447/lang--en/index.htm. [ Links ]
Orozco, M., Beltrán, B. and Straffon, B. (2016). Incorporación de la perspectiva de género en la medición oficial de la pobreza. México: Instituto Nacional de las Mujeres, ONU Mujeres. [ Links ]
___________ y Carlos Salgado, "Capital Social y Género", en López-Rodríguez P., Soloaga, I., Capital Social y Política Pública en México, El Colegio de México, México, 2012. [ Links ]
Pedrero, M. (2014). Importancia del trabajo no remunerado: su medición y valoración por medio de las encuestas de uso del tiempo. En B. García y E. Pacheco (coords.), Uso del tiempo y trabajo no remunerado en México (pp. 53-114). Ciudad de México: El Colegio de México, A.C. / ONU-Mujeres / Instituto Nacional de las Mujeres (Inmujeres). [ Links ]
Piketty, Thomas y Gabriel Zucman (2014). Capital is Back: Wealth-Income Ratios in Rich Countries 17002010, The Quarterly Journal ofEconomics, Volume 129, Issue 3, August 2014, Pages 1255-1310, https://doi.org/10.1093/qje/qju018. [ Links ]
Putnam, R. (1995). Turning In Turning Out: The strange disappearance of social capital. in America, Political Science & Politics 28 (4): 664-683, December. [ Links ]
Sagrario-Floro, M. (1995). Economic restructuring, gender and the allocation of time. World Development 23 (11): 1913-1929 [ Links ]
Sen, Amartya (2001). The many faces of gender inequality. Frontline (18) 22. [ Links ]
______________(1999). Development as Freedom, Nueva York, Anchor Books.
Strober, M. (1980). Wive's Labor Force Behaviour and Family Consumption Patterns. in Alech Amsden (ed.), Economics ofWomen and Work. England: Penguin Books. [ Links ]
Tepichín, A., Straffon, B., Barrera L. and Tovar, C. (2009). Desagregación de líneas de pobreza para hombres y mujeres. Cuadernos de Trabajo 2, México: INMUJERES. [ Links ]
Tessier, L., Stern, M., Plaza, C., Behrendt, F., Bonnet, and St-Pierre Guibault, E. (2013). Social'protection floors andgender equality: a brief overview, Geneva. ILO. [ Links ]
World Bank Group (2016). Financial Inclusion. Retrieved January 2016 from http://www.worldbank.org/en/topic/financialinclusion. [ Links ]
Trussell, T. J. and Abowd. J. M. (1980). Teenage Mothers, Labor Force Participation and Wage Rates, Canadian Studies in Population 7: 33-48. [ Links ]
UNWomen (2016). Facts and Figures: EconomicEmpowerment. Retrieved January 2016 from http://www.unwomen.org/en/what-we-do/economic-empowerment/facts-and-figures#_ednref23. [ Links ]
World Bank (2012). The World Development Report 2012: Gender Equality and Development. Retrieved January 2016 fromhttps://siteresources.worldbank.org/INTWDR2012/Resources/7778 105-1299699968583/7786210-1315936222006/Complete-Report.pdf. [ Links ]
Yasukawa, Y., Ortuño and Brockman (2009). Derechos y Política Social. Proceso delperiódico La Prensa de La Paz, Bolivia, December 28. [ Links ]
Zacharias, A. (2011). The Measurement of Time and Income Poverty. Working Paper No. 690, Levy Economics Institute. [ Links ]
van Soest, A. and Stancanelli, E. G. F. (2010). Does Income Taxation Affect Partners' Household Chores?. IZA Discussion Papers 5038, Institute for the Study of Labor (IZA). [ Links ]
van Soesta, A., M. Dasb and X. Gong. (2002). A structural labor supply model with flexible Preferences. Journal ofEconometrics 107: 345-374. [ Links ]
van Soesta, A., M. Dasb and X. Gong. (2002). A structural labor supply model with flexible Preferences. Journal ofEconometrics 107: 345-374. [ Links ]
Wooldridge, J. M. (2000). Introductory Econometrics: A modern approach, South -Western College Publishing. [ Links ]

















