Revista CON-CIENCIA
versión impresa ISSN 2310-0265
Rev.Cs.Farm. y Bioq vol.7 no.2 La Paz nov. 2019
ARTÍCULOS DE REVISIÓN
Acomplamiento molecular: criterios prácticos para la selección de ligandos biológicamente activos e identificación de nuevos blancos terapéuticos
Molecular docking: practical criteria forselection of biologically active ligands and identification of new therapeutic targets
Wendy Guadalupe Ballón Paucara1, Ricardo Enrique Grados Torrez1*
1Area de Farmacología, Instituto de Investigaciones Fármaco Bioquímicas Luis Enrique Terrazas Siles. Universidad Mayor de San Andrés, Av. Saavedra 2224. La Paz, Bolivia.
*Autor para correspondencia ergrados@hotmail.com
Fecha recepción: 28 agosto de 2019 Fecha de aceptación: 26 de septiembre de 2019
Resumen
El acoplamiento molecular es un método bioinformático que permite predecir y calcular computacionalmente la posición más favorable de interacción entre un ligando y un blanco (usualmente proteico) a partir de sus representaciones tridimensionales. Esta herramienta bioinformática no tiene una regla que se adapte a todos los casos y la mayoría de los programas empleados con esta finalidad, tienen diferentes métodos para tratar cada caso en particular. Además, cada blanco proteico es estructuralmente diferente y la capacidad de replicar los resultados experimentales y fisiológicos depende en gran medida del sistema utilizado y del criterio del usuario. Así, este artículo proporcionará pautas y detallará varios aspectos prácticos como el estado de protonación de los átomos, la identificación de moléculas de agua importantes en el sitio activo, la diferenciación entre moléculas activas y señuelos como mecanismo de control, la determinación de la energía libre de unión (∆G) y el análisis de la flexibilidad y la dinámica molecular; aspectos que deberían ser tomados en cuenta antes de iniciar un estudio de acoplamiento molecular para la búsqueda y selección virtual de ligandos e identificación de blancos terapéuticos.
Palabras clave: Acoplamiento Molecular, Búsqueda Virtual de Ligandos, Blanco Proteico.
Abstract
Molecular docking is a bioinformatic method that allows predicting and calculating computationally the most favorable position of interaction between a ligand and a target (usually a protein) from its three-dimensional representations. This bioinformatics tool does not have a rule that suits all cases and most of the programs used for this purpose have different methodologies to deal with each particular case. In addition, each protein target is structurally different and the ability to replicate the experimental and physiological results depends largely on the system used and the user's criteria. Thus, this article will provide guidelines and detail several practical aspects such as the protonation state of atoms, the identification of important water molecules in the active site, the differentiation between active molecules and decoys as a control mechanism, the determination of free energy binding (∆G) and analysis of flexibility and molecular dynamics; aspects that should be taken into account before starting a molecular docking study for a virtual ligand screening and identification of therapeutic targets.
Key words: Molecular Docking, Virtual Ligand Screening, Protein Target.
INTRODUCCIÓN
El acoplamiento molecular fue descrito inicialmente en 1982 por Kuntz y colaboradores, y desde entonces se ha convertido en una herramienta central para la búsqueda y selección virtual con base en la estructura, tanto de ligandos con actividad biológica como de posibles blancos terapéuticos. Los ligandos son un amplio grupo de moléculas pequeñas de diferente naturaleza, desde hormonas, neurotransmisores, fármacos o compuestos aislados a partir de diferentes fuentes naturales (como los alcaloides presentes en extractos de plantas). Mientras que, los blancos terapéuticos son generalmente moléculas grandes como ácidos nucleicos (DNA/RNA) o proteínas. De esta forma, un ligando que se une a su blanco correspondiente, puede tener una actividad biológica de inhibición o activación. Los principios activos de los fármacos cumplen la función de ligandos y de esta manera producen un efecto biológico beneficioso al consumirlos.
El acoplamiento molecular es un método bioinformático que permite predecir y calcular computacionalmente la posición más favorable de interacción entre un ligando y un blanco usualmente proteico a partir de sus representaciones tridimensionales (Figura 1). Mientras más estable, específica y favorable sea la unión entre un ligando (fármaco) y su blanco proteico (diana terapéutica), mayor será su actividad biológica (fármaco más efectivo). Por tanto, este método bioinformático juega un rol importante en el descubrimiento y desarrollo de nuevos principios activos o fármacos.
Figura 1. Representación de diferentes ligandos dispuestos alrededor del sitio activo de un blanco proteico. Los ligandos serán evaluados por acoplamiento molecular y seleccionados virtualmente de acuerdo a un algoritmo de muestreo y de puntaje (Extraído de Beckham, 2014).
El acoplamiento molecular comúnmente emplea dos algoritmos por separado. Un primer algoritmo de muestreo que predice todas las configuraciones o conformaciones estructurales (poses) que el ligando puede asumir dentro de un dominio o sitio activo en el blanco proteico, y un segundo algoritmo con una función de puntuación que predice las energías de unión entre el ligando y el receptor para cada una de las configuraciones establecidas por el primer algoritmo. Luego, con base en la función de estos dos algoritmos, todas las configuraciones de unión del ligando y su receptor son clasificadas (o jerarquizadas) de acuerdo a sus energías de unión. Por tanto, las funciones de puntuación son capaces de filtrar compuestos a partir de grandes bases de datos en una búsqueda virtual, donde la configuración de un compuesto con el más alto puntaje debería corresponder a la configuración con una energía de unión más favorable, para que este compuesto pueda ser considerado como un potencial cabeza de serie o lead (Phatak et al., 2009). Por otro lado, el acoplamiento molecular también tiene algunas debilidades, puesto que, no toma en cuenta la naturaleza dinámica del blanco proteico considerándolo erróneamente como una estructura estática. Además, existen algunas limitaciones en los algoritmos de muestreo e imperfecciones en las funciones de puntaje que dan lugar en algunos casos, a la generación de falsos positivos y negativos (Lill, 2011) haciendo que la precisión sea muy dependiente del blanco proteico (Warren et al., 2006). Estos errores inherentes, pueden incluso agravarse debido al mal manejo y supervisión del usuario.
El acoplamiento molecular no tiene una regla que se adapte a todos los casos. La mayoría de los programas empleados con esta finalidad, tienen diferentes métodos para tratar cada caso en particular y la descripción de los detalles de cada programa está fuera del alcance de esta revisión. También, debe tomarse en cuenta que cada blanco proteico es diferente y la capacidad de replicar los resultados experimentales y fisiológicos depende en gran medida del programa utilizado y del criterio del usuario. Así, este artículo proporcionará pautas y detallará varios aspectos prácticos a tener en cuenta antes de iniciar un estudio de búsqueda y selección virtual de ligandos.
PREPARACIÓN DE LA ESTRUCTURA DEL BLANCO PROTEICO
Aunque la mayoría de los procesos de preparación de la estructura del blanco proteico son realizados durante los ensayos de cristalografía de rayos-x, es importante entender que es indispensable hacer algunos ajustes cuando sea necesario. Los procedimientos más comunes incluyen la adición de hidrógenos y cargas de acuerdo al tipo de átomos, la añadidura de cadenas laterales y enlaces faltantes, y la detección y reparación de cadenas rotas. También se debe asignar un orden a los enlaces, determinar sus ubicaciones alternativas y seleccionar los átomos más frecuentes. Otros procedimientos más complicados incluyen la predicción precisa de los estados de protonación de los átomos y la identificación de las moléculas de agua (si existen) que deben permanecer en la estructura del blanco proteico. Todos estos procedimientos maximizan el realismo biológico en el sistema modelado, lo que conduce a la identificación de una mayor proporción de compuestos verdaderamente bioactivos.
Estados de Protonación
Se refiere a la localización de los átomos de hidrógeno, no obstante, la resolución de la mayoría de las estructuras cristalográficas de proteínas no provee esta información (Ten Brink y Exner, 2009). Por tanto, la predicción precisa del correcto estado de protonación, especialmente dentro de la interface de unión, es crucial para determinar con exactitud la correcta configuración de unión del ligando y su grado de afinidad (Kalliokosky et al., 2009; Onufriev y Alexov, 2013). La predicción incorrecta de estos dos parámetros, da lugar a que en la búsqueda virtual se descarten ligandos bioactivos y se seleccionen falsos positivos (Onufriev y Alexov, 2013). Designar estados de protonación incorrectos además altera el estado de los átomos donadores y aceptores de enlaces de hidrógeno, lo cual limita sustancialmente la precisión en la predicción de las interacciones entre ligando y proteína (Polgár y Keserü, 2005).
Es importante señalar que las funciones de puntaje basados en campos de fuerza, cuya estimación se basa en la suma de las fuerzas intermoleculares (como las interacciones electrostáticas y las fuerzas de van der Waals), fuerzas intramoleculares y la energía de desolvatación, son más susceptibles de generar estados de protonación incorrectos en comparación con las funciones de puntaje basados en el conocimiento, cuya estimación se basa en observaciones estadísticas de contactos intermoleculares en bases de datos (como Protein Data Bank) para determinar los átomos y grupos funcionales que participan con mayor frecuencia en interacciones moleculares y que por tanto son considerados energéticamente favorables contribuyendo a la afinidad (Onufriev y Alexov, 2013).
Las cadenas laterales de aminoácidos ionizables pueden también variar sus estados de protonación dentro de un blanco proteico, dependiendo de las condiciones fisiológicas (ambiente) y fisicoquímas (como el pH). La unión del ligando puede además estar acompañado por ganancia o liberación de protones (Petukh et al., 2013), sin embargo, este criterio casi nunca está incorporado dentro de los estudios de acoplamiento molecular (Onufriev y Alexov, 2013). Otros estudios señalan que el estado de protonación de los residuos no pueden ser replicados de forma precisa, debido a que los protones no son estáticos y son fácilmente transferidos entre las moléculas. Las simulaciones por mecánica cuántica necesarias para replicar los movimientos de los protones están mucho más allá del alcance y de las capacidades del acoplamiento molecular. En el mejor de los casos, se puede identificar un conjunto de estados de protonación o al menos el estado de protonación más adecuado para el análisis de unión de ligandos.
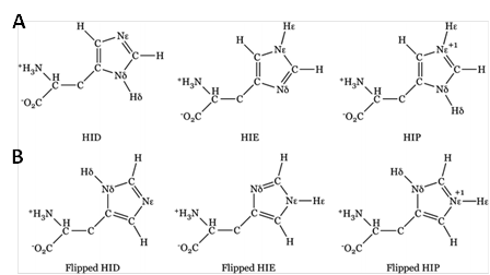
La Histidina (His) provee un único problema en términos de su estado de protonación, puesto que puede ser protonado en tres diferentes conformaciones. El anillo de imidazol de la cadena lateral de His puede ser protonado en una configuración neutral en el nitrógeno-ε o el nitrógeno-δ o en una configuración cargada (+1) donde ambos nitrógenos (ε y δ) se encuentran protonados (Kim et al., 2013) (Figura 2A). Para complicar aún más la conformación correcta del anillo de imidazol de la cadena lateral de His, los átomos de carbono y nitrógeno cambian de posición, creando tres conformaciones rotaméricas adicionales (flipped states) (Glusker et al., 1994) (Figura 2B).
Figura 2. Histidina. A. Posibles estados de protonación. B. Estados rotaméricos (flipped states) (Extraído de Kim et al., 2013).
La His representa una base muy débil, y por esta razón, determinar el estado de protonación es más complicado que para otros residuos ionizables, por tanto, debe ser analizado individualmente (Waszkowycz et al., 2011). En algunos casos, la His en el sitio activo, forma parte de redes de enlaces de hidrógeno; la evaluación de estos enlaces otorga mayores detalles sobre su estado correcto de protonación (Figura 3). Así, la correcta replicación de las posiciones de los enlaces de hidrógeno entre el ligando y blanco proteico (observados en estructuras cristalinas o detallados en la literatura) sugieren la colocación precisa de los protones residuales (Krieger et al., 2012). Los choques estéricos, son otro factor que también sugiere el posicionamiento correcto de los protones (Krieger et al., 2012).
Figura 3. A. Interacción de un compuesto X que no forma puentes de hidrógeno con His62 y 119, la ausencia de puente de hidrógeno con His62 favorece a un estado de protonación y rotamérico Flipped HID62 (Círculo verde).
B. Interacción con un compuesto Y que forma una red de puentes de hidrógeno con His62 y 119, el puente de hidrógeno en la His62 favorece un estado de protonación y rotamérico HIE62 (Círculo rojo) (Extraído de Kim et al., 2013).
El blanco proteico o receptor presenta una naturaleza dinámica, lo que significa que los estados de protonación de los residuos ionizables cambian constantemente. Para predecir con precisión la conformación de un ligando que se une a un receptor, el estado de protonación del receptor debe ser relevante para su conformación unida y en correspondencia con los datos cristalográficos (es decir, ausencia de choques o impedimentos estéricos con enlaces de hidrógeno en las ubicaciones esperadas) y de acuerdo con el pH de las condiciones experimentales. Asignar los estados de protonación a residuos de Asp, Glu, Arg y Lys durante la preparación del receptor es generalmente sencillo, con los ácidos desprotonados (Asp y Glu) y las bases protonadas (Arg y Lys) (Kim et al., 2013; Waszkowycz et al., 2011). No obstante, esto es una generalización y no una regla, puesto que el microambiente del residuo y el pH fisiológico del receptor deben tomarse en cuenta cuidadosamente. Calcular el pKa teórico de estos residuos a pH fisiológico es posiblemente el mecanismo más directo para determinar o estimar su estado de protonación (Polgár y Keserü, 2005).
Las funciones de puntuación dependen en gran medida del correcto estado de protonación del receptor. Estas funciones, asignarán al estado correcto un puntaje mayor en comparación con los estados incorrectos o menos favorecidos, proporcionando un mecanismo para predecir con precisión el estado de protonación correcto dentro de un conjunto de posibles estados pregenerados (Onufriev y Alexov, 2013).
En resumen, para evaluar con precisión el estado de protonación de un blanco proteico, se deben tomar en cuenta tres aspectos importantes, el pH fisiológico, los valores calculados de pKa para los residuos ionizables y el análisis de las estructuras cristalográficas y de las moléculas bioactivas conocidas (identificadas experimentalmente). Estos tres aspectos pueden proporcionar una gran cantidad de información sobre el estado de protonación de un blanco proteico mediante la función de puntuación, la inspección de choques estéricos y el análisis de redes de puentes de hidrógeno (formados entre el ligando y el blanco proteico). Dadas estas pautas, se puede inferir que las técnicas para predecir el estado de protonación dependen en última instancia de la clase o tipo de blanco proteico en estudio.
Moléculas de agua en el sitio activo
Las moléculas de agua en el sitio activo son determinantes clave en la unión entre un ligando y su receptor (Thilagavathi y Mancera, 2010). No solo pueden mediar entre los enlaces de hidrógeno, sino que su contribución a los cambios de entropía y entalpía es muy significativa (Lie et al., 2011; Cheng et al., 2012; Kroemer, 2007). En un contexto de screening o selección virtual, la adición de agua es un criterio que se descuida frecuentemente y la consideración de las moléculas de agua en ensayos de acoplamiento molecular sigue siendo un importante desafío (Cheng et al., 2012; Huang y Shoichet, 2008).
La posición de las moléculas de agua dentro de un sitio activo también es muy variable (Santos et al., 2009), y sería erróneo considerarlas como estáticas en la naturaleza, debido a que algunos ligandos se unen a su receptor con una orientación específica reemplazando fisiológicamente a las moléculas de agua que se encuentran en el sitio activo. Si esta naturaleza dinámica del agua no es tomada en cuenta en los ensayos de acoplamiento molecular, da lugar a un aumento drástico en falsos negativos (Kroemer, 2007). Varios informes afirman que predicen con mayor precisión el modo de unión de inhibidores al incorporar moléculas de agua dentro del sitio activo (Lemmon y Meiler, 2013). Si bien estos estudios poseen un alto grado de mérito, la inclusión de moléculas de agua dentro del sitio activo también puede reducir significativamente el volumen del dominio de unión y por tanto, disminuir también las posibles conformaciones que el ligando podría asumir en el sitio activo, produciendo un sesgo en el análisis (Lie et al., 2011). Sin embargo, la presencia de moléculas de agua en el sitio activo, puede aumentar considerablemente el enriquecimiento de posibles ligandos bioactivos en una búsqueda virtual. Por tanto, es importante determinar si existen moléculas de agua en el sitio activo, identificar cuáles deben mantenerse y excluir aquellas que no son esenciales.
Un paso inicial para evaluar la importancia de las moléculas de agua en el sitio activo consiste en replicar y evaluar el modo de unión de las estructuras experimentales (posibles ligandos) en ausencia de moléculas de agua específicas. Si la precisión se ve disminuida por la ausencia de estas moléculas de agua en el sitio activo de unión, es importante seleccionar qué moléculas de agua son fundamentales para la unión. Por ejemplo, las moléculas de agua que no están unidas al receptor por su átomo de hidrógeno y aquellas que se encuentran fuera del dominio de unión (más allá de 5 A° de distancia), obviamente tendrán poco efecto sobre la unión del ligando, por tanto, se podrán eliminar (Huang y Shoichet, 2008) (Figura 4).
Figura 4. Proteasa de VIH-1. A. Moléculas de agua presentes en el sitio activo formando una red de puentes de hidrógeno (líneas punteadas).
B. Ligando peptídico unido en el sitio activo. Nótese como algunas moléculas de agua son desplazadas y otras se mantienen en posiciones clave para la catálisis enzimática (Extraído de Prashar et al., 2009).
Es probable que las moléculas de agua que poseen tres enlaces de hidrógeno con el blanco proteico sean altamente estables dentro del dominio de unión y por tanto, deben ser incluidas para el análisis por acoplamiento molecular, ya que estas moléculas pueden resultar difíciles de desplazar por la unión del ligando y probablemente, funcionen para estabilizar el sitio de unión de la proteína (Yang et al., 2006; Hornak et al., 2006). Adicionalmente, las moléculas de agua que forman puentes de hidrógeno entre el ligando y el receptor, también pueden ser importantes en los ensayos de acoplamiento molecular. Sin embargo, este criterio puede ser muy específico para un ligando en particular y debe ser adecuadamente evaluado y validado cuando se realiza una búsqueda virtual a partir de un conjunto diverso de clases de ligandos. Así, las moléculas de agua que se consideren importantes, deberían idealmente tratarse como moléculas flexibles (Huang y Shoichet, 2008). También es importante tener en cuenta que la precisión de un algoritmo de acoplamiento molecular puede depender en gran medida de su parametrización y su idoneidad para cada clase de blanco proteico e inhibidor en estudio.
DIFERENCIACIÓN ENTRE MOLÉCULAS ACTIVAS Y SEÑUELOS
Se acepta comúnmente que no existe un algoritmo o software modelo de acoplamiento molecular para la predicción de la configuración correcta de unión entre un ligando y su blanco proteico, ni para la determinación de la energía libre de unión. Los algoritmos de acoplamiento molecular a menudo se calibran empleando un conjunto de complejos experimentales de ligando-proteína que sirven como modelos de entrenamiento. Así, la precisión de los programas de acoplamiento molecular son a menudo altamente dependientes del conjunto y tipo de modelos de entrenamiento utilizados (Ballester y Mitchell, 2010). Es importante confirmar que el software de acoplamiento empleado para la selección virtual sea capaz de replicar el modo de unión de inhibidores experimentales conocidos para la clase de receptor en estudio (Lim et al., 2011; Kroemer, 2007). Para mejorar el enriquecimiento de ligando en un contexto de búsqueda virtual, el algoritmo de acoplamiento seleccionado debe validarse adecuadamente para la clase de receptor bajo investigación. Por supuesto, en una búsqueda virtual, donde cientos de miles a millones de compuestos están siendo seleccionados, la validación para cada clase de inhibidor potencial sería imposible, pero la validación precisa debe llevarse a cabo con el mayor conjunto de datos obtenibles de verdaderos leads experimentales, donde la correcta configuración de unión sea conocida. Una desviación de la raíz cuadrática media (Root Mean Square Deviation: RMSD) por debajo de 2 Å para átomos pesados (excluyendo átomos de hidrógeno) entre la estructura experimental y la estructura o configuración predicha a partir del acoplamiento molecular, es un punto de referencia bien definido para evaluar la precisión de los algoritmos de muestreo (Houston y Walkinshaw, 2013).
Una estrategia y métrica muy útil de evaluación comparativa para medir el éxito de un programa de acoplamiento molecular, es la capacidad de diferenciar las moléculas activas reales de los señuelos. La base de datos de señuelos útiles mejorados (DUD-E; http://dude.docking.org/generate) puede generar señuelos para un compuesto activo (Mysinger et al., 2012). DUD-E genera señuelos basados en propiedades químico informáticas que incluyen peso molecular, logP, número de enlaces rotativos y número de donantes y aceptores de enlaces de hidrógeno. Como estos señuelos no están destinados a unirse al blanco proteico, son topológicamente distintos de los inhibidores activos, por lo que sirven como controles negativos adecuados. El rendimiento del programa de acoplamiento puede ser evaluado por su capacidad de clasificar los activos verdaderos por encima de los ligandos señuelo (Mysinger et al., 2012).
ANÁLISIS DE LA FLEXIBILIDAD
Las simulaciones de búsqueda y selección virtual son típicamente realizadas sobre estructuras estáticas. Se ha demostrado que el uso de un blanco proteico en su conformación holo (unido al ligando) proporciona un mejor enriquecimiento en comparación con los blancos apo modelados por homología (McGovern y Shoichet, 2003). El abordaje de la flexibilidad proteica puede mejorar sustancialmente el enriquecimiento pero sigue siendo uno de los aspectos más desafiantes del acoplamiento molecular. Actualmente, existen dos enfoques para incorporar la naturaleza dinámica de las estructuras proteicas; el acoplamiento flexible del receptor y el acoplamiento conjunto (Lill, 2013). Estos enfoques han demostrado mejorar el enriquecimiento en los estudios de acoplamiento molecular (Craig et al., 2010).
El acoplamiento flexible del receptor solo incorpora flexibilidad a cadenas laterales de residuos dentro del sitio activo y por tanto, no cubre el rango dinámico de las conformaciones proteicas en su totalidad (Meng et al., 2011) (Figura 5). Se ha demostrado que, solamente un número pequeño de cadenas laterales dentro de un dominio de unión sufre cambios estructurales después de la unión del ligando. Este estudio sugiere que, dentro del 85 % de los receptores estudiados, sólo tres o menos cadenas laterales exhiben movimientos al unirse al ligando, desarrollando así, una escala de flexibilidad de cadenas laterales (Lys> Arg, Gln, Met> Glu, Ile, Leu> Asn, Thr , Val, Tyr, Ser, His, Asp> Cys, Trp, Phe) (Najmanovich et al., 2000). Utilizando esta escala, es posible identificar qué cadenas laterales dentro de un dominio deben ser flexibles y cuales pueden permanecer estáticas.
Figura 5. Modelo de acoplamiento flexible. A. Movimiento de la estructura de bucle (flecha anaranjada) después de la unión del ligando.
B. Desplazamiento de la estructura C-terminal que contiene Phe327 (flecha celeste) tras la unión de ligando. Los modelos desplazados se observan como estructuras grises superpuestas (Extraído de Cavasotto y Abagyan, 2004).
En el acoplamiento conjunto permite el acoplamiento de una librería de ligandos contra múltiples conformaciones rígidas del blanco proteico. El total de estructuras rígidas puede ser generado por una simulación de dinámica molecular (donde las diferentes estructuras dinámicas son aisladas) (Figura 6) o, aunque es menos frecuente, también puede ser obtenido a partir de estudios experimentales de cristalografía y resonancia magnética nuclear (RMN).
Figura 6. Estructura un bucle perteneciente a la proteína 2ACT (PDB) producido por el método Monte Carlo (MC) para movimiento local. De las 5000 representaciones se agruparon 100 conformaciones representativas. La línea negra representa la estructura cristalográfica del bucle mientras que, las líneas grises representan las diferentes conformaciones de movimiento local seleccionadas (Extraído de Meng et al., 2011).
Existen dos clases diferentes de acoplamiento conjunto. En el primer método, se generan varias conformaciones de una misma proteína antes de una búsqueda por acoplamiento y cada ligando es acoplado independientemente dentro de cada conformación proteíca (Figura 7) (Carlson, 2002; Barril y Morley, 2005), por tanto, se introduce la flexibilidad al receptor mediante múltiples ensayos o corridas de acoplamiento molecular (Henzler y Rarey, 2010). Esto es, por supuesto, computacionalmente ineficiente y el tiempo requerido para realizar una búsqueda virtual aumenta con cada estructura de proteína incluida en el conjunto. La diversidad conformacional también se limita al número de representaciones conformacionales incluidas en el conjunto (B-Rao et al., 2009).
Figura 7. Esquema de un acoplamiento conjunto. El ligando es evaluado para cada estructura del blanco proteico generado, en este caso, se observan tres distintas conformaciones proteicas (rojo, amarillo y lila) (Extraído de Guedes et al., 2014).
El segundo método evalúa un conjunto de estructuras proteicas en una sola búsqueda de acoplamiento (B-Rao et al., 2009). Este método superpone un conjunto de varias conformaciones de una misma proteína o utiliza el promedio de todas las conformaciones estructurales en una cuadrícula y por tanto, reduce considerablemente el costo computacional (Totrov y Abagyan, 2008; Henzler y Rarey, 2010) (Figura 8)
Figura 8. Esquema de la superposición de cinco diferentes estructuras proteicas (P1-P5). La unión del ligando es evaluado para la superposición del blanco proteico (Extraído de Huang y Zou, 2007).
Las simulaciones de dinámica molecular (DM) se consideran el método más preciso para determinar la estabilidad de un ligando dentro de un dominio de unión, a la vez que representan la flexibilidad total de la cadena lateral y la columna vertebral del blanco proteico incorporando además los efectos del solvente (Marco y Gago, 2007; Alonso et al., 2006). Varios estudios de acoplamiento han utilizado simulaciones de DM para confirmar los resultados obtenidos de los estudios de acoplamiento. Sin embargo, los intensos costos computacionales hacen que sea práctico solo para un pequeño conjunto de ligandos (Han, 2012; Mukherjee et al., 2011; Segura-Cabrera et al., 2013).
ACOPLAMIENTO CONSENSO
Las funciones de puntuación se han destacado como la principal debilidad del acoplamiento molecular (Yang et al., 2005; Warren et al., 2006; Wang et al., 2003). Como estas funciones son las únicas responsables de seleccionar y clasificar la posición o configuración correcta del ligando dentro del sitio de unión de las muchas conformaciones posibles generadas por el algoritmo de muestreo, pueden potencialmente conducir a la identificación de una configuración incorrecta. La integración de un enfoque consensuado para el muestreo y la puntuación, que incorpora varios algoritmos para cada tarea, ha demostrado mejorar enormemente el enriquecimiento de ligandos en la selección virtual e identificación de la configuración correcta de las estructuras experimentales (Houston y Walkinshaw, 2013; Kukol, 2011; Yang et al., 2005; Plewczynski et al., 2011). La puntuación de consenso compensa las deficiencias en las funciones de puntuación individuales y, por tanto, mejora el rendimiento general con la inclusión de una sola función de puntuación adicional que es suficiente para mejorar las predicciones de afinidad de unión (Chang et al., 2010). Una técnica similar a la puntuación de consenso es el enfoque del muestreo de consenso, que está menos caracterizado. Un estudio reciente de Houston y Walkinshaw (2013), utilizó tres algoritmos de muestreo de Dock (Ewing et al., 2001), Autodock (Morris et al., 2009) y Autodock Vina (Trott y Olson, 2010) para identificar la configuración experimental de un conjunto diverso de ligandos. El estudio logró una precisión del 82 %, en comparación con la precisión del 55 al 64 % con el uso de un solo algoritmo (Houston y Walkinshaw, 2013).
El enfoque de emplear varios algoritmos para determinar la configuración correcta, además de determinar la calificación consensuada posterior para identificar los ligandos mejor clasificados, puede mejorar en gran medida la tasa de rendimiento en un contexto de selección virtual. El mayor costo de este enfoque es el aumento de falsos negativos, que por tanto, se pierden y no progresan a las pruebas experimentales. En un entorno académico, o en un laboratorio donde los recursos son limitados, esta es una consecuencia aceptable, ya que la calidad de los resultados es más vital en un contexto de evaluación virtual. La mejora de los resultados, con una disminución en los falsos positivos y la posterior disminución en el desperdicio de recursos, compensaría en gran medida el aumento de los falsos negativos (Houston y Walkinshaw, 2013).
Mecánica Molecular-Generalizada Born/Área de Superficie (MM-GBSA)
Varios factores relacionados con la energía libre de unión como las interacciones electrostáticas de largo alcance, la desolvatación tras la unión y las contribuciones entrópicas, están poco definidas en las funciones de puntuación convencionales del acoplamiento molecular (Rastelli et al., 2010a). Por ello, se incluyen computacionalmente cálculos más rigurosos mediante técnicas como la Perturbación de Energía Libre (FEP)
(Kollman, 1993), la Integración Teromodinámica (TI) (Lybrand et al., 1986), la Respuesta Lineal (LR) (Aqvist et al., 1994), la Mecánica Molecular Poisson-Boltzamann/área de superficie (MM-PBSA) (Kuhn y Kollman, 2000) y la Mecánica Molecular Generalizada-Born/Área de Superficie (MM-GBSA) (Kollman et al., 2000). De todos, MM-PBSA y MM-GBSA son los más rápidos convirtiéndolos en técnicas computacionalmente eficientes para la identificación y búsqueda virtual de ligandos produciendo una alta correlación con las energías de unión experimentales (Rastelli et al., 2010a, Sgobba et al., 2012).
Anteriormente, la técnica MM-GBSA requería un conjunto de imágenes generadas por una simulación de DM del complejo proteína-ligando en agua. Sin embargo, esto ha sido reemplazado utilizando un modelo de solvente implícito continuo y una sola estructura proteica con un ∆G minimizado, pudiendo discriminar con éxito entre verdaderos ligandos y señuelos (Rastelli et al., 2010a).
MM-GBSA es un método basado en campos de fuerza que usan una combinación de energías de mecánica molecular (MM), en términos de solvatación polar/no polar y de entropía para calcular la energía libre de unión (ΔGbind) (Massova y Kollman, 2000; Kollman et al., 2000) del cambio entre el complejo unido (ΔGcom) y el receptor no unido (ΔGrec) y el ligando (ΔGlig) en solución (Rastelli et al., 2010a; Guimaraes y Cardozo, 2008).
ΔGbind = ΔGcom - ΔGrec - ΔGlig
Cada uno de estos términos se descompone en energía de MM en fase gaseosa (ΔEMM), en términos de solvatación polar/no polar (ΔSsolv) y de entropía (ΔS) a una temperatura predefinida (T).
ΔG(com/rec/lig) = ΔEMM + ΔGsolv T(ΔS)
EMM se calcula mediante la suma de la energía de enlaces químicos, ángulos y torsión (Ebat) predefinidos por el campo de fuerza, y las energías de van der Waals (EvdW) y de Coulomb (Ecoul). ΔGsolv se descompone en polar (ΔGsolv,p) y no polar (ΔGsolv,np). Las contribuciones polares se calculan mediante aproximaciones generalizadas de Born (GB) en MM-GBSA (Kollman et al., 2000; Greenidge et al., 2013) donde la contribución no polar generalmente se calcula como una función lineal del área de superficie accesible al solvente (Hou et al., 2011a; Greenidge et al., 2013). Con estas funciones, se calcula la energía libre de unión (ΔGbind).
ΔG(com/rec/lig) = ΔEbat + ΔEvdW + ΔEcoul + ΔGsolv,p + ΔGsolv,np T(ΔS)
En la mayoría de los estudios, el término entropía (ΔS) se desprecia, ya que su cálculo puede ser una fuente importante de error (Rastelli et al., 2010b) y no siempre mejora la precisión de la predicción (Hou et al., 2011a; Guimaraes , 2012); sin embargo, algunos investigadores aún recomiendan su uso (Lafont et al., 2007). El modelo GB es más eficiente y más rápido para clasificar las afinidades de unión de ligandos, haciéndolo más adecuado en un contexto de detección virtual (Hou et al., 2011a, 2011b; Huang et al., 2010; Li et al., 2010). Además, se ha demostrado que MM-GBSA es una opción más atractiva que las metodologías FEP y TI (computacionalmente pesadas), ya que es computacionalmente más precisa y eficiente al manejar ligandos estructuralmente más diversos (Guimaraes y Cardozo, 2008).
CONCLUSIONES
A pesar de sus limitaciones, el acoplamiento molecular ha dado lugar al descubrimiento de varias moléculas con actividad biológica, y si es utilizado correctamente, puede proveer un excelente punto de partida en un proyecto con pocas moléculas prometedoras. Posiblemente, la consideración más importante es el conocimiento y disponibilidad de datos publicados, por tanto, la información en la literatura es esencial. La disponibilidad de estructuras cristalográficas de alta resolución o estructuras de RMN del blanco proteico son mucho mejores que los modelos obtenidos por homología, por tanto, el estado de las estructuras experimentales debería ser tomado en cuenta. La caracterización eficiente del sitio de unión activo o alostérico es esencial. El entendimiento detallado de la localización y flexibilidad de las cadenas laterales dentro del dominio de unión, la presencia o ausencia de moléculas de agua en el sitio activo y los estados de protonación de residuos ionizables contribuirán enormemente a enriquecer una búsqueda virtual. También es importante caracterizar a qué clase de reguladores corresponden las moléculas activas. El acoplamiento molecular no es capaz de replicar las interacciones covalentes entre ligandos y blanco proteico y por tanto, los inhibidores covalentes deberían ser excluidos. El acoplamiento molecular de péptidos (ligandos peptídicos) es difícil cuando se utilizan metodologías convencionales, debido al incremento de la inespecificidad de los algoritmos de acoplamiento para predecir la configuración correcta de compuestos con un elevado número de enlaces rotables. Por tanto, en una búsqueda por acoplamiento molecular, los ligandos deberían tener un máximo de ocho enlaces rotables. En el uso de una puntuación de consenso, se ha determinado que la técnica MM-GBSA proporciona una excelente correlación con la energía de unión experimental, por tanto, es más adecuado en el cribado virtual proporcionando configuraciones de acoplamiento más precisas, convirtiéndose en un enfoque computacionalmente importante en el diseño de medicamentos basado en su estructura (Hou et al., 2011b; Guimaraes, 2012).
Referencias Bibliograficas
Alonso, H., Bliznyuk, A.A., Gready, J.E. (2006). Combining docking and molecular dynamic simulations in drug design. Med. Res. Rev. 26, 531568.
Aqvist, J., Medina, C., Samuelsson, J.-E. (1994). A new method for predicting binding affinity in computer-aided drug design. Protein Eng. 7, 385391.
Barril, X., Morley, S.D. (2005). Unveiling the full potential of flexible receptor docking using multiple crystallographic structures. J. Med. Chem. 48, 44324443.
Beckham, J. (2014). The Virtual Drug Screening Stream: research and discovery as undergraduates. Education Corner Newsletter 61 https://cdn.rcsb.org/rcsb-pdb/general_information/news_publications/newsletters/2014q2/corner.html
B-Rao, C., Subramanian, J., Sharma, S.D. (2009). Managing protein flexibility in docking and its applications. Drug Discov. Today 14, 394400.
Carlson, H.A. (2002). Protein flexibility and drug design: how to hit a moving target. Curr. Opin. Chem. Biol. 6, 447452.
Cavasotto, C.N., Abagyan, R.A. (2004). Protein flexibility in ligand docking and virtual screening to protein kinases. J. Mol. Biol. 337, 209225.
Chang, M.W., Ayeni, C., Breuer, S., Torbett, B.E. (2010). Virtual screening for HIV protease inhibitors: a comparison of AutoDock 4 and Vina. PLoS One 5, e11955.
Cheng, T., Li, Q., Zhou, Z., Wang, Y., Bryant, S.H. (2012). Structure-based virtual screening for drug discovery: a problem-centric review. AAPS J. 14, 133141.
Craig, I.R., Essex, J.W., Spiegel, K. (2010). Ensemble docking into multiple crystallographically derived protein structures: an evaluation based on the statistical analysis of enrichments. J. Chem. Inf. Model. 50, 511524.
Ewing, T.J., Makino, S., Skillman, A.G., Kuntz, I.D. (2001). DOCK 4.0: search strategies for automated molecular docking of flexible molecule databases. J. Comput. Aided Mol. Des. 15, 411428.
Glusker, J.P., Lewis, M., Rossi, M. (1994). Crystal Structure Analysis for Chemists and Biologists. John Wiley & Sons.
Guedes, I. A., Magalhães, C. S., Dardenne, L. E. (2014). Receptorligand molecular docking. Biophys Rev (2014) 6:7587.
Guimaraes, C.R., Cardozo, M. (2008). MM-GB/SA rescoring of docking poses in structurebased lead optimization. J. Chem. Inf. Model. 48, 958970.
Guimaraes, C.R. (2012). MM-GB/SA Rescoring of Docking Poses. Computational Drug Discovery and Design. Springer.
Greenidge, P.A., Kramer, C., Mozziconacci, J.C., Wolf, R.M. (2013). MM/GBSA binding energy prediction on the PDBbind data set: successes, failures, and directions for further improvement. J. Chem. Inf. Model. 53, 201209.
Han, S.-H. (2012). Docking and molecular dynamics simulations of celastrol binding to p23. Bulletin of the Korean Chemical Society 33, 322324.
Hartshorn, M.J., Verdonk, M.L., Chessari, G., Brewerton, S.C., Mooij, W.T., Mortenson, P.N., Murray, C.W. (2007). Diverse, high-quality test set for the validation of protein-ligand docking performance. J. Med. Chem. 50, 726741.
Henzler, A.M., Rarey, M. (2010). Pursuit of Fully Flexible Protein-Ligand Docking: Modeling the Bilateral Mechanism of Binding. In: Molecular Informatics, 29, pp. 164173.
Hornak, V., Okur, A., Rizzo, R.C., Simmerling, C. (2006). HIV-1 protease flaps spontaneously close to the correct structure in simulations following manual placement of an inhibitor into the open state. J. Am. Chem. Soc. 128, 28122813.
Hou, T., Wang, J., Li, Y., Wang, W. (2011a). Assessing the performance of the molecular mechanics/Poisson Boltzmann surface area and molecular mechanics/generalized Born surface area methods. II. The accuracy of ranking poses generated from docking. J. Comput. Chem. 32, 866877.
Hou, T., Wang, J., Li, Y., Wang, W. (2011b). Assessing the performance of the MM/PBSA and MM/GBSA methods. 1. The accuracy of binding free energy calculations based on molecular dynamics simulations. J. Chem. Inf. Model. 51, 6982.
Houston, D.R., Walkinshaw, M.D. (2013). Consensus docking: improving the reliability of docking in a virtual screening context. J. Chem. Inf. Model. 53, 384390.
Huang, N., Shoichet, B.K. (2008). Exploiting ordered waters in molecular docking. J. Med. Chem. 51, 48624865.
Huang, S.Y., Grinter, S.Z., Zou, X. (2010). Scoring functions and their evaluation methods for protein-ligand docking: recent advances and future directions. Phys. Chem. Chem. Phys. 12, 1289912908.
Huang, S. Y., Zou, X. (2007). Ensemble Docking of Multiple Protein Structures: Considering Protein Structural Variations in Molecular Docking. PROTEINS: Structure, Function, and Bioinformatics 66:399421.
Kalliokoski, T., Salo, H.S., Lahtela-Kakkonen, M., Poso, A. (2009). The effect of ligand-based tautomer and protomer prediction on structure-based virtual screening. J. Chem. Inf. Model. 49, 27422748.
Kim, M.O., Nichols, S.E., Wang, Y., Mccammon, J.A. (2013). Effects of histidine protonation and rotameric states on virtual screening of M. tuberculosis RmlC. J. Comput. Aided Mol. Des. 27, 235246.
Kollman, P. (1993). Free energy calculations: applications to chemical and biochemical phenomena. Chem. Rev. 93, 23952417.
Kollman, P.A., Massova, I., Reyes, C., Kuhn, B., Huo, S., Chong, L., Lee, M., Lee, T., Duan, Y., Wang, W. (2000). Calculating structures and free energies of complex molecules: combining molecular mechanics and continuum models. Acc. Chem. Res. 33, 889897.
Krieger, E., Dunbrack Jr., R.L., Hooft, R.W., Krieger, B. (2012). Assignment of Protonation States in Proteins and Ligands: Combining Pka Prediction with Hydrogen Bonding Network Optimization. Computational Drug Discovery and Design. Springer.
Kroemer, R.T. (2007). Structure-based drug design: docking and scoring. Current Protein and Peptide Science 8, 312328.
Kuhn, B., Kollman, P.A. (2000). Binding of a diverse set of ligands to avidin and streptavidin: an accurate quantitative prediction of their relative affinities by a combination of molecular mechanics and continuum solvent models. J. Med. Chem. 43, 37863791.
Kukol, A. (2011). Consensus virtual screening approaches to predict protein ligands. Eur. J. Med. Chem. 46, 46614664.
Kuntz, I.D., Blaney, J.M., Oatley, S.J., Langridge, R., Ferrin, T.E. (1982). A geometric approach to macromolecule-ligand interactions. J. Mol. Biol. 161, 269288.
Lafont, V., Armstrong, A.A., Ohtaka, H., Kiso, Y., Mario Amzel, L., Freire, E. (2007). Compensating enthalpic and entropic changes hinder binding affinity optimization. Chem. Biol. Drug Des. 69, 413422.
Lemmon, G., Meiler, J. (2013). Towards ligand docking including explicit interface water molecules. PLoS One 8, e67536.
Li, Y., Liu, Z., Wang, R. (2010). Test MM-PB/SA on true conformational ensembles of protein_ligand complexes. J. Chem. Inf. Model. 50, 16821692.
Lie, M.A., Thomsen, R., Pedersen, C.N., Schiøtt, B., Christensen, M.H. (2011). Molecular docking with ligand attached water molecules. J. Chem. Inf. Model. 51, 909917.
Lill, M. (2013). Virtual screening in drug design. Methods Mol. Biol. 993, 112.
Lill, M.A. (2011). Efficient incorporation of protein flexibility and dynamics into molecular docking simulations. Biochemistry 50, 61576169.
Lim, S.V., Rahman, M.B.A., Tejo, B.A. (2011). Structure-based and ligand-based virtual screening of novel methyltransferase inhibitors of the dengue virus. BMC bioinformatics 12, S24.
Lybrand, T.P., Mccammon, J.A., Wipff, G. (1986). Theoretical Calculation of Relative Binding Affinity in Host-Guest Systems. In: Proceedings of the National Academy of Sciences, 83, pp. 833835.
Marco, E., Gago, F. (2007). Overcoming the inadequacies or limitations of experimental structures as drug targets by using computational modeling tools and molecular dynamics simulations. ChemMedChem 2, 13881401.
Mcgovern, S.L., Shoichet, B.K. (2003). Information decay in molecular docking screens against holo, apo, and modeled conformations of enzymes. J. Med. Chem. 46, 28952907.
Meng, X.-Y., Zhang, H.-X., Mezei, M., Cui, M. (2011). Molecular docking: a powerful approach for structure-based drug discovery. Curr. Comput. Aided Drug Des. 7, 146.
Meng, X.-Y., Zhang, H.-X., Mezei, M., Cui, M. (2011). Molecular docking: a powerful approach for structure-based drug discovery. Curr. Comput. Aided Drug Des. 7, 146.
Morris, G.M., Huey, R., Lindstrom, W., Sanner, M.F., Belew, R.K., Goodsell, D.S., Olson, A.J. (2009). AutoDock4 and AutoDockTools4: automated docking with selective receptor flexibility. J. Comput. Chem. 30, 27852791.
Mukherjee, P., Shah, F., Desai, P., Avery, M. (2011). Inhibitors of SARS-3CLpro: virtual screening, biological evaluation, and molecular dynamics simulation studies. J. Chem. Inf. Model. 51, 13761392.
Mysinger, M.M., Carchia, M., Irwin, J.J., Shoichet, B.K. (2012). Directory of useful decoys, enhanced (DUD-E): better ligands and decoys for better benchmarking. J. Med. Chem. 55, 65826594.
Najmanovich, R., Kuttner, J., Sobolev, V., Edelman, M. (2000). Side-chain flexibility in proteins upon ligand binding. Proteins: Structure, Function, and Bioinformatics 39, 261268.
Onufriev, A.V., Alexov, E. (2013). Protonation and pK changes in proteinligand binding. Q. Rev. Biophys. 46, 181209.
Petukh, M., Stefl, S., Alexov, E. (2013). The role of protonation states in ligand-receptor recognition and binding. Curr. Pharm. Des. 19, 4182.
Phatak, S.S., Stephan, C.C., Cavasotto, C.N. (2009). High-Throughput and in Silicon Screenings in Drug Discovery.
Plewczynski, D., Lazniewski, M., Von Grotthuss, M., Rychlewski, L., Ginalski, K. (2011). VoteDock: consensus docking method for prediction of protein-ligand interactions. J. Comput. Chem. 32, 568581.
Polgár, T., Keseru¨ , G.M. (2005). Virtual screening for β-secretase (BACE1) inhibitors reveals the importance of protonation states at Asp32 and Asp228. J. Med. Chem.
48, 37493755.
Prashar, V., Bihani, S., Das, A., Ferrer, J. L., Hosur, M. (2009). Catalytic Water Co-Existing with a Product Peptide in the Active Site of HIV-1 Protease Revealed by X-Ray Structure Analysis. PLoS ONE 4(11): e7860.
Rastelli, G., Del Rio, A., Degliesposti, G., Sgobba, M. (2010a). Fast and accurate predictions of binding free energies using MM-PBSA and MM-GBSA. J. Comput. Chem. 31, 797810.
Rastelli, G., Rio, A.D., Degliesposti, G., Sgobba, M. (2010b). Fast and accurate predictions of binding free energies using MM-PBSA and MM-GBSA. J. Comput. Chem. 31, 797810.
Santos, R., Hritz, J., Oostenbrink, C. (2009). Role of water in molecular docking simulations of cytochrome P450 2D6. J. Chem. Inf. Model. 50, 146154.
Segura-Cabrera, A., Garcı´a-Pe´rez, C.A., Guo, X., Rodrı´guez-Pe´rez, M.A. (2013). Repurposing of FDA-approved drugs for the discovery of inhibitors of dengue virus NS2B-NS3 protease by docking, consensus scoring, and molecular dynamics simulations. Biophys. J. 104, 404a.
Sgobba, M., Caporuscio, F., Anighoro, A., Portioli, C., Rastelli, G. (2012). Application of a post-docking procedure based on MM-PBSA and MM-GBSA on single and multiple protein conformations. Eur. J. Med. Chem. 58, 431440.
Ten Brink, T., Exner, T.E. (2009). Influence of protonation, tautomeric, and stereoisomeric states on protein_ligand docking results. J. Chem. Inf. Model. 49, 15351546.
Thilagavathi, R., Mancera, R.L. (2010). Ligand_Protein cross-docking with water molecules. J. Chem. Inf. Model. 50, 415421.
Totrov, M., Abagyan, R. (2008). Flexible ligand docking to multiple receptor conformations: a practical alternative. Curr. Opin. Struct. Biol. 18, 178184.
Trott, O., Olson, A.J. (2010). AutoDock Vina: improving the speed and accuracy of docking with a new scoring function, efficient optimization, and multithreading. J. Comput. Chem. 31, 455461.
Warren, G.L., Andrews, C.W., Capelli, A.-M., Clarke, B., Lalonde, J., Lambert, M.H., Lindvall, M., Nevins, N., Semus, S.F., Senger, S. (2006). A critical assessment of docking programs and scoring functions. J. Med. Chem. 49, 59125931.
Waszkowycz, B., Clark, D.E., Gancia, E. (2011). Outstanding challenges in proteinligand docking and structure-based virtual screening. Wiley Interdisciplinary Reviews: Computational Molecular Science 1, 229259.
Yang, H., Bartlam, M., Rao, Z. (2006). Drug Design targeting the main protease, the Achilles heel of Coronaviruses. Curr. Pharm. Des. 12, 45734590.
Yang, J.-M., Chen, Y.-F., Shen, T.-W., Kristal, B.S., Hsu, D.F. (2005). Consensus scoring criteria for improving enrichment in virtual screening. J. Chem. Inf. Model. 45, 11341146.











uBio 




