Servicios Personalizados
Revista
Articulo
Indicadores
-
Citado por SciELO -
Accesos
Links relacionados
-
Similares en
SciELO
Compartir
Economía Coyuntural
versión impresa ISSN 2415-0622versión On-line ISSN 2415-0630
Revista de coyuntura y perspectiva vol.2 no.4 Santa Cruz de la Sierra oct. 2017
DOI: 10.5281/zenodo.1211814
ARTÍCULOS ACADÉMICOS
Heterogeneous Growth and Regional (Di)Convergence in Bolivia:
A Distribution Dynamics Approach
Carlos Mendez-Guerraτ
τ*Kyushu University Lecturer and Researcher, Faculty of Arts and Sciences, Kyushu University,
Japan. Email: mendez.carlos@artsci.kyushu-u.ac.jp
Recepción: 05/09/2017 Aceptación: 15/11/2017
Resumen
Bolivia ha experimentado altas tasas de crecimiento económico en la última década y media. Este rápido crecimiento, sin embargo, varía considerablemente a través de sus regiones administrativas. Considerando este contexto de crecimiento heterogéneo, el presente artículo documenta la evolución de las disparidades del ingreso per cápita y los patrones de convergencia de las regiones de Bolivia en el periodo 1988-2014. En particular, utilizando un enfoque de distribución dinámica, el presente artículo evalúa el equilibrio de largo plazo y la dinámica de transición de la distribución del PIB per cápita regional. Los resultados principales muestran un patrón claro de divergencia regional para el período 1988-2000. En contraste, en el período 2000-2014 se encuentra un complejo patrón de (di) convergencia: la distribución de largo plazo está caracterizada tanto por un proceso de convergencia desde la cola superior como por un proceso de divergencia alrededor de la cola inferior. En general, la evolución de la forma externa de la distribución del PIB regional y su dinámica intra-distribucional sugieren que el proceso de crecimiento regional en Bolivia podría ser caracterizado por al menos dos clubes de convergencia. Adicionalmente, estos clubes son identificables en períodos de alto y bajo crecimiento nacional.
Palabras clave: crecimiento regional, convergencia, distribución dinámica, Bolivia
Abstract
Bolivia has experienced high economic growth rates in the last decade and a half. This fast growth, however, varies largely across its administrative regions. Considering this heterogeneous-growth context, this article documents the evolution of income disparities and convergence patterns of the Bolivian regions over the 1988-2014 period. In particular, using a distribution dynamics approach, this article evaluates both the long-run equilibrium and the transition dynamics of the cross-sectional distribution of regional GDP per capita. The main results show a clear pattern of regional divergence for the period 1988-2000. In contrast, the 2000-2014 period points to a much more complex pattern of (di)convergence: the long-run equilibrium distribution is characterized by both a process of convergence arising from the top and a process of divergence near its bottom tail. Overall, the evolution of the external shape of the distribution and the intra-distribution dynamics suggest that the process of regional growth in Bolivia may be characterized by at least two convergence clubs. Moreover, these clubs are identifiable in periods of both low and high national growth.
Key words: regional growth, convergence, distribution dynamics, Bolivia
Clasificación JEI: O40, O47
1. Introduction
The convergence hypothesis is one of the central topics in the literature of economic growth and development. Since the late 1980s, there has been an explosion of empirical studies trying to test this hypothesis, first in the context of cross-countries income differences (Baumol 1986; Barro & Sala-i-Martin 1992a; Barro 2015; among others) and later in the context of regional income differences within countries (Barro & Sala-i-Martin 1991, 1992b; Magrini 1999, Royuela, & Garcia, 2015; among others). From a methodological point of view, the analysis of economic convergence can be broadly classified into two kinds of frameworks. Those that evaluate convergence based on single summary measures (for instance, beta or sigma convergence‡‡) and those that evaluate convergence based on the shape and dynamics of the entire income distribution§§.
When comparing the pros and cons of these frameworks, most survey studies point that summary measures such as beta convergence could be largely uninformative due to its emphasis on the behavior of a representative economy that convergences smoothly to a unique steady state. (De la Fuente 1997, 2000; Durlauf, Johnson, & Temple, 2005). The distribution dynamics approach, on the other hand, provides valuable information on the behavior of the entire cross-sectional income distribution. As it evolves over time, both changes in its external shape and changes in its intra-distribution dynamics permit the study of heterogeneous behavior the emergence of multiple convergence clubs (Durlauf & Quah, 1999; Magrini 2004, 2009).
In the Bolivian context, convergence in GDP per capita across regions*** has been mostly studied using classical summary measures. Interestingly, research findings appear largely inconclusive given the series of contradictory results that are reported even for similar time spans and sample compositions. For example, the work of Evia at al. (1999) reports conditional beta divergence for the 1976-1992 period. Contrary to these results, Sandoval (2003) reports conditional beta convergence for the 1980-1992 period. More recently, Sorucco (2012) studies the 1990-2010 period and reports conditional (and absolute) beta divergence. Kuscevic-Montero and Rivera-del-Rio (2013), on the other hand, report conditional beta convergence for the 1998-2011 period. In an attempt to clarify these contradictory results, the work of Caballero-Claure and Caballero-Martinez (2016) points that although the whole 1990-2011 period is characterized by a lack of conditional convergence, the 2000-2010 sub-period shows some evidence of conditional convergence.
Given the informational problems of the classical summary measures of convergence, the seemingly contradictory results found in the Bolivian context, and the large growth differences across regions and over time,††† a more flexible convergence framework may be worth exploring. Hence the main objective of this paper is to implement the distribution dynamics approach suggested by Quah (1993, 1996a, 1996b, 1997). From a methodological standpoint, this is a promising alternative that handles both the informational problems of classical summary measures and the heterogeneous growth patterns that characterize the behavior of the Bolivian regions. This non-parametric framework studies the evolution of the entire distribution of income across regions through the estimation of kernel densities, ergodic (long-run) distributions, and stochastic kernels.
To achieve this objective, this paper first documents the high degree of growth heterogeneity over time and across regions. For instance, the 1988-2000 period is characterized by relatively slow growth in national GDP per capita (a geometric annual average of 1.41 percent) and increasing regional disparities. The 2000-2014 period, however, is characterized by faster national growth (a geometric annual average of 2.44 percent) and decreasing regional disparities‡‡‡.
Next, for each of the previously described growth regimes, the paper evaluates both the long-run equilibrium and the transitional dynamics of the cross-regional distribution of GDP per capita. Compared to the initial distribution, the long-run equilibrium for the 1988-2000 period is characterized by a wider dispersion with thicker tails. The transition dynamics of the stochastic kernel confirm this process by pointing to the shift of density mass from the middle to the tails. Overall, these dynamics suggest a pattern of distributional divergence with the formation of two regional clubs located near both tails of the distribution.
In contrast, the 2000-2014 period points to a much more complex pattern of (di)convergence. The long-run equilibrium is characterized by both a process of convergence arising from the top and a process of divergence located at the bottom of the distribution. Although the convergence process seems to be stronger§§§ than the divergence process, the mode of distribution is still below the national average and there is a notoriously thick left tail. Consistent with this observation, the transition dynamics suggest the formation of at least two convergence clubs, one near the left tail and another just below the national average.
Overall, this paper contributes to the regional growth literature in three ways. From a methodological point of view, it is the first study that implements a complete distribution dynamics analysis in the Bolivian context****. Next, it applies this framework to two different sub-periods with the purpose of highlighting the nature of regional convergence patterns under different growth regimes. Finally, from the point of view of the results, it emphasizes that the process of regional convergence is complex and hence classical summary measures such as beta-convergence or sigma-convergence fail to identify the formation of regional convergence clubs in the Bolivian context.
The rest of the paper is organized as follows. Section 2 describes the distribution dynamics framework and database of the study. Section 3 discusses some central facts related to heterogeneous growth and regional disparities in Bolivia. Section 4 presents the results of the distribution dynamics analysis. Finally, Section 5 offers some concluding remarks.
2. Methodology and Data
This section briefly summarizes the distribution dynamics framework developed by Quah (1993, 1996a, 1996b, 1997)††††.This non-parametric framework studies the evolution of the entire distribution of GDP per capita across regions and over time. The study of transitional dynamics is typically summarized by a stochastic kernel‡‡‡‡ and the study of long-run (steady-state) equilibrium is summarized by the shape of the ergodic distribution. As a result, the joint study of the evolution of the shape of the distribution and the intra-distribution dynamics provides valuable information regarding the persistence of regional inequality, polarization or stratification patterns, and the formation of convergence clubs.
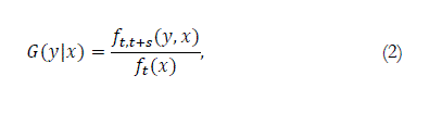
Let ft(x) denote the initial distribution of relative§§§ GDP per capita across regions at time t. Also, let ft + s(y) denote the distribution of relative GDP per capita at some future time t+s. Then one of the simplest forms of modeling the evolution of a distribution is to assume a time-homogeneous Markov chain. Similar to a first-order autoregressive process, the dynamics of the distribution at time t+s is given by a transition probability operator, G(·), and the initial distribution at time t:

The transition probability operator (y|x), which is know as the stochastic kernel in the economic growth literature (Durlauf & Quah, 1999; Quah, 1997), maps the transition from time t to time t+s. Among other useful properties of this operator, Johnson (2005) shows that

Furthermore, this operator is also a conditional density that can be calculated as

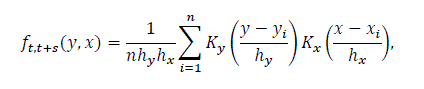
where ft, t+s(x,y) is a joint density, which in turn can be estimated using non-parametric methods.
The general form of the kernel estimator for the joint density is

where y and x denote relative GDP per capita of each region at time t+s and s respectively, Ky and Kx denote kernel functions, and hy and hx denote the smoothing parameters or variable bandwidths of y and x respectively. Although there are different kernel functions in the literature, Silverman (1986) and Wand and Jones (1995) show that the kernel estimator is not very sensitive to any particular functional choice. Given that most papers in the growth literature have adopted a bivariate Gaussian form (Andrade et al. 2004; Epstein et al. 2003; Quah, 1997), this paper also follows this convention. Thus, the kernel estimator becomes
Although the kernel estimator is not very sensitive to a particular kernel function, the choice of bandwidths hy and hx has a significant impact on the density estimates (Henderson & Parmeter, 2015; Li & Racine, 2007). Finding optimal bandwidths is a challenging exercise since it requires finding a balance between variance and bias in the estimation. A small bandwidth reduces the variance at the cost of increasing bias, similarly a large bandwidth reduces the bias at the cost of increasing the variance. To handle this trade-off, this paper follows Kar, Jha, and Kateja (2011) and Magrini (1999, 2009) in the derivation of optimal bandwidths using a selection algorithm that is constructed based on the minimization of the asymptotic mean integrated square error (AMISE)*****.
Finally, the marginal kernel of x can be estimated as

Similar to the bivariate case, a variable bandwidth hx +is adopted. This selection not only attempts to handle the variance-bias trade-off, but also should reduce the effects of outliers in the density estimation (Magrini, 2009).
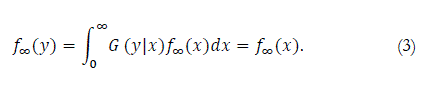
Finally, Equation 1 can also be used to estimate an ergodic (long-run equilibrium) distribution. As s → ∞, the ergodic distribution f∞(y) becomes the solution to the following problem

This long-run equilibrium distribution plays a central role in the analysis of regional convergence. At any point of time, the distribution ft+s(y) may reflect disequilibrium due to short-run external shocks. In the long-run, however, the ergodic distribution, f∞(y), remains invariant and all transitionary effects disappear. Moreover, if f∞(y) shows a tendency towards a unique point of mass or mode, then it is indicative of distributional convergence. On the other hand, if f∞(y) shows a divergent tendency towards bimodality (or multimodality), then it is indicative of polarization (or stratification). Furthermore, the existence of clear multiple modes in a long-run equilibrium distribution are also indicative of convergence clubs (Galor, 1996).
Finally, the database for the analysis is from the National Institute of Statistics of Bolivia (INE)†††††. Real GDP per capita for each department is constructed using prices of 2014. In an attempt to control for national and regional business cycle effects, potential GDP has been computed using the HodrickPrescott (1997) decomposition. Furthermore, to control for other aggregate shocks that might affect all departments, relative GDP per capita for each region is computed as potential GDP per capita divided by the potential national average‡‡‡‡‡.. Finally, to facilitate the interpretation of the distribution dynamics results, relative GDP per capita is presented in natural log terms. This transformation simply re-scales GDP differences relative to the national average. As such, given the properties of logarithms, the national average now takes a vale of zero at each time period.
3. The Facts: Regional Growth and Disparities
Since the late 1990s, Bolivia has experienced rapid economic growth. As shown in Figure 1, this phenomenon has characterized not only the nationwide average, but almost all its regions.§§§§§ Besides the national average, Figure 1 also includes three representative regions:****** Tarija, La Paz, and Beni, which are ordered based on their GDP per capita. Although at different initial levels, all regions show a pattern close to an exponential growth performance.
To focalize the analysis on the growth differences across regions and overt time, Table 1 summarizes the implications of the heterogeneous growth patterns observed in the data. Considering the two sub-periods pointed by Caballero-Claure and Caballero-Martínez (2016), the national average growth rate†††††† of the 2000-2014 period has been just above one percent higher than the growth rate of the 1988-2000 period. Over a decade, however, this small difference has had a large effect on the level of GDP per capita. Given the average growth rate of the most recent period (2.44 percent), GDP per capita in Bolivia would double in approximately 29 years.‡‡‡‡‡‡ This a much shorter time spam when compared to the 50 years that would be needed given the growth rate of the 1988-2000 period. Also, for most of the regions of Bolivia,§§§§§§ the average growth rate of the 2000-2014 period has been higher than that of the 1988-2000 period. In short, growth heterogeneity over time is represented by two clear growth regimes. Also, most regions moved in the direction of the national average, albeit at different speeds.
Table 1 not only points the growth differences over time, but most importantly, it highlights the implications of regional growth differences. For instance, given the growth rate of the 2000-2014 period, the region of Tarija would double its GDP per capita in only 10 years. Santa Cruz, on the other hand, would need 70 years to achieve the same objective. Pando is an extreme case where the continuation of a negative growth rate would imply halving its GDP per capita in 46 years.
Figure 2 compares the growth and income******* differences across regions. For comparison purposes, Figure 2 also includes the nationwide average level of income (labeled as BOLIVIA). Both panels of the figure suggest that in spite of rapid growth across most of the regions, there are still large income differences among them. In particular, the region of Tarija clearly diverges from the national average†††††††. By excluding this region from the analysis, Panel (b) shows more clearly the dynamics of regional income. By the end of the sample period, income differences among relatively rich regions (Santa Cruz, Oruro, and La Paz) are smaller compared to those of relatively poor regions (Beni, Potosi, and Pando). This was not the case at the beginning of the sample period, when relatively middle-income regions used to have the smallest income gaps.
Figure 3 documents the dynamics of income disparities. For this purpose, first GDP per capita of each region is expressed in relative terms with respect to the national average. Then, different measures of dispersion are calculated for each cross-section at each point in time.
For the 1988-2000 period, there is a clear increase in the dispersion of income. This finding is robust across different measures of dispersion. The increasing income dispersion over this period has been reported in the literature as lack of evidence of sigma convergence in Bolivia (Caballero-Claure & Caballero-Martinez, 2016; Kuscevic-Montero & Rivera-del-Rio, 2013; Sorucco 2012).
For the 2000-2014 period, however, the results are less evident. As previously shown in Figure 2, the region of Tarija is a clear outlier. And since typical measures of dispersion such as the standard deviation or the coefficient of variation are very sensitive to outliers, the measurement of dispersion via the interquartile rage seems more suitable in this case. By its construction, the interquartile rage ignores the influence of extreme outliers. When using this indicator, the 2000-2014 period shows a reduction in income dispersion across regions. Consistent with this finding, Panel (b) indicates that once Tarija is removed from the analysis, all indicators report a reduction in income dispersion.
Given the growth heterogeneity across regions and over time, Figure 4 documents the degree of income mobility of the nine regions of Bolivia. Similar to Figure 3, the income of each region is expressed in relative terms with respect to the national average. Moreover, the natural logarithm is taken to rescale the distances from the national average‡‡‡‡‡‡‡. The dotted lines represent the national average in each period. The solid (45-degree) line represents the notion of lack of mobility relative to the level of income in the initial period.
Considering the 1998-2000 period, five regions (Tarija, Pando, Oruro, Cochabamba, and Potosi) moved upward, relative to their initial position. From this group, the most notable case is Oruro, which used to be below the national average at the beginning of the period and ended up above the national average at the end of the period. In contrast, four regions (Santa Cruz, La Paz, Chuquisaca, and Beni) moved backward. From this group, the largest backward divergence occurred in Chuquisaca and Beni.§§§§§§§
Considering the 2000-2014 period, four regions moved forward and five regions moved backward, relative to their initial position. A notable case is Pando, which used to be above the national average at the beginning of the period and ended up below the national average at the end of the period. An extreme outlier is Tarija, which shows the largest upward mobility in the whole country.
4. Distribution Dynamics
This section presents the results of the distribution dynamics framework described in Section 2. To organize the findings, they are presented in two parts. First, the estimation of the initial, final, and ergodic distributions constitutes the first kind of dynamic analysis that help us understand the evolution of the external shape of the income distribution. Second, the estimation of the stochastic kernel is a complementary analysis that help us understand the intra-distribution dynamics.
4.1. External Shape Dynamics
Panel (a) of Figure 5 shows a clear pattern of divergence for the period 1988-2000. The mass of density is shifting from the middle to the tails of the distribution. Moreover, given these historical dynamics, the long-run equilibrium (ergodic) distribution is even flatter with thicker tails and a vanishing middle. As a result, the period 1988-2000 shows a clear pattern of divergence towards the bottom and the top of the distribution.

For the 2000-2014 period, Panels (b) and (c) indicate a much more complex pattern of (di) convergence. On the one hand, there is a process of convergence arising from the top of the distribution. On the other, there is a process of divergence at the bottom of the distribution. This latter pattern appears to be robust both to the inclusion (Panel b) and exclusion (Panel c) of the department of Tarija. Given the historical dynamics of the 2000-2014 period, the ergodic (long-run equilibrium) distribution also reflects these patterns of convergence from the top and divergence at the bottom. Although the convergence process seems to be stronger than the divergence process, the mode of distribution is still below the national average and there is a notoriously thick left tail when Tarija is excluded.
4.2. Intra-distribution Dynamics
Figure 6 and 7 show the intra-distribution dynamics of regional income. Panel (a) in both figures shows that for the 1988-2000 period the stochastic kernel is mostly located around the 45 degree line. This is a sign of lack of convergence. In addition, consistent with Panel (a) of Figure 5, the density at the center of the distribution is much lower than that of the extremes. Thus, these internal dynamics suggest the emergence of two predominant convergence clubs, both located near each tail of the distribution, and another less predominantand vanishingclub located near the center.
As expected, given the differences in growth rates, the intra-distribution dynamics of the 2000-2014 period are largely different when compared to those of the 1988-2000 period. First, when evaluating all regions (see Panel (b) of Figures 6 and 7), the department of Tarija is a clear outlier that conforms a notoriously separated club. Second, when studying all regions but Tarija, Panel (c) of Figure 6 indicates that there is a counter clockwise rotation in the stochastic kernel.******** This rotation is a sign of convergence. However, given the magnitude of the income differences, Panels (b) and (c) of Figure 7 suggest that all regions but Tarija appear to be moving toward two broad convergence clubs: a relatively poor club (conformed by Potosi, Beni, and Pando) and a relative rich club (conformed by Chuquisaca, Cochabamba, La Paz, Oruro, and Santa Cruz).
5. Concluding Remarks
The analysis of this paper documents the regional growth differences and the evolution of income disparities among the administrative regions (departments) of Bolivia. First, the 1988-2000 period shows a relatively slow growth in GDP per capita and increasing regional disparities. In contrast, the 2000-2014 period shows faster growth and decreasing regional disparities.
Next, through the lens of a distribution dynamics framework, this paper evaluates the long-run equilibrium and transitional dynamics of the cross-sectional distribution of regional income. The (ergodic) long-run equilibrium of the 1988-2000 period is characterized by a wider distribution with noticeable thick tails. Furthermore, the transitional dynamics (stochastic kernel) analysis highlights the shift of the density mass from the middle to the tails of the distribution. Overall, these dynamics suggest a pattern of distributional divergence with the formation of two regional clubs at the extremes of the distribution and a vanishing middle.
The period 2000-2014, on the other hand, is characterized by a complex pattern of (di)convergence: convergence from the top and divergence at the bottom. Although the convergence process seems to be stronger, the mode of distribution is still below the national average and there is a notoriously thick left tail. Consistent with this observation, the transitional dynamics analysis suggests the formation of at least two convergence clubs, one at the bottom and one just below the national average.
Finally, further research on regional convergence in Bolivia seems promising in at least three fronts. First, regional analysis at the municipal level could provide additional insights and statistical precision regarding the estimation of the long-run distribution and the formation of convergence clubs. Second, the implementation of the new (panel-time series) convergence test and clustering algorithm of Phillips and Sul (2007, 2009) could prove to be highly complementary to the present distribution dynamics framework. Finally, although there are some studies that suggest that spatial dependence in Bolivia does not have a statistically significant effect on regional convergence, those studies still suffer from the informational (and statistical) limitations that characterize the classical regression approach. Further studies that integrate spatial dependence into the distribution dynamics approach†††††††† could still provide a different and richer perspective in the Bolivian context.
Appendix A
Figure 8. Two Growth Regimes in Selected Regions

Notas
‡‡ See Sala-i-Martin (1996) for an overview of the classical approach to convergence analysis.
§§ See Magrini 2009 for an overview of the alternative approach to convergence analysis.
*** Bolivia is conformed by nine administrative regions, also known as departments. In the rest of the paper, the terms regions and departments are used interchangeably .
††† See Machicado, Nina, & Jemio (2012) for a detailed survey of the heterogeneous growth patterns that characterize the behavior of the Bolivian regions.
‡‡‡ It is worth noticing here that the decrease in regional disparities during the 2000-2014 depends fundamentally on the exclusion of the department of Tarija.
§§§ This is particularly true when the department of Tarija is excluded from the analysis.
**** Although other studies, such as Caballero-Claure and Caballero-Martínez (2016), estimate basic kernel densities at different points of time, they do not estimate stochastic kernels and ergodic distributions. As argued by Magrini (2004, 2009), a complete study or distribution dynamics involves estimating kernel densities, stochastic kernels, and ergodic distributions.
†††† For a more comprehensive presentation of this methodology, see Epstein, Howlett, and Schulze (1999, 2003), Magrini (2004, 2009) and the appendix in Bianco (2016).
‡‡‡‡ The stochastic kernel is the continuous-time equivalent of a transition probability matrix.
§§§§ Relative means that GDP per capita of each reagion is normalized by the national average.
***** By its composition, the AMISE function incorporates a variance-bias trade-off. Thus, its minimization is a reasonable criteria for obtaining optimal bandwidths.
††††† The original database can be downloaded from the following website: http://www.ine.gob.bo/index.php/producto-interno-bruto-departamental/producto-interno-bruto-departamental-5 .
‡‡‡‡‡ This average is the weighted national average reported by the National Institute of Statistics (INE).
§§§§§ The only exception occurs in the region of Pando (See Appendix A) where GDP per capita increased during the 1990s and then decreased in the 2000s.
****** The performance of the remaining regions is shown in the Appendix A.
†††††† The growth rate is computed as a geometric average of potential GDP per capita of each region and the nationwide average.
‡‡‡‡‡‡ This calculation is based on the simple “rule of 70”, which is commonly referred in the economic growth literature.
§§§§§§ The exceptions are the regions of Oruro and Pando.
******* Note that in this paper the words GDP and income are used interchangeably.
††††††† This extraordinary performance is largely due the extraction of natural resources, in particular natural gas.
‡‡‡‡‡‡‡ In this case, the national average takes a value of zero after this transformation.
§§§§§§§ During this period, the growth rate of Beni and Chuquisaca has been close to zero (see Table 1). Thus, given the positive growth rate of the national average, these regions experienced a reduction in their relative incomes.
******** Because of the position of the axis, the counter clockwise rotation observed in Figure 6-Panel (c) is equivalent to the clockwise rotation observed in Figure 7-Panel (c).
†††††††† See Gerolimetto and Magrini (2015, 2016) as innovative references that integrate spatial dependence into the distribution dynamics approach.
References
Andrade, E., Laurini, M., Madalozzo, R., & Valls Pereira, P. L. (2004). Convergence clubs among Brazilian municipalities. Economics Letters, 83(2), 179184. Retrieved from https://ideas.repec.org/a/eee/ecolet/v83y2004i2p179-184.html [ Links ]
Barro, R. (2015). Convergence and Modernization. Economic Journal, 125(June), 911942. http://doi.org/10.1111/ecoj.12247 [ Links ]
Barro, R. J., & Sala-I-Martin, X. (1991). Convergence Across States and Regions. Brookings Papers on Economic Activity, 1991(1), 107182. http://doi.org/10.2307/2534639 [ Links ]
Barro, R. J., & Sala-i-Martin, X. (1992a). Convergence. Journal of Political Economy, 100(2), 223251. http://doi.org/10.2307/2138606 [ Links ]
Barro, R. T., & Sala-I-Martin, X. (1992b). Regional growth and migration: A Japan-United States comparison. Journal of the Japanese and International Economies, 6(4), 312346. Retrieved from https://ideas.repec.org/a/eee/jjieco/v6y1992i4p312-346.html [ Links ]
Baumol, W. J. (1986). Productivity Growth, Convergence, and Welfare: What the Long-Run Data Show. The American Economic Review, 76(5), 10721085. http://doi.org/10.2307/1816469 [ Links ]
Bianco, S. D. (2016). Going clubbing in the eighties: convergence in manufacturing sectors at a glance. Empirical Economics, 50(2), 623659. http://doi.org/10.1007/s00181-015-0940-0 [ Links ]
Caballero-Claure, B., & Caballero-Martínez, R. (2016). Sigma Convergencia, Convergencia Beta y Condicional en Bolivia, 1990-2011. Economía Coyuntural, 1(1), 2559. Retrieved from https://ideas.repec.org/a/grm/ecoyun/201602.html [ Links ]
De la Fuente, A. (1997). The empirics of growth and convergence: A selective review. Journal of Economic Dynamics and Control, 21(1), 2373. http://doi.org/10.1016/0165-1889(95)00925-6 [ Links ]
De la Fuente, Á. (2000). Convergence across countries and regions: theory and empirics. EIB Papers, 5(2), 2545. [ Links ]
Durlauf, S. N., Johnson, P. A., & Temple, J. R. W. (2005). Growth Econometrics. In P. Aghion (Ed.), Handbook of Economic Growth (Vol. 1, Part A, pp. 555677). Elsevier. http://doi.org/10.1016/S1574-0684(05)01008-7 [ Links ]
Durlauf, S. N., & Quah, D. T. (1999). The New Empirics of Economic Growth. In J. B. Taylor & M. Woodford (Eds.), Handbook of Macroeconomics (Vol. 1, Part A, pp. 235308). Elsevier. http://doi.org/10.1016/S1574-0048(99)01007-1 [ Links ]
Epstein, P., Howlett, P., & Schulze, M.-S. (1999). Income distribution and convergence: the European experience, 1870--1992. Manuscript, London School of Economics. [ Links ]
Epstein, P., Howlett, P., & Schulze, M.-S. S.-. M. (2003). Distribution dynamics: stratification, polarization, and convergence among OECD economies, 1870--1992. Explorations in Economic History, 40(1), 7897. http://doi.org/10.1016/S0014-4983(02)00023-2 [ Links ]
Evia, J. L., Nina, O., Urquiola, M., Andersen, L., & Antelo, E. (1999). Geography and Development in Bolivia: Migration, Urban and Industrial Concentration, Welfare, and Convergence: 1950-1992. Inter-American Development Bank, Working Pa. Retrieved from http://econpapers.repec.org/RePEc:idb:wpaper:3085 [ Links ]
Galor, O. (1996). Convergence? Inferences from theoretical models. Economic Journal, 10561069. [ Links ]
Gerolimetto, M., & Magrini, S. (2016). Distribution Dynamics in the US: A Spatial Perspective. University of Venice Ca Foscari, Working Pa. Retrieved from https://ideas.repec.org/p/ven/wpaper/201602.html [ Links ]
Gerolimetto, M., & Magrini, S. (2015). Spatial Distribution Dynamics. European Regional Science Association, Conference. Retrieved from https://ideas.repec.org/p/wiw/wiwrsa/ersa15p1172.html [ Links ]
Henderson, D. J., & Parmeter, C. F. (2015). Applied Nonparametric Econometrics. Cambridge: Cambridge University Press. [ Links ]
Hodrick, R. J., & Prescott, E. C. (1997). Postwar US business cycles: an empirical investigation. Journal of Money, Credit, and Banking, 116. [ Links ]
Kar, S., Jha, D., & Kateja, A. (2011). Club-convergence and polarization of states: A nonparametric analysis of post-reform india. Indian Growth and Development Review, 4(1), 5372. [ Links ]
Kuscevic-Montero, C., & Rivera-del-Rio, M. (2013). Convergencia en Bolivia: Un Enfoque Espacial con Datos de Panel Dinámicos. Revista de Economia Del Rosario, 16(2), 233256. Retrieved from https://ideas.repec.org/a/col/000151/012318.html [ Links ]
Li, Q., & Racine, J. S. (2007). Nonparametric econometrics: theory and practice. New Yersey: Princeton University Press. [ Links ]
Machicado, C. G., Nina, N. B., & Jemio, L. C. (2012). Factores que Inciden en el Crecimiento y el Desarrollo en Bolivia: Análisis Nacional y Regional (1989-2009). La Paz: INESAD- PIEB. [ Links ]
Magrini, S. (2004). Regional (di)convergence. In J. V Henderson & J. F. Thisse (Eds.), Handbook of Regional and Urban Economics (1st ed., Vol. 4, pp. 27412796). [ Links ]
Magrini, S. (2009). Why Should We Analyse Convergence Using the Distribution Dynamics Approach? Scienze Regionali, 8(1), 534. [ Links ]
Magrini, S. (1999). The evolution of income disparities among the regions of the European Union. Regional Science and Urban Economics, 29(2), 257281. http://doi.org/10.1016/s0166-0462(98)00039-8 [ Links ]
Phillips, P. C. B., & Sul, D. (2007). Transition Modeling and Econometric Convergence Tests. Econometrica, 75(6), 17711855. http://doi.org/10.1111/j.1468-0262.2007.00811.x [ Links ]
Phillips, P. C. B., & Sul, D. (2009). Economic transition and growth. Journal of Applied Econometrics, 24(7), 11531185. http://doi.org/10.1002/jae.1080 [ Links ]
Quah, D. (1993). Galtons fallacy and tests of the convergence hypothesis. The Scandinavian Journal of Economics, 427443. [ Links ]
Quah, D. T. (1996a). Empirics for economic growth and convergence. European Economic Review, 40(6), 13531375. http://doi.org/10.1016/0014-2921(95)00051-8 [ Links ]
Quah, D. T. (1996b). Twin peaks: growth and convergence in models of distribution dynamics. Economic Journal, 10451055. [ Links ]
Quah, D. T. (1997). Empirics for Growth and Distribution: Stratification, Polarization, and Convergence Clubs. Journal of Economic Growth, 2(1), 2759. http://doi.org/10.1023/A:1009781613339 [ Links ]
Royuela, V., & García, G. A. (2015). Economic and social convergence in Colombia. Regional Studies, 49(2), 219239. [ Links ]
Sala-i-Martin, X. (1996). The classical approach to convergence analysis. Economic Journal, 10191036. [ Links ]
Sandoval, F. (2003). Situación, Tendencias y Perspectivas de la Convergencia Regional en Bolivia 1980-1997. Working Paper, Banco Central de Bolivia. [ Links ]
Silverman, B. W. (1986). Density estimation for statistics and data analysis. London: CRC press. [ Links ]
Soruco, C. (2012). Espacio, Convergencia y Crecimiento Regional en Bolivia: 1990-2010. Working Paper, Banco Central de Bolivia, 01/2012. [ Links ]
Wand, M. P., & Jones, M. C. (1995). Kernel Smoothing. London: Chapman and Hall. [ Links ]



















