Servicios Personalizados
Revista
Articulo
Indicadores
-
Citado por SciELO -
Accesos
Links relacionados
-
Similares en
SciELO
Compartir
Economía Coyuntural
versión impresa ISSN 2415-0622versión On-line ISSN 2415-0630
Revista de coyuntura y perspectiva vol.4 no.2 Santa Cruz de la Sierra jun. 2019
ARTÍCULOS ACADÉMICOS
Oportunidades escolares para jóvenes en dos ciudades
mexicanas
School opportunities for young people in two mexican
cities
Emma Liliana Navarrete Lópezπ, Yuliana Gabriela Román Sánchezλ
π Investigadora de El Colegio Mexiquense A.C., México, enavarr@cmq.edu.mx.
λ Investigadora del Centro de Investigación y Estudios Avanzados de la Población, UAEMex.,
México, ygromans@uaemex.mx.
Recepción: 27/01/2019 Aceptación: 03/03/2019
Resumen
Las ciudades son distintas en términos de extensión, población y recursos. Las oportunidades que brindan también son diferentes. En este artículo asume la importancia de la escuela como integrador social y se analiza para dos ciudades mexicanas la probabilidad que tienen los jóvenes de no abandonar sus estudios. Se estima un modelo de regresión logística binaria para encontrar el peso de las variables (individuales, familiares y contextuales) que influyen en el abandono escolar, utilizando datos para el año 2015. Los resultados muestran la importancia del contexto económico regional que marca la diferencia vulnerando más a algunos grupos juveniles.
Palabras clave: Juventud urbana, asistencia escolar, México, Acapulco, Chihuahua.
Abstract
The cities are different in terms of extension, population and resources. The opportunities they offers are also different. This article analyzes two Mexican cities, and the objective is to know the probability that young people don´t leave scholl, according to the fact that the school is a space that integrates them into society. A binary logistic regression model is estimated to find the weight of the variables (individual, family and contextual) that influence school attendance, using data for 2015. The results show the importance of the regional and economic context that makes the difference further harming some youth groups.
Key words: Urban youth, school attendance, Mexico, Acapulco, Chihuahua.
Clasificación JEL: R11, I2.
1. Introducción, justificación y objetivo
En América Latina y el Caribe se ha completado la primera transición urbana, hoy casi 80% de sus habitantes vive en ciudades. Este proceso de urbanización, si bien ha permitido que existan zonas altamente desarrolladas, también ha generado desabastos, falta de servicios, desequilibrios y desigualdades (ONU-Habitat, 2016). El caso de México no es la excepción.
México es un país con casi 2,000 millones de kilómetro cuadrados, con una población de más de 120 millones de personas, contenidas en una gran diversidad regional y económica. La población que vive en localidades urbanas asciende a78%, quienes habitan en 367 ciudades, incluidas 57 zonas metropolitanas.
Vivir en las ciudades, por un parte permite habitar en espacios donde se concentra la riqueza, los ingresos, las oportunidades de vivienda, el acceso a servicios de educación y de diversa infraestructura. De hecho, arriba del 50 por ciento del capital económico de México proviene de ellas; no obstante, en estos espacios también se aglutinan problemas y desigualdades sociales (ONUHABITAT, 2016). En el caso mexicano las desigualdades en las ciudades se expresan en términos de extensión, población, riquezas, oportunidades, segregación, pobreza.
En este trabajo, nos interesa comparar dos ciudades: la de Acapulco y la de Chihuahua, vistas en función de su población joven y, en específico, de su permanencia en la escuela. Estas dos ciudades permiten ejemplificar dos modelos de desarrollo y de oportunidades diferentes. A saber: como un primer acercamiento tenemos la localización, Acapulco es un puerto ubicado en la región sur-sureste del país, en el estado de Guerrero; Chihuahua es la capital del estado del mismo nombre, se encuentra al norte y es parte de una entidad que colinda con los Estados Unidos de América. En cuanto a su población, ambas tienen características muy similares en el tamaño y en la estructura etaria. Con relación al contexto económico, Acapulco concentra su economía en los servicios, y hasta el siglo XX fue una ciudad muy importante en el renglón turístico de carácter internacional, posteriormente pasó a ser un refugio de vacaciones principalmente nacionales. La ciudad de Chihuahua concentra maquila de exportación y ha ido logrando un auge relativo en la economía estatal y nacional. Aunado a esto, las dos están inmersas en una violencia in crescendo en la que la población joven está inmersa. Todas estas situaciones (que en los apartados siguientes serán comentadas con mayor detalle) generan oportunidades distintas que trastocan la cohesión social y en el caso específico de la población joven, lastiman particularmente uno de los espacios de inserción más importantes para este grupo: la vida escolar, lo que a futuro puede repercutir en problemas de inserción en el mercado laboral.
Este documento parte de la propuesta de que las desigualdades estructurales potencian las desigualdades individuales y más en poblaciones en formación, como son los jóvenes que aquí se analizan. Siguiendo a Fitoussi y Rosanvallon (2003), asumimos que estos grupos de población aparentemente iguales (como los jóvenes deberían serlo) aumentan sus diferencias ante contextos variados, aun conteniendo condiciones familiares e individuales parecidas.
Asumiendo que estamos en dos espacios diferentes, buscamos responder ¿cuáles son las circunstancias o los factores que inciden en mayor medida en la permanencia de los jóvenes en el ámbito escolar? ¿Es el individuo en sí mismo, es su capital cultural heredado del hogar familiar o es el contexto y las oportunidades del lugar que habitan la que lleva el mayor peso? Para esto se identifican factores de tipo individual (sexo, edad, nivel escolar, estado conyugal), de tipo familiar (edad del jefe de familia, sexo, nivel de escolaridad, estado conyugal, sector económico, jornada y posición laboral de éste), se identifican los dos contextos (Ciudades de Acapulco y Chihuahua). El universo es el grupo de población de 15 a 24 años (divididos en dos rangos etarios: 15-19 y 20-24). La fuente de información que se utiliza es la Encuesta Nacional de Ocupación y Empleo (ENOE), primer trimestre de 2015**. Esta encuesta permite conocer tanto el aspecto educativo como el laboral, y además posibilita revisar la información a partir de la organización familiar con representatividad para ambos espacios. Se construye un modelo de regresión logística binaria, donde la variable latente hace referencia a los jóvenes que aun asisten a la escuela y a aquellos que no lo hacen, eso permite encontrar el peso de las variables que intervienen en que la población joven continúe estudiando.
Para lograr el objetivo, en adelante se anota la relevancia del papel de la escuela; posteriormente se muestran las características poblacionales y económicas entre ambas ciudades; en seguida se presenta una somera descripción de la población joven en las ciudades de Acapulco y de Chihuahua. Se describen después la fuente de datos y las bases metodológicas del modelo utilizado, así como la exposición de resultados, análisis y discusión. Se finaliza con algunas conclusiones.
2. La permanencia en la escuela
Dentro de las desigualdades sociales una muy importante es la que tiene que ver con el ámbito escolar. Las brechas en la formación educativa no tienen que ver sólo con el desempeño y esfuerzo personal de los individuos, sino que están altamente relacionadas con los rasgos de la condición social de origen y con las deficiencias institucionales (Solís, 2010), mismas que se potencian en los espacios con mayores rezagos.
El nivel educativo alcanzado por la población es un indicador multifactorial; nos revela por un lado el número de años en la educación formal, pero también la estructura de oportunidades y de acceso a la educación (en este caso la situación socioeconómica familiar y el acceso real a los centros educativos), mismos que permiten lograr o no un buen desempeño escolar††.
El abandono escolar es una problemática real en el país‡‡ y es un efecto vinculado a distintos agentes: puede ser una decisión racional que visualiza a la escuela como un espacio poco formativo, que no aportará mucho más de lo que ya ha dado (sobre todo con miras a entrar al mercado laboral) (Breen y Goldthorpe, 1997). O bien puede ser resultado de un mal binomio alumno-escuela en donde condiciones adversas como reprobar o el difícil acceso (por los exámenes de ingreso o simplemente por la distancia) dan lugar al abandono de las aulas (Audas y Willms, 2001), en este sentido, más bien la escuela es la que expulsa. Un tercer enfoque es que la familia y el capital cultural heredado tienen también un peso significativo en la permanencia o abandono escolar. Bordieu hace referencia cuando habla del capital cultural al conocimiento, a la disposición y a las habilidades que pasan de generación en generación en las familias. Este capital se transmite por dos vías: como disposiciones de la mente que se toman en forma inconsciente y suponen un proceso de inculcación y asimilación, como estado objetivado que se da bajo la forma de bienes y objetos culturales, ya sean libros, diccionarios, etcétera, y como estado institucionalizado que tiene que ver con los certificados escolares (Bourdieu, 1978). En esta propuesta, el apoyo recibido de los hogares tendrá un papel importante en la asistencia o no asistencia a la escuela.
Los tres enfoques influyen y se complementan. De tal forma que las situaciones personales y familiares, culturales y el acceso y oportunidades educativas, forman un todo que se mezcla y que permite identificar elementos por los que algunos jóvenes continúan estudiando y por lo que otros abandonan la escuela.
Para el Estado, la educación e invertir en ella, debería ser una prioridad; la escuela es uno de los espacios que integran y socializan a la población joven en el presente y que les da herramientas o debería darlas para su inclusión laboral en el futuro inmediato. La escuela es el lugar en donde se adquieren las habilidades y competencias para incorporarse al mercado laboral y además otorga herramientas de socialización que permiten a los jóvenes tener más opciones en cuanto a sus decisiones y deseos, principalmente a la población femenina (Mier y Terán, 2013). La educación es, así, una pieza fundamental para la integración, para la movilidad social y ayuda al desarrollo productivo de una sociedad al contribuir a la reducción de desigualdades.
En México, el gasto invertido en educación no es suficiente. En 2015 alcanzó el 13.8% del presupuesto federal (649,540.6 millones de pesos), cantidad que fue empleada para cubrir gastos de nómina, infraestructura, libros, capacitación, entre otros, tanto para la educación básica, media y superior (CIEP en línea). Si bien la cifra presupuestal aumenta cada año, comparada con otros países el monto es mínimo; por ejemplo, lo que se invierte por alumno en México corresponde a menos del 20% que la inversión por alumno en los Estados Unidos (Cortés Macías, 2015). Además, las diferencias en el territorio mexicano son contundentes: el estado de Guerrero (donde su ubica la ciudad de Acapulco) invierte mucho menos que el promedio nacional. Chihuahua lo hace por arriba del promedio (Ciep, en línea).
La deficiente inversión educativa repercute no sólo en la calidad de la enseñanza de los estudiantes, sino que promueve el abandono o deserción escolar. La permanencia escolar está asociada al tipo de contenidos básicos que se enseñan en las escuelas, a la forma de enseñanza, a los planes escolares y a la infraestructura en general. Ante este mundo globalizado y altamente tecnificado entre los jóvenes, resulta cada vez más difícil atrapar el interés de las y los alumnos (CEPAL, 2007). De modo tal que, al no lograr captar la atención, la deserción escolar de la población joven ocurre.
En el país la tasa de abandono escolar en el periodo 2014-2015 fue para los jóvenes con estudios de secundaria de 4.3%; para los que contaban con estudios de nivel medio superior de 13% (16% hombres y 12.2% mujeres). En los estudios profesionales la deserción alcanzó la cifra de 22.1% según indicadores del programa sectorial de educación otorgados por la Secretaría de Educación Pública. Sin duda la deserción escolar puede conducir a una problemática profunda y sugiere un reto para México.
El lugar en el cual los jóvenes se mueven, donde viven y estudian, juega un papel fundamental, ya que en éste se crean y se plasman las posibilidades reales para la deserción o el éxito escolar, y luego las de la inserción en el mercado laboral. Las ciudades, en este caso, otorga o debe otorgar los recursos y la estructura de oportunidades. Esta estructura de oportunidades la definimos como la probabilidad real de acceder a bienes y servicios y, por ende, lograr bienestar a nivel familiar e individual; en este caso se entiende que (parafraseando a Katzman, 1999), acceder a determinados bienes (como la escuela) proveerá recursos a futuro que facilitarán mejores oportunidades y cohesión social.
3. La Cd. de Acapulco y la Cd. de Chihuahua: población, economía y oportunidades para los jóvenes.
Al agrupar en un mismo espacio los bienes, los servicios y las inversiones, las ciudades cumplen con un papel de proveedor, no sólo para los residentes del entorno citadino, sino que atraen a aquellos de espacios circundantes quienes cubrirán parte de sus necesidades (salud, educación, recreación, empleo y otros) en los espacios mejor provistos. En este sentido resulta natural pensar que las ciudades generan oportunidades y que el contexto urbano origina dinámicas demográficas y económicas similares en tanto se definen como ciudades. Pero no es así, veamos las diferencias entre las ciudades de Chihuahua y de Acapulco.
Para empezar, el crecimiento económico de una ciudad depende del volumen de su población, pero también de qué, cómo y cuánto produce (Sobrino, 2010) y también de cómo se distribuye lo generado. En el caso de las ciudades seleccionadas, tanto la de Chihuahua como la de Acapulco, ambas son consideradas ciudades medias, debido a que tienen entre 100,000 y 1000,000 de habitantes: la ciudad de Chihuahua cuenta con 878,062 habitantes según cifras de la Encuesta Intercensal de 2015 y la de Acapulco con 810,669. Las dos, además, son parte de una zona metropolitana: la Cd. de Acapulco es parte de la Zona Metropolitana de Acapulco, junto con el municipio de Coyuca de Benítez; esta Zona Metropolitana fue definida así por su conurbación intermunicipal (SEDESOL, 2014). La ciudad de Chihuahua por su parte conforma, con los municipios de Aldama y Aquiles Serdán, la Zona Metropolitana de Chihuahua, fue definida como Zona Metropolitana por la Política Urbana (SEDESOL, 2014).
En cuanto a sus características demográficas, la ciudad de Acapulco presentó una tasa de crecimiento de 2.0% en la década de 1990-2000, misma que descendió a 0.87% en el periodo 2000-2010 (INEGI, 2010a). Un mismo comportamiento decreciente se presentó en la ciudad de Chihuahua con tasas de crecimiento de 2.4% y 1.9%, respectivamente. Ambas han descendido sus tasas, pero continúan creciendo lentamente debido a la inercia demográfica, sin embargo, Acapulco lo hace a un ritmo mucho menor (INEGI, 2010b).
En cuanto a la producción, los datos obtenidos del Censo Económico 2014 (cuadro 1), muestran que, a pesar de tener prácticamente el mismo volumen poblacional, las diferencias del personal ocupado, así como de las remuneraciones e inversiones de estas dos ciudades son abismales. A partir de esto cobra mayor sentido el compararlas con base en el análisis realizado por el Instituto Mexicano para la Competitividad en 2012 (IMCO) que señala que Acapulco, en cuanto a su competitividad, se encuentra en el nivel muy bajo, mientras que la ciudad de Chihuahua se ubica en el medio alto. La competitividad, señala el IMCO, está relacionada con la posibilidad de invertir y, a largo plazo, mejora el ingreso per cápita y la calidad de vida.
La productividad laboral está también vinculada a la competitividad general (IMCO, 2012:24). Una de las maneras en que se ha medido la relevancia económica de las ciudades y/o entidades es a partir de su productividad, cuantificada vía la productividad del trabajo (Gutiérrez, et. al., 2016). Estos últimos autores desarrollaron un estudio considerando la productividad del trabajo dentro de la industria manufacturera para cuatro distintos años (1993, 1998, 2003 y 2008); para estimar esta productividad consideraron el valor agregado y el personal ocupado. Sus hallazgos resultan relevantes para nuestro estudio, porque muestran que Guerrero (entidad donde se ubica Acapulco, es de las menos productivas; mientras que el estado de Chihuahua (cuya capital lleva el mismo nombre) se encuentra dentro de un rango medio-alto§§, sobre todo a partir de 1998.
Otro elemento importante para conocer las características económicas y fortalezas de las ciudades es a partir de los servicios que brindan. Al respecto, Araceli Damián muestra que hay profundas diferencias en cuanto a la estructura económica y social de las ciudades en México (Damián, 2010). La ciudad de Chihuahua, en su estudio, está ubicada entre las de mayor bienestar, con índices de carencia bajos en todos los rubros. Pero Acapulco queda posicionada en el antepenúltimo lugar entre las de menor nivel de bienestar. Uno de los mayores problemas de esta ciudad señala la autora se debe a las malas condiciones en la vivienda (Damián, 2010).
En cuanto al terreno educativo, se encuentran también elementos a considerar entre las dos ciudades. El promedio de escolaridad de los mexicanos para 2015 fue de 9.1: en Guerrero, entidad donde se encuentra Acapulco era de 7.8 y en el estado de Chihuahua de 9.5 años (Cifras de la Encuesta intercensal 2015 en Inegi en línea).
En ambas ciudades, al igual que en el país, entre las edades de 15 a 24 años no hay prácticamente analfabetas. Las cifras captadas en la Encuesta Intercensal de 2015, registran que la gran mayoría de los mexicanos ha tenido acceso a la educación, aunque con algunas diferencias: en Acapulco, por ejemplo, 6.8% (habitantes de todas las edades) respondió no tener ninguna escolaridad; mientras que en la ciudad de Chihuahua en esa misma condición se encontró 1.4%.
Por otra parte, la misma encuesta revela que en Acapulco hay mayor porcentaje de población con nivel de escolaridad de primaria, mucho más que en el caso de la ciudad de Chihuahua. En el nivel de educación media superior, en Chihuahua el porcentaje de personas que han cursado ese nivel es de 24.3% y en Acapulco de 25.5%; pero en el de educación superior Chihuahua obtiene la cifra de 29.5% y Acapulco sólo de 16.5% (INEGI, 2015). También hay diferencias contundentes en la tasa de deserción escolar, siendo más alta en Acapulco que en Chihuahua.
Otro elemento que ha impactado a ambas ciudades en la última década es el de la violencia creciente. En 2015 despunta (el Economista, 2017) y para 2017 la tasa de homicidios por cada 100,000 habitantes en la Cd. de Acapulco alcanza la cifra de 106.63 y en la Cd. de Chihuahua de 49.48. En esta espiral violenta los jóvenes aparecen altamente representados, tanto en su papel de víctimas como de victimarios. Rossana Reguillo (2012) en un crudo pero excelente artículo evidencia, a partir de entrevistas hechas por ella y revisando las noticias cotidianas, la cada vez mayor presencia de hechos violentos en todo el país, en gran medida ligados a delincuencia y narcotráfico; pero junto al incremento en volumen*** de manera paralela ella evidencia el terror que queda en la población, pues ante la combinación de violencia e impunidad todos terminamos, dice la autora, siendo matables, lo que daña el tejido social. Esta situación está cada vez más presente en ambas ciudades.
La inseguridad y el miedo son rasgos que están presentes en los escenarios mexicanos y que nos atañen a todos lo que aquí vivimos, pero los jóvenes viven de manera particular este fenómeno. José Manuel Valenzuela (2010) considera que hay una falta de respeto a la seguridad y vida de los jóvenes, prueba de ello son los feminicidios, el incremento de jóvenes en situación de calle, la falta de opciones educativas y laborales, la criminalización a las formas de organización juveniles. Azaola (2012) por otra parte considera tres miradas para entender la actual violencia en el país, desde a) las formas de violencia que han existido siempre y hasta hace poco eran incluso toleradas, b) el debilitamiento y descomposición de las instituciones de seguridad y de impartición de justicia, y c) la falta de políticas sociales y económicas para reducir las desigualdades y que permitan generar inclusión de todos los sectores sociales.
Esto atañe al país y en particular a las dos ciudades aquí analizadas. En Acapulco la violencia no para, las cifras nos reportan que en 2015 ocurrieron 2721 muertes vinculados específicamente a la violencia, para 2016 la cifra ascendió a 2844, la cual no ha parado hasta hoy (página CNN en línea, 2018). En el caso de Chihuahua, también la violencia va en aumento, aunque a una tasa menor que la reportada para Acapulco. No obstante, la Cd. de Chihuahua concentra a 13.3% de los homicidios de esa entidad, siendo reportada, en 2016 como uno de los sitios donde la población se siente más insegura (sólo por debajo de Cd. Juárez, localidad chihuahuense donde se concentra la mayor violencia de esta entidad) (página oficial de México Evalúa, 2018).
4. Algunas características de los jóvenes de las ciudades de Acapulco y de Chihuahua
En términos demográficos tanto Acapulco como la Ciudad de Chihuahua tienen una estructura joven: la edad mediana de Acapulco es de 26 años y la de Chihuahua de 28. Según las cifras de la Encuesta Intercensal de 2015, el porcentaje de jóvenes de 15 a 24 años para cada ciudad es de 18.23% y de 17.76%, respectivamente.
En adelante se utilizan las cifras de la Encuesta Nacional de Ocupación y Empleo de 2015 (ENOE-2015). Separamos los datos en dos grupos etarios: los de 15 a 19 años que contempla al grupo de menor edad, más vinculados a su familia de origen y también más ligados a la vida estudiantil, y el grupo de 20 a 24, quizá con nuevas obligaciones debidas a la unión y la llegada de los hijos, lo que puede alejarlos del terreno educativo; aunque también los jóvenes de este grupo, si no han truncado su trayectoria escolar, serán los que han logrado la mayor escolaridad.
En este apartado la intención es comparar algunos datos descriptivos de los jóvenes de ambas ciudades, como antesala a la discusión de los determinantes que influyen en su permanencia en el terreno educativo.
El primer punto que llama la atención es que Acapulco cuenta con una población ligeramente más joven que la de la Cd. de Chihuahua, esto se evidencia claramente al desagregar por grupo de edad a nuestro universo de estudio (cuadro 2). Con relación al nivel escolar, también se percibe que Acapulco presenta jóvenes con escolaridades menores a los de la Cd. de Chihuahua. Principalmente en el nivel medio superior y superior, donde se encuentran los jóvenes de 20 a 24 años, las distancias porcentuales entre ambas ciudades se amplían, resultando mucho más favorecidos los jóvenes del entorno de Chihuahua, quienes en mayor medida han alcanzado el nivel medio superior y superior. Otro aspecto que resalta es la diferencia entre ellos y ellas: las mujeres suelen presentar niveles de escolaridad ligeramente más altos que los hombres en las dos ciudades.
En cuanto a su situación conyugal, queda evidente que los jóvenes de la ciudad de Acapulco se unen más temprano, y se separan menos que los de la Cd. de Chihuahua. Se encuentran también diferencias entre ambos sexos según este rubro: hay muchas más mujeres unidas que hombres unidos en las dos ciudades, ligeramente más en Acapulco, esto puede indicar o bien que ellas declaran más su unión, o que se están uniendo con jóvenes de más edad, no representados en este estudio.
Con relación a la situación laboral, las cifras muestran que, en general, las y los más jóvenes son menos activas/os que los de más edad, además tienen mayor presencia en el mercado de trabajo los jóvenes hombres que las mujeres: entre los más jóvenes (15 a 19) las diferencias genéricas son muy pronunciadas; entre los adultos jóvenes (de 20 a 24 años), la situación es similar, aunque menos pronunciada.
Al observar la relación entre ellos y ellas por ciudad, también se perciben profundas diferencias: en Acapulco los trabajadores varones jóvenes (de 15 a 19 años) casi duplican su presencia en comparación con las jóvenes activas de la misma edad que viven en el puerto; mientras que entre los y las de la Cd. de Chihuahua la diferencia es menos contundente. Estos datos parecen reflejar que Acapulco tiene conductas más tradicionales que reflejan con mayor fuerza las desigualdades de género, de hecho, en las cifras sobre las tareas de la población no activa (PNEA), vemos que las mujeres de Acapulco son las que más participan en el trabajo doméstico de sus hogares. En cuanto a otras tareas de la población joven no activa, los resultados muestran que en el grupo de 15 a 19 años casi la tercera parte estudia (la cifra es poco más alta en Chihuahua que en Acapulco). En el grupo de más edad, las diferencias entre las dos ciudades se profundizan: alrededor de 12% de los que viven en la ciudad de Chihuahua estudian, pero sólo lo hace en promedio el 7% de los que habitan en Acapulco.
Pero ¿qué hacen los jóvenes activos?, entre ambos grupos de edad hay diferencias: alrededor de la quinta parte de los más jóvenes tanto de Acapulco como de la Cd. de Chihuahua, no están disponibles para incorporarse a trabajar, lo que revela la no necesidad o no interés de insertarse al mercado laboral, estando, incluso, menos disponibles las mujeres que los hombres (recordemos que ellas tienen ya una carga doméstica importante). Menos de tres por ciento de estos jóvenes respondió estar atento y listo para incorporarse a trabajar. Entre el grupo de más edad, los no disponibles disminuyen, y son las mujeres de Acapulco las que muestran la cifra más alta (ocho puntos porcentuales arriba que los varones del mismo grupo). Es decir, las mujeres jóvenes de 20 a 24 años que viven en el puerto son en este estudio las menos interesadas en incorporarse al mercado laboral.
Esta mirada descriptiva nos da una visión muy amplia de lo que ocurre con el universo que nos ocupa. Nos permite conocer que se trata de un universo en su mayoría soltero, con escolaridad por arriba de la secundaria, que los chihuahuenses han estudiado mayor número de años y que las mujeres, todas, pero más las de Acapulco, permanecen más en casa.
Pero para lograr el objetivo planteado al inicio de este artículo, se requiere de un análisis más profundo, mismo que se presenta a continuación.
5. Los datos y el método
5.1 Fuente de datos
Los datos utilizados, como se ha dicho, provienen del primer trimestre de 2015 de la Encuesta Nacional de Ocupación y Empleo (ENOE), la cual forma parte del conjunto de encuestas en hogares que levanta el Instituto Nacional de Estadística y Geografía (INEGI). La ENOE representa la base de datos más importante para analizar las características ocupacionales de la población de 15 años y más a nivel nacional, estatal, por ciudad y en el contexto rural/urbano††† y capta de manera cuidadosa los datos sobre nivel y asistencia escolar.
El levantamiento de la ENOE se realiza bajo un diseño estadístico robusto, en este proceso destaca la reformulación de los sistemas de captura, la validación, la entrevista, los manuales operativos, la evaluación de la consistencia y verificación de la información, entre otros. El muestreo utilizado es probabilístico, bietápico, estratificado y por conglomerados, lo cual garantiza que las estimaciones de las variables queden cubiertas con el tamaño de muestra, que asciende a 120,260 viviendas trimestralmente. Cabe destacar que la información que presenta la ENOE está ajustada a las proyecciones demográficas actualizadas del Consejo Nacional de Población (CONAPO) del año 2013.
Dado que la muestra de la ENOE es estadísticamente significativa por ciudad es posible profundizar en el análisis del tema de la educación de los jóvenes en la Cd. de Chihuahua y en Acapulco‡‡‡.
El total de la muestra ascendió a 1,095 jóvenes de 15 a 24 años de edad para Chihuahua y 1,105 para Acapulco, que representan a 151,602 y 119,753 jóvenes, respectivamente. Para descartar problemas respecto al tamaño de la muestra y que los resultados fueran consistentes para cada ciudad seleccionada, se estimó un modelo de regresión logística binaria en Stata versión 13 agregando el comando svyset, el cual declara que los datos provienen de encuestas complejas, designa variables que contienen información sobre el diseño de la muestra específica, declara el método por default para la estimación de la varianza, etc. En este caso, los resultados de la regresión logística binaria fueron consistentes.
5.2 Modelo de regresión logística binaria
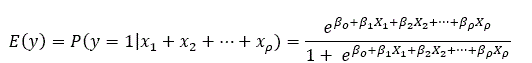
El modelo de regresión logística, en general, es una técnica estadística que permite predecir el comportamiento de una variable dependiente (latente) en función de un conjunto de variables independientes, donde la dependiente es discreta y categórica. Existen varios tipos: binaria, multinomial y ordinal (Escobar, Fernández y Bernardi, 2012). En el caso particular de la regresión logística binaria, la variable dependiente puede tomar solo dos valores: 0 cuando no se cumple el evento y 1 cuando se cumple.
Matemáticamente la ecuación de la regresión logística es la siguiente:

Donde:
E(y): representa la probabilidad de ocurra el evento (y = 1)
xρ: variables independientes
![]()
En el presente artículo se estimó para la población joven de 15 a 24 años de edad un modelo de regresión logística binaria para cada ciudad seleccionada. Donde la variable dependiente (Y) constituye una variable discreta con dos categorías, mutuamente excluyentes, población joven que estudia (Y = 1) y otro grupo de jóvenes que no lo hace (Y = 0).
Por su parte, las variables independientes están clasificadas en individuales (características de la población joven) y familiares (aspectos del jefe del hogar) tal como se observa en el cuadro 3. En este sentido, la estimación de la regresión logística binaria muestra la probabilidad que tienen los jóvenes para dedicarse a estudiar dada su edad, sexo, nivel de escolaridad, estado conyugal,así como la edad del jefe de familia, su sexo, nivel de escolaridad, estado conyugal, sector económico, jornada y posición laboral.
La selección de las variables utilizadas surge de la información descriptiva, y de información que otros estudios (Navarrete y Román, 2016; Escoto y Navarrete, 2018, entre otros) han mostrado. Entre los condicionantes individuales se ha visto que aparecen con pesos significativos la edad: que marca transformaciones del ciclo vital, ya que está relacionada con responsabilidades familiares y educativas; el sexo del/la joven que, como vimos en párrafos arriba, da cuenta de diferencias culturales que aun en poblaciones jóvenes que empiezan a mostrar cambios en sus conductas, siguen reproduciendo patrones desiguales; el nivel escolar: es una de las variables que suponemos tendrá un sentido relevante en tanto que la salida de la escuela debería ocurrir al concluir la escolaridad, y la situación conyugal cuya influencia repercute principalmente en la población femenina.
Con relación a los condicionantes familiares se consideran: la edad del jefe de familia, variable que muestra la posible estabilidad y madurez del padre del hogar; su sexo, para identificar el tipo de jefatura, pues la pertenencia del joven en un hogar con jefatura femenina o masculina, arrojará cambios en la propensión a realizar otras tareas; la situación conyugal del jefe, creemos que permitirá mostrar si la unión de los padres es un peso que cobija más a los jóvenes; las otras características tienen como objeto ubicar el aspecto socioeconómico del hogar revisadas por información de la o del jefe de hogar: el nivel de escolaridad, sector económico, jornada y posición laboral.
A partir de dichas variables, los dos modelos estimados (uno para la población joven de la Cd, de Chihuahua y el otro para los jóvenes de Acapulco) muestran las predicciones de las razones de probabilidad para que los jóvenes estudien. La categoría de referencia fue la población joven que no estudia.
Los resultados se presentan en el cuadro 4. El cual muestra los coeficientes, la significancia de cada variable y el momio de probabilidad de cada una de éstas.
La bondad de ajuste de los modelos estimados se realizó con las siguientes pruebas: máxima verosimilitud, la X2, Pseudo R2 o McFadden R2, Pseudo R2 Ajustada o McFadden R2 Ajustada, Count R2, Count R2 Ajustada, AIC, BIC, entre otras§§§(cuadro 5). Los resultados sugieren un buen ajuste por parte de ambos modelos, para el caso de Chihuahua el ajuste asciende a 66.0% mientras que para Acapulco fue de 53.8%. Estas cifras representan la proporción de predicciones correctas derivadas de los modelos estimados. Asimismo, para comprobar si los coeficientes de las variables independientes eran estadísticamente significativos se llevó a cabo el test de Wald, la probabilidad asociada al valor z. También se analizó la significancia de dos variables simultáneamente y se comprobó estadísticamente si el efecto de dos coeficientes era el mismo.
En general, los resultados muestran que los modelos de regresión logística binaria son apropiados para los datos.
6. Análisis de resultados y discusión
6.1 Factores que influyen para que los jóvenes continúen estudiando
Las cifras muestran que tanto para la Cd. de Chihuahua como para Acapulco las características individuales de los jóvenes como del contexto familiar en el que se desenvuelven influyen, positiva o negativamente, en su asistencia escolar, aunque no todas fueron estadísticamente significativas (cuadro 4).
Dentro de las similitudes en los resultados, se puede destacar que en ambas ciudades la edad y la situación conyugal de los jóvenes tienen un efecto negativo en la asistencia de éstos a la escuela. Mientras que el nivel de escolaridad de la población joven, la edad del jefe de hogar, la escolaridad del tutor y un ambiente de unión familiar tienen un efecto positivo para que ellos y ellas continúen estudiando, en comparación con quienes no lo hacen. Si bien este comportamiento se presenta en las dos ciudades analizadas, la intensidad, peso o importancia que tienen cada variable es diferencial. Es decir, como esperábamos, hay variables que inhiben y otras que impulsan la presencia de estos jóvenes a participar en la escuela.
Veamos con detalle.
En Acapulco cada vez que los jóvenes cumplen un año más de vida, reducen la razón de probabilidad de continuar en la escuela en 0.53 veces, 11% más del impacto que tiene esta variable en la ciudad de Chihuahua (0.42 veces). Es decir, las trayectorias escolares de los jóvenes de Acapulco se interrumpen mucho más, se fragmentan dando menos oportunidades a los jóvenes de tener carreras escolares exitosas. Según cifras de la Encuesta Nacional de la Juventud cuyo último levantamiento data de 2010, se estimó que en Guerrero (donde se ubica la Cd. de Acapulco) de cada 1000 jóvenes, menos de 200 continuaban estudiando cuando tenían entre 20 y 24 años, mientras que en el estado de Chihuahua en igual situación se encontraban poco más de 200 jóvenes (Jauregui y Ávila, 2016).
Las razones de este abandono escolar, aunque el modelo no puede señalarlas, seguramente están vinculadas a las exigencias del mismo hogar para ingresar a un empleo y completar el gasto, o por el poco interés de continuar en la escuela, pero también por la falta de escuelas que motiven el interés de estas jóvenes.
Otra variable que reduce la razón de probabilidad de que los jóvenes asistan a la escuela tiene que ver con la unión, es decir: que estén unidos o reporten haber estado alguna vez unidos. En términos cuantitativos, esta situación impacta más en la ciudad de Chihuahua que en Acapulco: los jóvenes unidos de la ciudad del norte disminuyen la posibilidad de continuar estudiando en 0.15 veces mientras que en el puerto el impacto es de 0.10 veces, en comparación con los jóvenes nunca unidos. Lo anterior está relacionado con las responsabilidades que van adquiriendo los y las jóvenes al formalizar un hogar, así como la manutención de los hijos; esto impacta un poco menos en la zona del puerto.
Respecto a las variables que tienen un efecto positivo para que los jóvenes continúen con la vida estudiantil destaca el nivel escolar con el que cuentan; de hecho, esta variable es la más importante en ambas ciudades, las cifras muestran que los y las jóvenes que tienen más estudios aumentan la razón de probabilidad de continuar su trayectoria académica, es decir: si han logrado ya contar con un nivel educativo por arriba del promedio, la intención será no abandonar la escuela, no perder el esfuerzo ya invertido. Pero el peso según el espacio territorial es diferente. En el caso de la ciudad de Chihuahua las y los jóvenes que tienen estudios de nivel medio superior incrementan su razón de probabilidad de asistir a la escuela en 42.9 veces, en comparación con la población joven que solo tiene estudios de primaria. Este momio de probabilidad fue diez veces mayor en esta ciudad que en el puerto turístico (donde la cifra es de 4.34 veces). En otras palabras, la Cd. de Chihuahua contiene muchísimo más a sus jóvenes en las escuelas que la de Acapulco, principalmente entre aquellos que cuentan con niveles educativos elevados. Entre los jóvenes de la ciudad de Chihuahua la escuela presenta mayor relevancia que entre los del puerto de Acapulco, esto cobra sentido si recordamos, como se comentó en el apartado contextual, que la Cd. de Chihuahua tiene una veta industrial que va cobrando impacto, mientras que los servicios -que es el giro de Acapulco- van perdiendo dinamismo. Quizá los jóvenes se pregunten para qué estudiar más si la dinámica económica de su espacio cotidiano no se los demanda.
Las características del jefe del hogar (edad, estado conyugal y nivel de escolaridad) son otras variables que influyen de manera positiva para que los jóvenes continúen sus estudios. No obstante, es el nivel académico del tutor la variable que más interviene para que los jóvenes se ubiquen en dicha situación, aunque con niveles distintos en ambos territorios. Cuando los jefes de hogar cuentan con licenciatura o posgrado, los jóvenes de la ciudad de Chihuahua tienen 1.91 veces más posibilidad de estar en la escuela, respecto a aquellos cuyos padres solo tienen estudios de primaria. La razón de probabilidad para el caso de la población joven acapulqueña es algo menor (1.39 veces). El capital cultural, tal como lo ha planteado Bourdieu (1978) cobra sentido en este resultado.
Para estimar los efectos marginales de las variables significativas se ejecutó un solo modelo considerando ambas ciudades, los resultados se muestran en la gráfica 1. Cabe señalar que con esta estimación el sexo de los jóvenes deja de ser una variable estadísticamente significativa, al igual que el tipo de jefatura del hogar y cuando los jefes de hogar están casados.
Pero aparecen efectos negativos y positivos: en cuanto a los primeros, en ambas ciudades, la edad, la unión conyugal de la población joven y el provenir de un hogar con jefes no unidos tienen efectos negativos para que la población juvenil continúe estudiando. En otras palabras, en los dos contextos al incrementar la edad, los jóvenes reducen la probabilidad de continuar sus estudios, también lo hacen cuando se unen, lo cual tiene sentido pues el curso de vida de los y las jóvenes se transforma con la edad y con la unión al adquirir nuevas responsabilidades. Asimismo, los resultados reflejan que los y las jóvenes que provienen de hogares con jefes de hogar no unidos reducen la posibilidad de continuar en la escuela.
De lado opuesto se encuentran las variables que impactan de manera positiva, como el nivel de escolaridad de los jóvenes, la edad del padre o tutor y la escolaridad del jefe de hogar, que promueven que los jóvenes continúen estudiando, aunque la variable de mayor peso e importancia es la escolaridad de la población joven. En paralelo, se observa que también las características del jefe de hogar influyen: una mayor madurez en cuanto a la edad de los padres junto con un mayor nivel de escolaridad de éstos conduce a mantener a la población joven en la escuela.
De manera concreta los datos señalan que tener un nivel de escolaridad más alto conduce a que los jóvenes deseen aumentar su nivel educativo. Tener padres mayores y escolarizados también robustece la probabilidad de los jóvenes por continuar estudiando Por lo tanto resulta indispensable mantener a la población joven en un ambiente educativo que los incentive, es importante que vean a la escuela como el mecanismo de mejora y de movilidad social ascendente en su vida futura, lo cual está vinculado con los apoyos familiares y también con la dinámica y necesidades laborales en cada zona, que oferten empleos en los que los y las jóvenes puedan insertarse al concluir su vida escolar.
Respecto a la situación de las ciudades en las que habitan, es decir, comparando la importancia del contexto de Acapulco y de la ciudad de Chihuahua, los resultados muestran que en el puerto la población joven tiene 15% menor probabilidad de seguir estudiando en comparación con los jóvenes de la otra ciudad del análisis. Este hallazgo, aunque no estadísticamente significativo, evidencia que las condiciones de la localidad sí influyen para que los jóvenes, en este caso, tengan más o menos oportunidades de educación. De manera que no sólo son características o decisiones individuales o del jefe de hogar sino también interviene el territorio donde se desenvuelven, el contexto donde se desarrollan y la estructura de oportunidades que se ofrecen. En este estudio, de manera más precisa, los jóvenes de la ciudad de Acapulco tienen mayor posibilidad, respecto de aquellos jóvenes que residen en la de Chihuahua de abandonar la escuela.
Es decir, confirmamos que la permanencia escolar es un fenómeno multifactorial en donde: condiciones individuales como la escolaridad, condiciones familiares como la edad y escolaridad de los padres, así como las características del entorno, como Chihuahua, en este ejemplo, que ofrece mejores oportunidades, permiten que la escuela se convierta en un elemento importante para la vida de las y los jóvenes y no se abandone tempranamente.
En suma, el efecto que tiene cada variable en la razón de probabilidad de la población joven de seguir estudiando no es resultado de la casualidad o solo de las decisiones propias de cada joven, del sexo, de la edad, del estado conyugal o del nivel de escolaridad. El efecto diferencial también responde a las características del contexto familiar y también a la estructura económica relacionada con la base productiva que sostiene cada ciudad, y que a su vez está determinada por factores políticos y sociales.
Reflexiones finales
Vivir en áreas urbanas no siempre es sinónimo de una vida con calidad. Las dos ciudades aquí contempladas, Chihuahua y Acapulco, presentan similar concentración de individuos, pero no de recursos, y esto último es lo que las diferencia profundamente, al menos en las posibilidades que ofrecen a su población joven para participar en el sistema educativo. Esto es importante ya que durante años se ha manejado la importancia de aprovechar el bono demográfico, como si contar con un contingente de población joven per se, llevara a mejorar la situación de una comunidad o de un país.
La presencia de los jóvenes en estos dos contextos urbanos uno en cierto sentido competitivo y otro más bien deprimido es diferente. Las circunstancias personales y familiares son rebasadas por las oportunidades educativas y por las diferencias económicas, de infraestructura y de acceso del espacio donde habitan.
La respuesta a la pregunta acerca de qué variables inhiben la presencia de los jóvenes en las aulas se responde mencionando que, en términos individuales, en primer lugar, está la edad: conforme se transita a la adultez, la vida escolar pierde fuerza, si bien este no es un hallazgo novedoso, sí lo es el peso de su impacto, ya que en la ciudad más próspera (en este ejercicio el caso de la Cd. de Chihuahua), la asistencia escolar también se inhibe conforme se tienen más años, pero disminuye con menor intensidad que en un espacio con mayores rezagos (como el puerto de Acapulco). También la unión inhibe. Los roles de estos jóvenes se transforman y la escolaridad pasa a segundo plano.
Se mostró que en un espacio donde hay más oportunidades laborales, educativas y en general se tiene una mejor calidad de vida, la escuela es un incentivo importante y puede ser una opción entre los jóvenes, incluso puede ser vista como una inversión (Breen y Goldthorpe, 1997). Si un joven vive en una ciudad que ofrece servicios, infraestructura educativa y cierto bienestar, y si además él o ella han logrado estudios en el nivel de preparatoria, probablemente continuarán estudiando esperando obtener un certificado y luego una recompensa laboral.
Aunado a esto, si el jefe de familia del hogar del joven tiene estudios universitarios, la probabilidad de no dejar la escuela crece, y crece más en las ciudades más competitivas. El capital cultural tiene un peso, como lo ha dicho Bourdieu, pero éste se nutre más en espacios con mayores oportunidades. Está claro que no todo es una cuestión de anhelo personal o deseo familiar, sino que tiene que ver con las oportunidades del entorno de referencia, el cual arropa o expulsa.
Para concluir, queremos dejar en claro que la asistencia de los jóvenes a la escuela no es un elemento aislado. Desde luego intervienen el interés y aspiraciones personales y también las posibilidades familiares, no hay duda de que el capital cultural que se tenga en el hogar incide en la posibilidad de continuar estudiando o no, pero el contexto local también debe ofrecer oportunidades de desarrollo que los jóvenes aprovechen y den paso a potenciar las características individuales y familiares. Si las oportunidades contextuales no existen en las comunidades, el interés y aspiraciones de los jóvenes no tendrán dónde desenvolverse, al menos no podrán hacerlo en espacios propicios y dentro de la legalidad.
Notas
** El análisis para 2015 permite contar con información para las dos ciudades de la Encuesta Intercensal de 2015. Cifras necesarias para la revisión contextual.
†† Desde luego que la interrupción escolar también tiene múltiples motivos: abandonar temporalmente la escuela para insertarse al mercado laboral, finalizar un nivel educativo que se asume como suficiente, ser parte de una estrategia familiar ante la pobreza, escases de escuelas para continuar avanzando en los niveles educativos, etcétera (Vgr. Solís y Blanco, 2014 para la Ciudad de México; Hernández y Flores, 2016, para el total nacional).
‡‡ En el caso mexicano donde el nivel de educación básica es un derecho y actualmente toda la población en principio accede a él, las cifras muestran que no todos lo concluyen. Considerando nueve años, sólo 58% lo termina en el tiempo estipulado (cifras para 2013 en INEE, 2014), la cifra se incrementa conforme se avanza en niveles superiores.
§§ No hay que olvidar que la tradición económica de ambas ciudades es muy diferente: Acapulco es un puerto que todavía hace 20 años era muy atractivo a nivel nacional e internacional, hoy ya no lo es y su lugar ha sido ocupado por Cancún. Chihuahua, en cambio tiene una fuerte tradición en la manufactura, la cual se ha robustecido al paso del tiempo.
*** Esta autora (Reguillo 2012) siguiendo notas periodísticas, particularmente del periódico El Universal relata que entre el grupo de 15 19 años el homicidio creció 124% de 2007 a 2009 y entre el grupo de 20 a 24 el incremento fue de 156% (Reguillo, 2012:38)
††† Rural cuando el tamaño de la localidad sea menor a 2,500 habitantes y Urbano mayor a 2,500 habitantes.
‡‡‡ La otra fuente de información que permite contar con información desagregada a ese nivel es la Encuesta Intercensal, levantada en el mismo año, cuyos datos se utilizaron en apartados anteriores.
§§§ Para la definición de cada prueba consultar Escobar, Fernández y Bernardi, 2012.
Bibliografía
Audas, R. y Willms, J. (2002), Engagement and dropping out of school: A life-course perspective. Applied Research Branch, Human Resources Development Canada. [ Links ]
Azaola, E. (2012). La violencia de hoy, las violencias de siempre. Desacatos Revista de Ciencias sociales (en línea) núm. 40. Septiembre-diciembre, pp. 13-32. Disponible en:<http://www.redalyc.org/articulo.oa?id=13925007001> ISSN 1607-050X [ Links ]
Breen, R., y Goldthorpe, J. (1997), Explaining Educational Differentials: Towards a Formal Rational Action Theory, Rationality and Society, 9: 275-305. [ Links ]
Bourdieu, P. (1978). La juventud no es más que una palabra. En Sociología y cultura. Grijalbo-Conaculta, México. [ Links ]
CEPAL. (2007). Calidad de la educación: las desigualdades más allá del acceso y la progresión educativa. Panorama Social de América Latina 2007. CEPAL: Chile. [ Links ]
Cortés Macías, O. (2015). Evaluación del gasto educativo en México. Desarrollo Regional. Centro de Estudios Sociales y de Opinión Pública de la Cámara de Diputados, México, CDMX. [ Links ]
CIEP. Página electrónica del Centro de Investigación Económica y Presupuestaria https://ciep.mx/gasto-en-educacion-2015/ [ Links ]
CONAPO (2012). Catálogo. Sistema Urbano Nacional 2012. Consejo Nacional de Población, Secretaría de Desarrollo Social y Secretaría de Gobernación, México. [ Links ]
Damián, A. (2010). La pobreza en México y en sus principales ciudades. En Gustavo Garza y Martha Schteingart (coord.) Los grandes problemas de México. Desarrollo Urbano y regional, El Colegio de México, México. [ Links ]
El Economista (2017). Cinco ciudades en el top de violencia de ONG, consulta en línea https://www.eleconomista.com.mx/politica/Cinco-ciudades-mexicanas-en-el-top-10-de-violencia-de-ONG-20180306-0164.htm [ Links ]
Escoto, A., E.L. Navarrete (2018). Qué hacer para ser NiNi. Recuperando las particularidades de los jóvenes que no estudian y no trabajan en México y El Salvador. Papeles de Población, vol. 24, núm. 96. Universidad Autónoma del Estado de México, México Disponible en: http://www.redalyc.org/articulo.oa?id=11256062009 DOI: https://doi.org/10.22185/24487147.2018.96.20 [ Links ]
Fitoussi, J.P., P. Rosanvallon (2003). La nueva era de las desigualdades, Manantial, Argentina, Buenos Aires. [ Links ]
Gutiérrez-Flores, L. M. Velázquez-Villalpando y G. F. Verduzco (2016). Dinámica y distribución de la productividad del trabajo en México después de la apertura industrial. En Economía, Sociedad y Territorio, XVI (50), El Colegio Mexiquense A.C., México, Estado de México, Zinacantepec. [ Links ]
Hernández Bringas, H., R. Flores Arenales. (2016). El rezago educativo y las razones por las que los jóvenes abandonan los estudios en A. Chavez, R. Corona y C.J. Echarri. Los jóvenes mexicanos en la encrucijada de 2010. UNAM, México. Pp. 137-172 [ Links ]
IMCO. (2012). Índice de competitividad urbana 2012. Instituto Mexicano para la Competitivdad, México, Ciudad de México, México en http://porciudad.comparadondevives.org/archivos/libro/Indice_de_Competitividad_Urbana_2012.pdf", 6 de febrero de 2016. [ Links ]
INEGI. (2015). Tabulados de la Encuesta Intercensal. Instituto Nacional de Geografía y Estadística en "http://www3.inegi.org.mx/sistemas/tabuladosbasicos/default.aspx?c=33725&s=est", 20 de febrero 201604.pdf" \t "_blank > 27 febrero de 2016 [ Links ]
INEE (Instituto Nacional para la Evaluación de la Educación) (2014), Panorama Educativo de México 2013. Indicadores del Sistema Educativo Nacional. Educación Básica y Media Superior, México: INEE. [ Links ]
Jauregui, J.A, M.J. Ávila (2016). Panorama educativo de los jóvenes en México, 2010 en A. Chavez, R. Corona y C.J. Echarri. Los jóvenes mexicanos en la encrucijada de 2010. UNAM, México. Pp. 95-135- [ Links ]
Katzman, R. (1999). Marco conceptual sobre activos, vulnerabilidad y estructura de oportunidades, Comisión Económica para América Latina y el Caribe, Oficina de Montevideo, Uruguay, Montevideo. [ Links ]
Mercado Escobar, M., E. Fernández Macías y F. Bernardo (2012). Análisis de datos con Stata, Serie Cuadernos metodológicos, 45, Centro de Investigaciones Sociológicas, España, Madrid. [ Links ]
Mier y Terán, M. (2013). Pautas reproductivas: la escolaridad y otros elementos explicativos, C. Rabell Romero (coord.) Los mexicanos un balance del cambio demográfico, FCE, México, pp. 306-349. [ Links ]
Navarrete, E.L., Y. Román Reyes (2016) Young People Not in Education, Employment or Training in Mexico, 2005 and 2012. International Journal of Business and Social Science, Vol. 7, No. 4; April, USA en https://ijbssnet.com/journals/Vol_7_No_4_April_2016/7.pdf [ Links ]
ONU Habitat (2016). Reporte nacional de tendencias de la prosperidad urbana en México. Índice de prosperidad urbana en la República Mexicana: City Prosperity Index CPI. [ Links ]
Reguillo, R. (2012). De las violencias: caligrafías y gramática del horror en Desacatos, núm 40, septiembre-diciembre, pp. 33-46. Centro de Investigaciones y Estudios Superiores en Antropología Social, México, Distrito Federal. [ Links ]
Rodriguez, E (2012), "Jóvenes que no estudian ni trabajan en América Latina. entre la estigmatización y la ausencia de políticas públicas, en Pensamiento Penal, no. 138, pp. 56-69. Dsponible en: http://new.pensamientopenal.com.ar/sites/default/files/2012/02/ninez03.pdf [ Links ]
SEDESOL (2014). Delimitación de las zonas metropolitanas de México, Secretaría de Desarrollo Social, Consejo Nacional de Población, Instituto Nacional de Estadística Geografía e Informática, México. [ Links ]
Sobrino, J. (2010). Ciclos económicos y competitividad de las ciudades. En G. Garza y M. Schteingart Los grandes problemas de México, Desarrollo Urbano y Regional, El Colegio de México, México. [ Links ]
Solís, P. (2010). Desigualdad de oportunidades y brecas de escolaridad. En A. Arnaut y S. Giorguli. Los grandes problemas de México, Educación, El Colegio de México, México. Pp. 599-621. [ Links ]
Solís, P., E. Blanco. (2014). La desigualdad en las trayectorias educativas y laborales de los jóvenes de la Ciudad de México: un panorama general. En Blanco E., P. Solís H. Robles. Trayectorias educativas y laborales de los jóvenes en la Ciudad de México, INNE, El Colegio de México, México. [ Links ]
Valenzuela. J.M. (2010), Juventudes demediadas: Desigualdad, violencia y criminalización de los jóvenes en México. En R. Reguillo. Los jóvenes en México, FCE, Conaculta, México. Pp. 316-349 [ Links ]



















