Servicios Personalizados
Revista
Articulo
Indicadores
-
Citado por SciELO -
Accesos
Links relacionados
-
Similares en
SciELO
Compartir
Revista de Investigación e Innovación Agropecuaria y de Recursos Naturales
versión impresa ISSN 2409-1618
RIIARn vol.2 no.1 La Paz 2015
PRODUCCIÓN DE CULTIVOS USO DE SUELOS MODELAJE
Modelación matemática del bulbo húmedo bajo riego por goteo superficial en suelos del Altiplano Boliviano
Mathematical modeling wet bulb under superficial drip irrigation in soils of the Bolivian Altiplano
Fanny B. Arragan T.1, René Chipana R.2
1 Docente Investigador - Facultad de Agronomía, UMSA -Bolivia.
2 Docente Investigador - Facultad de Agronomía, UMSA -Bolivia.
RESUMEN
En el riego por goteo es necesario realizar el dimensionamiento mediante la geometría del bulbo húmedo y la humedad para determinar características físicas e hídricas de un suelo formado por un emisor. El objetivo de este trabajo fue realizar la modelación matemática del bulbo húmedo por la técnica de riego de goteo superficial. Los ensayos se realizaron en suelos con el método de una fuente puntual a campo abierto en la Estación Experimental de Choquenaira, pertenecientes al altiplano central de Bolivia. La modelación matemática para la zona saturada fue el dimensionamiento de ecuaciones, teniendo una ecuación de segundo grado, para el diámetro máximo alcanzado con un caudal de 1 lh-1, en el tiempo de ocho horas el diámetro máximo calculado es de 28 cm., y el valor observado en campo de 29 cm. Para la zona no saturada, el cálculo de profundidad vertical y distancia horizontal se realizó mediante el método de correlación múltiple, el valor calculado para un caudal de 5 lh-1 y tiempo de riego de cuatro horas fue de 21 cm. de profundidad calculado y el observado fue de 20 cm. El contenido de humedad volumétrica se determinó mediante el dimensionamiento de ecuaciones, teniendo matrices tridiagonales. Para un caudal de 3 lh-1 la humedad volumétrica calculada fue de 0,52 y el observado de 0,54.
Palabras clave: Riego por goteo superficial, Bulbo húmedo, Zona saturada, Zona no saturada, Fuente puntual.
ABSTRACT
In a drip irrigation is necessary to size by wet bulb geometry and moisture to determine physical and hydrological characteristics of a soil which is formed by one emitter. In this sense, the objective was to perform mathematical modeling of wet bulb through the technique of surface drip irrigation. Assays were performed on soils with the method of a point source in free field at Experimental Station of Choquenaira, which belongs to the central altiplano of Bolivia. Mathematical modeling forthe saturated zone was the sizing of equations having a quadratic equation for the maximum diameter reached of 1l h-1, for a time of eight hours is 28 cm. forthe calculated and 29 cm. forthe observed on field. On the unsaturated zone, the calculation of vertical depth and horizontal distance was performed by the method of multiple correlation, the value calculated for a flow of 5l h-1 through four hours was 21 cm. and the observed was 20 cm. The volumetric moisture content was determined by sizing equations, taking tridiagonal matrices. Then, for a flow of 3l h-1 calculated volumetric moisture was 0.52 and 0.54 forthe observed one.
Keywords: Drip irrigation, Wet bulb, Saturated zone, Unsaturated zone, Point source.
INTRODUCCIÓN
El diseño de un sistema de riego por goteo comienza con la determinación del caudal y el número de emisores necesarios para humedecer un determinado volumen de suelo. Este dato se obtiene a partir de una buena estimación del dimensionamiento del bulbo húmedo formado partir de un emisor el cual depende de las propiedades y características del suelo, tiempo de riego y caudal de agua aplicado por el emisor. De lo anterior se concluye que el patrón de mojado depende de una serie de factores hídricos.
Un suelo con buenas propiedades físicas es un soporte que favorecerá a la fijación del sistema radicular de las plantas y determinará la velocidad de consumo de agua (Rezende, 2002; Rucks, 2004; USDA, 2004). Adicionalmente, el valor de la conductividad hidráulica saturada (Ksat) es el valor referente a la humedad volumétrica saturada (0s), y que es inferior a la porosidad total de suelo (Salgado, 2000; Reichardt y Timm, 2004; Smith y Warrick, 2007).
Los factores principales que afectan a su magnitud son las características físicas del suelo, especialmente la textura y estructura (Topp y Reynolds, 2006). Una vez iniciado el proceso de irrigación es también el comienzo de la formación de la zona saturada (Lubana y Narda, 2001; Souza et al., 2006), el comportamiento es no lineal debido a las propiedades del suelo que impiden que el agua se mueva uniformemente (Fredlund, 2003; Castañeda, 2004).
La formación del bulbo húmedo es afectado por la humedad inicial del suelo, basado en el emisor, frecuencia, duración de riego, movimiento capilar del agua y la capacidad de retención del agua en el suelo que determinan el tamaño y la forma de la zona humedecida (Evans, Wu y Smajstrala, 2007). La geometría del bulbo húmedo es importante para el manejo de riego localizado y para estimar el volumen de suelo húmedo (Maia et al., 2010). La validación de forma y tamaño de volumen mojado permite definir aspectos importantes como lámina, frecuencia de riego, número de emisores y dimensionamiento hidráulico (Cook et al., 2006).
Cuando la humedad inicial del suelo va siendo superior a una aportación constante de un determinado caudal, genera una mayor amplitud y una menor profundidad en el avance del frente húmedo (Bauters, 2000; Gispert, 2008). Existen diversos modelos matemáticos basados en la resolución de la ecuación de Richards mediante métodos analíticos y numéricos que permiten la simulación del movimiento del agua en el suelo. Algunas soluciones analíticas fueron propuestas porPhilip(1971),Raats(1971),CoelhoyOr(1996), y las soluciones numéricas fueron sugeridas por Brandt et al. (1971), Armstrong y Wilson (1983), Ghali (1986), Simunek et al. (2008), Annandale et al. (2003). También existen modelos matemáticos basados en la resolución de ecuación de Richards entre las soluciones numéricas se tiene a Brandt et al. (1971), Van, Ploeg y Benecke (1974), Armstrong y Wilson (1983), Taghvi et al. (1984), Ghali (1986), Ramirez de Cartagena (1994), Simunek et al. (1999), y Annandale et al. (2003).
El uso de modelos numéricos han facilitado la implementación de interfaces gráficas sofisticadas (Simunek y Bradford, 2008). Los métodos numéricos usualmente subdividen en tiempo y espacio en pequeñas partes, como las diferencias finitas, elementos finitos o volúmenes finitos que reformulan en forma continua a partir de ecuaciones diferenciales (Simunek, 2005). Yao et al. (2011) utilizaron modelos numéricos para simular la dimensión horizontal y vertical de la zona mojada, comparando con resultados de laboratorio indicaron que no hubo diferencias entre los datos observados y los calculados. Así también, Zhou et al. (2007) realizaron un estudio similar a la distribución de la dinámica de agua en el suelo en un sistema localizado con humedecimiento parcial proponiendo una solución numérica al igual que Elmaloglou (2009). El movimiento y la distribución del agua aplicado vía riego por goteo pueden ser modelados matemáticamente a partir de solución de ecuaciones de flujo (Chipana, 2004), la información del bulbo húmedo permite el dimensionamiento o manejo de riego determinando la cantidad de agua a aplicar (Ramírez y Sainz, 1997;Tucci, 2005). El objetivo general del presente trabajo fue realizar la modelación matemática del bulbo húmedo a través de la técnica de riego por goteo superficial para suelos de la Estación Experimental de Choquenaira.
MATERIALES Y MÉTODOS
Con el fin de establecer la geometría del bulbo húmedo producido por un emisor bajo el método de riego por goteo superficial, se realizó el estudio para suelos de la Estación Experimental de Choquenaira dependiente de la Facultad de Agronomía de la Universidad Mayor de San Andrés, la cual se encuentra ubicada geográficamente a 3870 msnm, entre los paralelos 16°42'05"de latitud sur y 68°15'15" de longitud oeste a cuatro kilómetros de la localidad de Viacha y a 32 km de la ciudad de La Paz pertenecientes al altiplano central de Bolivia.
Para determinar los valores geométricos del bulbo húmedo, de la zona saturada y no saturada producidas por un emisor de goteo, los ensayos se realizaron con frascos de Mariotte que se adaptaron a las condiciones ambientales, esta modificación permite un fácil manejo del equipo que es apoyado por un gotero aislado. Las pruebas de campo se constituyeron de 10 caudales en un rango de 0,5 a 5 lh-1 y con seis tiempos de riego que va de una a ocho horas. La geometría del bulbo húmedo encontrada en campo fue comparada con las encontradas mediante el empleo de las relaciones matemáticas propuestas (ecuaciones) tanto para la zona saturada como para la no saturada.
Solución numérica de la geometría de la zona saturada
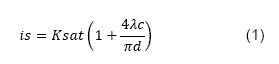
La zona saturada alcanza el régimen estacionario que describe la velocidad de infiltración estacionaria para flujo tridimensional, la influencia de gravedad y capilaridad como se presenta en la en la Figura 1. Una ecuación que considera estas relaciones es la ecuación propuesta porWooding (1968), que permite calcular el radio último alcanzado por en la zona saturada.
A partir de la solución de Wooding (1968):

donde: is = Velocidad de infiltración estacionaria (cm h-1); Ksat = Conductividad hidráulica saturada (mh-1); d = Diámetro último humedecido, dependiente principalmente de la conductividad hidráulica saturada (Ksat); Ac = Longitud capilar del suelo en función a la textura, en el caso de asumir la ecuación de Gardnerse utiliza una función exponencial:

La constante que aparece en dicha función, solo a partir de la función de conductividad hidráulica.
Qe = Caudal del emisor. Sabiendo la relación que Gardner utiliza, tenemos:

donde: f = Flujo de agua medio en la zona saturada (cm h-1); G = Función de flujo mátrico; a = Valor empírico del suelo (1 cm-1).
Según Talsma (1963) en la mayoría de suelos, a varía entre 0,002 a 10 (1 m-1). Asumiendo que el disco formado en la superficie adquiere una geometría circular:

donde: Qe = Caudal del emisor (l h-1); A = Área mojada por el emisor (cm2); d2 = Diámetro del charco formado por debajo del emisor (cm).
La ecuación que representara el flujo del agua en la zona no saturada es una ecuación de segundo grado, con solución de diámetro máximo:

donde: D máx. = Diámetro máximo mojado (cm).
Respecto a un caudal, la ecuación (05) es lineal, que expresa de manera correcta el flujo por unidad de área del emisor. Donde el parámetro empírico de los suelos a, se expresara de la siguiente manera, como lo expresa Bresler (1971):

donde: a = Parámetro del suelo; Ksat = Conductividad hidráulica saturada de la superficie del suelo obtenido 1.34 cm h-1; b = Pendiente de la línea de regresión.
Solución numérica de la geometría de extensión horizontal (Xw) y profundidad (Zw) de la zona no saturada
Se realizó mediante un análisis numérico multivariado con las diferentes características hídricas que intervienen en la formación de la geometría en la zona no saturada (Figura 2).
Para la determinación de la profundidad máxima que se alcanza en un tiempo de riego y un caudal de emisión se utilizó la ecuación (07).

donde: Zw = Profundidad alcanzada por el frente de humedecimiento (cm); Qe = Caudal del emisor (l h-1); Tr = Tiempo de riego (h); Dap = Densidad aparente (gr cm-3); n = Porosidad (%); Ksat = Conductividad hidráulica saturada (cm h-1); l4Jm= Potencial matricial (centibar).
Mediante una resolución de análisis estadístico conocido como matemática descriptiva multivariante se halló la siguiente ecuación representativa, con una correlación de 0,95, que ingresa en los parámetros confiables para el análisis geométrico de la zona no saturada. La misma metodología descrita fue utilizada para hallar la expresión matemática para el cálculo de la extensión horizontal máxima:

donde: Xw = Extensión horizontal máxima zona no saturada; Qe = Caudal del emisor (l h-1); Tr = Tiempo de riego (h); Dap = Densidad aparente (gr cm-3); Ksat = Conductividad hidráulica saturada (cm h-1); ^m = Potencial matricial (centibar); ETo = Evapotranspiración de referencia para suelos desnudos (mm día-1)
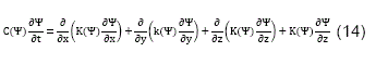
Solución numérica para el contenido de humedad volumétrica de la zona no saturada En la zona no saturada el gradiente hidráulico en la dirección horizontal es despreciable, lo contrario ocurre con la gradiente en la dirección vertical, debido a esto el flujo de agua tiene un movimiento predominante en dirección vertical. El movimiento del agua está dado de mayor a menor potencial. La ley de Darcy (1856).
![]()
dónde: q = caudal por unidad de área (m seg-1); K = conductividad hidráulica (m seg-1); VH es el gradiente hidráulico. Para cada dirección se expresara como:

La humedad volumétrica (0) ira relacionada con la tensión del suelos (*+), la conductividad hidráulica puede escribirse como K (6)=K QV), la ecuación superior se puede llegar a escribir como una variable con la introducción de la capacidad de humedad diferencial (C).

Remplazando K (0) por K (*+) y reemplazando a la ecuación superior en la ecuación general de flujo tendremos:

La ecuación de Richard (1931) indica que la solución de humedad requiere el uso de la conductividad hidráulica y la humedad del suelo (De Laat, 2001). Escribiendo la ecuación de Richard en términos de difusividad (D) y 0 reemplazando se obtiene la ecuación de Philip (1957) denominada de transporte y difusión.
![]()
La solución de ecuaciones de flujo puede ser resuelta con aproximaciones numéricas, el método de las diferencias finitas por su fácil aplicación evita elaborar sistemas de ecuaciones. Las diferencias finitas remplazan derivadas en un punto, por el cambio rápido en las variables apropiadas en un intervalo pequeño.

Este es un método de aproximación numérica, pero tomando un Ax muy pequeño se pueden obtener errores pequeños con una grilla correcta. Si se tiene una función f(x) continua y finita la cual puede expandirse por medio de series de Taylor en dos direcciones (positiva y negativa).
La dirección positiva

De la ecuación positiva se puede resolver df/dx, despreciando los términos elevados al cuadrado y los de mayor grado, obteniendo la diferencia requerida (Castañeda, 2004):

El error de las derivadas en las ecuaciones 15 y 16 es el error de truncamiento de Taylor en este caso es Ax2. Para hallar las derivadas de segundo orden, se suman las ecuaciones 17 y 18 con lo cual se despeja el términod2f/dx2, y se desprecian los términos de orden superior.

La ecuación que gobierna el flujo ecuación 19, en la dirección vertical puede ser resuelta por medio de diferencias finitas y con la introducción de las extracciones (S (1/seg)), donde q está dado por:

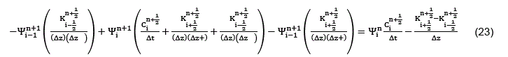
Se desarrolló un modelo en donde los nodos se encuentran separados por Az de igual longitud, de intervalos de tiempo iguales At conformado por un sistema de coordenadas. *+ (i, n) donde i representa el nodo y n el tiempo en que se encuentra. Así mismo se observa las condiciones que rigen el modelo, como las condiciones iniciales y de frontera.


Aplicando las diferencias finitas de manera implícita a la ecuación 11, ecuaciones para intervalos de tiempo y espacios diferentes, reorganizando la ecuación:
Para la solución de ecuación se asigna coeficientes de la siguiente manera:

Empleando estos coeficientes la ecuación se visualiza de la siguiente manera para todos los nodos:
![]()
De este modo se tiene un sistema de ecuaciones que se escribe de forma matricial como se muestra a continuación.

RESULTADOS Y DISCUSIÓN
En muestra la comparación entre los valores observados y valores calculados mediante la ecuación 05 para el diámetro máximo (D max) encontrado. Considerándolas características físicas e hídricas del suelo y los valores calculados se comparó los resultados observados en campo con respecto a la dinámica del bulbo húmedo en la zona saturada (bajo riego por goteo superficial).

La diferencia entre los valores calculados y observados con respecto al cálculo del D max de la zona saturada son de alrededor de un centímetro en la mayoría de los casos. Por otro lado, para los valores de D max de los ensayos y los calculados existe una variación visible debido a que la ecuación numérica calcula un solo valor del diámetro máximo promedio para un caudal de emisor. Del mismo modo el desvió estándar y el error cuadrático medio es variante ambos son directamente proporcionales al aumento del caudal del emisor, es decir que la ecuación numérica no se ajusta muy bien para caudales altos pero si se ajusta bien a tiempos largos.
Solución numérica de la geometría en la zona no saturada
Con respecto a la profundidad (Zw) de la zona no saturada

De acuerdo a la relación matemática representada por la ecuación (07) se realizó la comparación de los resultados observados (pruebas de campo) con los resultados calculados (ecuación numérica y la ecuación de regresión lineal). Los patrones de la geometría de movimiento del agua en el suelo en riego localizado y su distribución espacial del agua son fundamentales para un adecuado diseño y manejo del sistema de riego. La variación del tiempo de riego y caudal de riego calculado son muy variables que dependerá del operador hasta llegar a un punto límite a partir del cual pierden sentido físico varios parámetros del modelo en un manejo inadecuado del sistema de riego por goteo. El desarrollo de la profundidad de la zona no saturada dependerá del potencial matricial, la textura del suelo, porosidad, densidad aparente y conductividad hidráulica saturada.
En la Tabla 4 se aprecia que la ecuación se ajusta muy bien en los diferentes caudales y no tanto así para tiempos largos de riego de acuerdo al desvió estándar y al error cuadrático medio. El desvió estándar entre los valores calculados y observados son directamente proporcionales conforme la profundidad aumenta, el valor mayor de desvió estándar es de ±3,3 cm para una caudal de 1 L/h y para un tiempo de riego de 8 h. De la misma manera, en el trabajo realizado por Arbat (2003) menciona que debido a que los valores de error cuadrático medio (RMSE) son menores a 2,5, los datos calculados se ajustan bien para suelos donde se realiza riego. Tomando en cuenta lo mencionado anteriormente, en la Figura 4 se observa que los resultados de la comparación de profundidades obtenidas en campo con profundidades calculadas mediante la ecuación numérica 07 no se encuentran alejados a los diferentes tiempos de riego que se evaluaron como se muestra con el desvió estándar de la profundidad (Zw).
La determinación de la extensión horizontal mediante el desarrollo de una ecuación sencilla como es el análisis multivariante se presenta en la ecuación (08), permite determinar la extensión horizontal en la zona no saturada con un determinado emisor de goteo y en un tiempo de riego requerido que se muestran en la Figura 4 y Tabla 4 donde los valores calculados son parecidos a los valores encontrados en las diferentes pruebas de campo.
Solución numérica de la humedad volumétrica en la zona no saturada
El alcance de la investigación se limita a la simulación del movimiento de agua bajo la aproximación de la solución de Richards, siendo ampliamente utilizada en trabajos sobre el movimiento del agua. Esta aproximación representa un enfoque macroscópico de la transferencia de agua en el suelo, que se apoya en las hipótesis de: condiciones isotermas, continuidad de la fase liquida en el medio poroso (Annandaleet al., 2003)
La Tabla 5. Comparación de la humedad volumétrica encontrada y calculada. muestra la comparación de la humedad volumétrica observada y calculada, los valores obtenidos mediante la ecuación son menores a los observados en campo, el desvió estándar como en los casos anteriores tiene una correlación directa entre el caudal del emisor y el error cuadrático medio que van entre los rangos aceptables como lo menciona Arbat (2005). El eje de las abscisas representa el desarrollo del bulbo en sentido horizontal, mientras que el eje vertical, describe la profundidad alcanzada por el frente húmedo para cada tiempo de aplicación como indica Ledesma (2012).
En este ensayo en particular cuando el frente húmedo alcanzó los 30 cm de profundidad se observó un desarrollo exclusivamente horizontal del bulbo húmedo. Este comportamiento puede resultar de una conjunción entre la menor granulometría textural de la capa franco arcillosa que inicia a esa profundidad visualizada en el estudio edafológico (Ledesma, 2012). La humedad en el suelo según Silva et al. (2003) pueden inferiren la formación del bulbo húmedo, principalmente en un goteo superficial, una vez que la humedad inicial del suelo bajo goteo fue determinado (0,31cnf7cm3). Estos resultados confirman las observaciones efectuadas por Kandelous et al. (2011) para comparar los resultados experimentales y analíticos del bulbo obtenido a partir de riego superficial en suelo arcilloso a 0,30m de profundidad, obteniendo formas y dimensiones similares a los de este trabajo. De esta forma se puede inferir que un aumento en el caudal en riego superficial representa un crecimiento en el área superficial mojada, fue también confirmado por Maia et al. (2010).
CONCLUSIONES
El movimiento del agua es lento en la zona no saturada del bulbo húmedo transcurrido un determinado tiempo de riego, por las características físicas e hídricas del suelo de la segunda capa del suelo que retrasa el avance del frente húmedo impidiendo el aumento geométrico de la profundidad (Zw) que llega hasta los 28 centímetros.
La solución numérica propuesta para la zona saturada estima el diámetro máximo alcanzado para un caudal de riego mayor a 4 Lh-1. Los valores calculados de diámetro máximo encontrado se aproximan a los valores encontrados en las pruebas de campo con un error cuadrático medio de 0,2 hasta 0,3. Las soluciones numéricas para la geometría del bulbo húmedo de la zona no saturada para estimar la extensión horizontal (Xw) y profundidad del bulbo húmedo (Zw) presentan un error cuadrático medio de 0,3 a 0,9 que son representativos para la zona de estudio y para suelos con características similares a los estudiados. La solución numérica para la humedad volumétrica mediante la expresión de Richards muestra que los valores encontrados presentan un error cuadrático medio de 0,01 hasta 0,11 en relación a los observados en campo.
BIBLIOGRAFIA
Annandale J.G., Jovanovic.N. Z., Campbell G.S., Du Sautoy N., Benade N. 2003. A two - dimensional water balance model for micro -irrigated hedgerow tree crops. Irrigation Sciencie. 157-170 p. [ Links ]
Arbat, G., Barragan J., Puig J., Poch. R., Ramirez De Cartagena. 2003. Evaluación de los modelos numéricos de flujo de agua en el suelo Hydrus -2D y SIMDAS en riego localizado. Estudio de la zona no saturada del suelo. Vol. VI. Ed. J. Álvarez. Benedi y P Marinero. Instituto Tecnológico Agrario de Castilla y león. 279-288 p. [ Links ]
Brandt, A., Bresler, E., Diner, N., Ben-Asher, I., Heller, J., Godelberg, D. 1971. Infiltraron from trickle source. Mathematical models. soils science society of America journal. Madison. Vol. 35. 675-682 p. [ Links ]
Castañeda, M. C. 2004. Solución numérica de la ecuación de Richards. Universidad Industrial De Santander: Bucaramanga. 28-32 p. [ Links ]
Chipana, R. 2004. Modelagem da dinámica da agua e do potasio na irrigacao porgotejamento superficial. Escola Superior de Agricultura Luis de Queiroz. Universidad de Sao Paulo: Sao Paulo - Brasil. 74 p. [ Links ]
Cook, F.J., Thorburn, P.J., Fitch, P., Charlesworth, P.B., Bristow, K.L. 2006. Modelling trickle irrigation: comparison of analytical and numerical models for estimation of wetting front position with time. Environmental modelling and software. v. 21. 1353-1359 p. [ Links ]
De Laat, P.J. 2001 .Soil- water-plant relations. The Netherlands. IHE Delft. 1-58 p. [ Links ]
Elmaloglou, S., Diamantopoulos, E. 2009. Simulationofsoilwaterdynamicsundersubsurface drip irrigation from line sources. Agricultural water management: Amsterdam. Volume 96. Issue 11. 1587-1595p. [ Links ]
Evans, R.G., Wu, I., Smajstrala, A.G. 2007. Microirrigation systems. In: Hoffman, G.J., Evans, R.G., Jensen, M.E., Martin, D.L., Elliot, R.L. Design and operation of farm irrigation systems. 2. ed. St. Joseph: American Society of Agricultural and Biological Engineers.cap.17.632-683 p. [ Links ]
Fredlund, Delwin, G. 2003. Implementación de la mecánica del suelo parcialmente saturado. Medellín: Hombre nuevo editores. 86 p. [ Links ]
Gispert, F. Joan, R. 2008. Investigación para caracterizar el volumen de suelo húmedo (VSH)en riego localizado. Influencia del VSH en Olivo (Olea europea L.), manzano (Malus domestica Borkh) y avellano (Corylus avellana L.). Tesis doctoral. Universidad de Lleida. Departamento de medio ambiente y ciencias del suelo. 54-56 p. [ Links ]
Kandelous, M. M., Simunek, J., Van Genuchten, M.TH., Malek, K. 2011. Soil water content distributions between two emitters of a subsurface drip irrigation system. Soil science society American journal. Vol. 75. Number2. March-April. 2011. [ Links ]
Ledesma M. F. 2012. Evaluación del efecto de distintos regímenes de riego como estrategia de riego deficitario controlado en tabaco (Nicotiana tabacum L.). Tesis para optar al grado de Magister Scientiae en riego y drenaje. Universidad Nacional De Cuyo. Facultad De Ciencias Agrarias. Argentina. 55-58 p. [ Links ]
Lubana, P.P.S., Narda, N.K. 2001. Modelling soil water dynamics under trickle emitters - a review. Journal of agricultural engineering research. v.78. n.3. 217-232 p. [ Links ]
Maia, C.E., Leviens, S.L.A., Medeiros, J.F., Neto, J.D. 2010. Dimensões de bulbo úmido na irrigação por gotejamento superficial. Revista CiênciaAgronômica. v. 41. n. 1.jan-mar. 2010. 149-158 p. [ Links ]
Ramirez, B.F., Sainz, S. M. 1997. Modelo de distribución de agua en suelo regado por goteo. Artículo 41. Volumen 4. [ Links ]
Reichardt, K., Timm, L.C. 2004. Solo, planta e atmosfera: conceitos.processos e aplicações. Barueri: Manole.478 p. [ Links ]
Rezende, L.R., Camapum De Carvalho, J., Cardoso, F.B.F., Campello, C.S. 2002. Estudos laboratoriais de dois solos finos estabilizados com cal. In: I Simpósio sobre Solos Tropicais e Processos Erosivos no Centro-Oeste.Brasília. 207-217 p. [ Links ]
Rucks, L.F., Garcia. 2004. Propiedades Físicas del suelo. Facultad de Agronomía. Universidad de la Republica. Dpto. Suelos y aguas. Montevideo: Uruguay. [ Links ]
Salgado, L. 2000. Determinación de características hidrodinámicas del suelo: Conductividad hidráulica. Espacio poroso drenable. Espesor de la región de flujo. En: www.chileriego.cl/docs/018-03.doc. [ Links ]
Silva, C.A., Matos, J.A., Medeiros, J.F., Levien, S.L.A. 2003. Dimensões de bulbo úmidoem solos utilizados na irrigação porgotejamento superficial: argissolo. In: Congresso Basileiro de engenharia agricola 32. 2003.Goiânia. Anais. Goiânia: SBEA. 224-228 p. [ Links ]
Simunek, J. 2005. Models of waterflow and solute transport in the unsaturated zone. In Anderson. M.G. Encyclopedia of hydrological sciences. West Sussex: John Wiley. 1171-1180 p. [ Links ]
Smith, R.E., Warrick, A.W. 2007. Soil water relationships. In: Hoffman, G.J., Evans, R.G., Jensen, M.E., Martin, D.L., Elliott, R.L. Design and operation of farm irrigation systems. 2. ed. St. Joseph: American Society of Agricultural and Biological Engineers.cap.6.120-159 p. [ Links ]
Topp, G.C., Reynolds, W.D. 2006. Time domain reflectometry: a seminal technique for measuring mass and energy in soil. Soil y Tillage Research. Amsterdam. v. 47.n.1. 125-132 p. [ Links ]
Tucci, C.E.M. 2005. Modelos hidrológicos. Editorial de la universidad UFRGS. Porto Alegre. [ Links ]
USDA. 2004. Guía para la evaluación de la calidad y salud del suelo. Fecha de consulta: 25/02/2004. Disponible en: http://soils.usda.gov/sqi/files/kitspanish.pdf. [ Links ]
Wooding, R.A. 1968. Steady infiltration from a shallow circular pond. Water resources research. 1259- 1273 p. [ Links ]


















