Servicios Personalizados
Revista
Articulo
Indicadores
-
Citado por SciELO -
Accesos
Links relacionados
-
Similares en
SciELO
Compartir
Revista Ciencia, Tecnología e Innovación
versión impresa ISSN 2225-8787versión On-line ISSN 2708-0315
Rev. Cien. Tec. In. v.18 n.22 Chuquisaca dic. 2020
Artículo
Fórmula para hallar la cifra de números primos menores que una cantidad dada
Formula to find the figure of prime numbers less than a given amount
Beimar Wilfredo López Subia *1
Universidad San Francisco Xavier de Chuquisaca, Carrera de Ingeniería Civil.
Recibido octubre 26,2020; Aceptado diciembre 28,2020
RESUMEN
En este artículo se presenta una fórmula para obtener un resultado totalmente exacto, en la cantidad de números primos menores que un número dado.
Los números primos tienen mucha importancia y realizando un estudio a profundidad, se ha podido descubrir la fórmula que se encuentra en este artículo; con el propósito de usar en la criptografía (Algoritmo RSA) y muchas aplicaciones de la matemática.
Esta investigación avala: "En la ciencia y la matemática todo es posible, y se puede hacer avances usando nueva matemática"; porque es una fórmula inédita descubierta mediante un método heurístico.
Se dará conocimiento de una función característica (Función Eit), que ayuda en la exactitud numérica, de encontrar la cantidad de números primos menores que cierto número dado.
La fórmula se ha incrustado en un teorema, que se demostrará, con el propósito de que todo matemático pueda verificar el proceso de creación de la fórmula, desde cero.
Se crea un código de programación, que se puede implementar en un software más potente para poder encontrar resultados muy importantes, sin importar que tan grande sea la cifra dada, y sin perder exactitud.
El código es válido para encontrar la cantidad de números primos menores que un número, saber cuáles son esos números primos, e identificar de manera rápida si un número es primo.
Se verifica de manera numérica la cantidad de números primos menores que una cifra dada, hasta 1025; pero, entendiendo el proceso de la creación de la fórmula se puede concluir que cumple para cualquier número.
En la distribución de números primos se ha estudiado lagunas, llegando a concluir que la fórmula contadora de números primos que se ha descubierto, es correcta e importante para la matemática y mucho más para criptografía.
Palabras Clave;
Algoritmo RSA, Función 7r(x) , Función Eit, Distribución de números primos.
ABSTRACT
This article presents a formula in order to obtain a totally exact result, in the amount of prime numbers lowerthan a given number.
Prime numbers are very important and by conducting an in-depth study, it has been possible to discover a formula that is shown in this article; with the purpose of using it in cryptography (RSA Algorithm) and many applications in mathematics.
This research states that: "In science and mathematics everything is possible, and advances can be made by using new mathematics" because it is an unpublished formula discovered through a heuristic method.
A characteristic function will be known (function Eit), which helps in numerical accuracy in order to find the amount of prime numbers lowerthan a given number.
The formula has been embedded in a theorem, which will be demonstrated, so that every mathematician can verify the process of creating the formula from the ground up.
A programming code is created which can be implemented in more powerful software so that very important results can be found, no matter how large the given number is, and in an accurate way.
The code is valid in order to find the amount of prime numbers lower than a given number, to know what those prime numbers are, and to identify quickly if a number is a prime number.
The amount of prime numbers lower than a given number is verified in a numerical way, up to x = 1025 but, understanding the process of creating the formula, it can be concluded that it is true for any number. Gaps have been studied in the distribution of prime numbers, coming to the conclusion that the formula for counting prime numbers that has been discovered is correct and important for mathematics and much more for cryptography.
Keywords;
RSA algorithm, Function π(x), Function Eit, Distribution of prime numbers.
INTRODUCCIÓN
Se ha demostrado que los números primos son infinitos, pero matemáticos querían saber cómo se distribuyen los números primos entre los números naturales. Este estudio lo iniciaron Johann Carl Friedrich Gauss y Adrien-Marie Legendre a finales del siglo XVIII, para el cual introdujeron a la matemática una función que encuentre la cantidad de números primos menores que un número, y conjeturaron que su valor fuese aproximado.
El estudio de los números primos siempre fue un problema difícil, y un problema importante para la matemática y la criptografía.
Todo matemático ha intentado encontrar una fórmula, inclusive el matemático Euler (1707-1783) describió: "Hasta el día de hoy, los matemáticos han intentado en vano encontrar algún orden en la sucesión de los números primos, y tenemos motivos para creer que es un misterio en el que la mente jamás penetrará"; y esta fórmula encontrada demuestra, que se puede estudiar a los números primos usando nueva matemática.
Los números primos y compuestos
El número 1 no es número primo y tampoco es un número compuesto. Un número primo es un número natural mayor que 1 que solo es divisible por 1 y por el mismo número. Un número compuesto es aquel que es creado por el producto de números primos.
Cualquier número compuesto es creado por la multiplicación de números primos, pero el número primo es tan misterioso que no es fácil de obtenerlo, estos números están situados en la sucesión de los naturales de manera desorganizada.
Quizás, te preguntes ¿Por qué es tan importante la distribución de los números primos?, pues sí no existiera números primos, no existirían los números compuestos o en otras palabras si no existe un número primo la matemática no tendría sentido.
Los números primos son importantes en el algoritmo RSA que estudia sistemas de seguridad de todo tipo, y estos números son el secreto de protección a nivel mundial.
Entre las aplicaciones en matemática se encuentra el estudio de los números complejos (primos relativos), la definición de un cuerpo finito (álgebra abstracta), la definición de un polígono estrellado (n lados), y en el representante canónico de un número racional.
Historia de los números primos
Euclides fue un célebre matemático griego que vivió durante los años 325 - 265 a.C. Se conoce como el Padre de la Geometría, e introduce en un libro: "Un número primo es el medido por la sola unidad".
El primer test determinista surgió en el siglo 11 a. C. y se lo conoce como la criba de Eratóstenes, en honor a su creador, quien fue un matemático y astrónomo griego contemporáneo a Arquímedes. En la primera mitad del siglo XVII se conocieron los primos de Fermat, primos de Mersenne y primos de Sophie Germain.
En 1859 Bernhard Riemann mencionó en su tesis de doctorado: "Sobre la cifra de números primos menores que una cantidad dada" y la conjetura fue nombrada La hipótesis de Riemann, que es el problema más famoso que tiene relación con los números primos y muchos matemáticos dedicaron parte de su vida intentando resolver la conjetura.
Uno de ellos es el matemático C. H. Hardy que nunca consiguió su propósito, pero tenía la esperanza de que a lo largo de su vida algún brillante matemático sí lo conseguiría. Este matemático se suicidó en 1947 creyendo que quizás en el cielo sabrían la solución.
David Hilbert es otro matemático que manifestó que si después de 500 años resucitase lo primero que haría es preguntar si se había resuelto la dichosa hipótesis. Hilbert fue famoso en el congreso de matemáticas de París de 1900 y le impuso como tarea a los matemáticos la resolución de 23 problemas para resolver en el siglo XX, entre ellos el más famoso es la hipótesis de Riemann. El propósito principal de la hipótesis de Riemann, es la distribución de los números primos.
La función Eit
Para llegar a encontrar una fórmula inédita, y encontrar la cantidad de números primos menores que una cifra dada, se ha creado la función Eit, tomando en cuenta lo siguiente:
"En la ciencia y la matemática todo es posible, y se puede hacer avances usando nueva matemática".
Porque el verdadero propósito de la función Eit es anular a todo número que pertenece al conjunto E, que se encuentre en el conjunto E. Sin embargo, se explicará que es un conjunto, para tener un concepto entendible de esta función nueva.
En matemáticas, un conjunto es una colección de elementos con características similares considerada en sí misma como un objeto.
El conjunto de los números naturales es infinito, pero el conjunto W = {2,4,6,8} es finito, porque tiene cuatro elementos, sin importar que tipo de conjunto sea.
Desde el conjunto E sea seleccionado la mayoría mediante una propiedad. Por ejemplo; para el conjunto P la propiedad se denomina primalidad, y M es un conjunto de números que sirven para contar la cantidad de elementos de un conjunto finito.
Una vez entendido que es un conjunto, se puede continuar explicando sobre la función Eit, pero siempre recordando la importancia que esta tiene, en este artículo.
Es una función característica, que intercambia o anula a un número dado, que se encuentra en el conjunto E.
Si el número dado pertenece al conjunto N lo intercambia con el número uno, caso contrario lo anula. Se denota mediante Eit(x) y se define como:

Todo número que no pertenece al conjunto N directamente pertenece al conjunto M; por lo tanto, el propósito de la función Eit es anular a todo número, que pertenece al conjunto M. El valor Eit(x) de cualquier número dado x, tiene como resultado el número uno o el cero.
Por ejemplo:

En cada caso se explica, porque el valor Eit(x) es igual a cero o uno. Y se puede notar que son anulados todos los números decimales, el cero y los negativos de manera directa.
Una aplicación es encontrar la cantidad de números naturales que existe en un conjunto dado L, y para encontrar se suma todos los términos de Eit{L}.
Se denotará mediante E y se define como:
![]()
donde # significa la cantidad de números que cumplen la condición indicada. Por ejemplo; si se tiene el siguiente conjunto finito:
L = {2; 0.012; -4; 5; 0.2; -2.5} la cantidad de números del conjunto N , que se encuentran en L, es 2.
Para demostrar cómo se encuentra la cantidad de números naturales, que existe en un conjunto dado, se procederá a usar el mismo conjunto finito: L = {2; 0.012; -4; 5; 0.2; -2.5}, para luego verificar el resultado. Lo primero que se debe realizar es encontrar el valor Eit de cada elemento:

Ya verificado el procedimiento y encontrado el mismo resultado. Es importante entender perfectamente la función Eit, porque se usará para anularlos números no primos y contar solo números primos en el conjunto N. Pero, si te preguntas: ¿Cómo se hará eso?, es una pregunta que se responderá en este artículo.
Sin embargo, te voy a dar una pauta: "Se encuentra una forma de convertir los números no primos a números decimales, cero o negativos, cosa que se anulan y no se cuentan".
Uso de la función Eit
ParaN = {a,b,...,z} esta función característica cumple con la propiedad de notación sigma (sumatoria):
![]()
Pero, si bien llega a cumplir con esta propiedad, debemos tener en cuenta que no cumple con la propiedad distributiva:
![]()
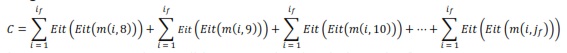
Las propiedades mostradas de la función Eit, se puede explicar en una sumatoria doble, que se creará posteriormente. Esta sumatoria es la clave de la exactitud del teorema principal de este artículo:

Para simplificar la sumatoria doble, lo primero que se debe hacer es desglosar la sumatoria interna, de la siguiente manera: Jf

Para luego desglosar haciendo uso de la propiedad de notación sigma (sumatoria), para luego tener lo siguiente:

Y de otra manera se puede escribir, para entender de la mejor forma:

La forma de reducir una sumatoria puede ser larga, pero es fácil porque anula y si se tiene un programa computarizado, puede obtener resultados de manera rápida de todo lo que se necesita. Esta parte es clave para usar o crear aplicaciones de la función Eit, en otras ciencias que se requiera, contar valores seleccionados en un conjunto dado; o anular valores de una lista seleccionada.
MATERIALES Y MÉTODOS
La fórmula más importante se encuentra incrustada en el siguiente teorema, que se demostrará con el propósito de que todo matemático pueda verificar el proceso de creación de la fórmula, desde cero. En este artículo, la función contadora de números primos es una función que cuenta el número de números primos menores a cierto número natural x.
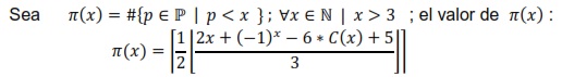
Se denota mediante n(x) (no debe confundirse con el número n) y se define como:
![]()
donde # significa la cantidad de números que cumplen la condición indicada. En el teorema el número x debe un número entero, y mayor a 3. Donde P es el conjunto de números primos y N el conjunto de números naturales.
Teorema:


1. DEFINICIONES Y NOTACIONES
7r(x) : La cantidad de números primos menores que x, donde x es un número entero.

2. DEMOSTRACIÓN DEL TEOREMA
Paso 1. El valor h2. En geometría, se denomina triángulo rectángulo a cualquier triángulo con un ángulo recto. Se denomina hipotenusa al lado mayor del triángulo, el lado opuesto al ángulo recto. En particular, en un triángulo rectángulo, se cumple el teorema de Pitágoras que dice que el cuadrado de la hipotenusa es igual a la suma de los cuadrados de los catetos; y en este caso los catetos son la base y la altura. La altura y la base del triángulo rectángulo conforman el ángulo recto; y se oponen a un ángulo agudo.
Para continuar, supondremos a un triángulo rectángulo de base 1, altura h, y que la hipotenusa sea un número p mayor a 3. Se usa el teorema de Pitágoras, para encontrar la ecuación (1):
h2 = p2 - 1 ; p > 3 (1)
El número p , se supone conocido y que pertenece al conjunto F de los números primos. Esta ecuación se igualará a otra que se conocerá en el paso 2, para explicar porque se iguala encuentra h2, reemplazando en (1) valores consecutivos de p. En este caso, reemplazando para valores de primos, p = 5,7,11,13,17,19,23,29,31.
NOTA: En este artículo se reemplaza pocos valores, pero se ha verificado con miles de valores en el trayecto de la investigación, y existe la seguridad del 100%.
El valor de h2 se saca de cada número primo, y se verifica que h2 siempre será un número compuesto positivo. Quiere decir, un número primo se está convirtiendo a no primo y esto se podría convertir de varias maneras, no solo usando el teorema de Pitágoras. Es decir, que el teorema de Pitágoras es un inicio para la creación de la fórmula, pero realmente poco o nada servirá posteriormente. Se muestra gráficamente en la [Figura 1]:

Paso 2. El valor e2. Por otro lado, se ha encontrado el valor de e2 mediante el método heurístico, con el propósito de encontrar por otro camino el valor h2. Un camino en este artículo, es un proceso de creación de fórmula que llega a un mismo resultado, pero con otra metodología. Se puede resolver un ejercicio de diferente manera, pero llegando al mismo resultado; es decir, existe caminos para resolver el ejercicio. El valor de e2:
![]()
El valor de e2, encontrado está en función de i que pertenece a conjunto N de números naturales. Esta ecuación se igualará con la encontrada en el paso 1, y de la misma manera, con el objetivo de explicar 2con mayor precisión se encuentra el valor numérico, reemplazando un número i. Por ejemplo: i = 1,2,3,4,5,6,7,8,9. Verifique la [Figura 2].
Paso 3. Igualando h2 y e2. Ahora se igualará el valor de h2 con el valor e2. Suponiendo que el valor de h2 es un conjunto S y el valor de e2 es un conjunto X ; se puede decir que h2 pertenece al conjunto e2. El término conjunto fue explicado en la introducción del artículo, pero en este caso definiré como una selección de números que cumplen una ecuación dada. De otra manera, los valores de h2 de (1) no son iguales a e2 de (2).
Por ejemplo, el valor de e2 = 624 que se obtiene al reemplazar i = 8 en (2), es un número que no tiene igualdad de h2. En la [Figura 2], identifique este valor de i con h2.
Sin embargo, se ha igualado h2 y e2 para despejar p, que en este caso puede ser un número primo o no primo:

Reemplazando el valor de i = 8, se puede encontrar un valor de p = 25 que es un número no primo. El valor de p no es un número primo, si se reemplaza valores de i en (3), que se reemplazaron anteriormente en (2), y se han encontrado valores de e2 que no tienen igualdad con h2. Por ejemplo, el valor de p es número compuesto cuando se reemplaza en (3), valores que tienen una sucesión, de i = 8,11,16,18,21,25,28. Ver la [Figura 3], siendo j = i.
Paso 4. La sucesión j. Se ha comprobado que existen valores de i que se reemplazan en (3), donde p es no primo. Suponiendo que estos números i son iguales a valores de la sucesión), entonces se puede entender que si se reemplaza i ^ j en (3) el valor de p es número primo. Para comprobar se ha reemplazado i = j en (3) y el valor de p es número primo. Por ejemplo, reemplazando i = 11 en (3) se encuentra un valor de p = 35 que es un número no primo. Esto sucede porque se ha reemplazado i = j , siendo algunos) = 8,11,16,18,21,25.

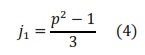
Se verifica que para j = 8 el número no primo es el 25 , y para) = 16 el número no primo es el 47 . El número 25 es primer número no primo múltiplo de 5, y el número 47 es primer número no primo múltiplo de 7. El valor ) = 8 es) inicial de p = 5, y el valor) = 16 es) inicial de p = 7. El valor inicial de) , que se denota por)x en (4), puede depender del valor p :

Al depender de p, se puede ya encontrar la sucesión ), buscando que todo se encuentre por separado, para no complicar el proceso.
![]()

Como se puede identificar para cada p existe un valor) que tiene la forma:
![]()
Conocido / se encuentra p en (3) y se obtiene j± reemplazando ese p en (4). Reemplazando) = 8,11,18,21,28 en (3), los números p encontrados son múltiplos de p = 5. El número 8 es el inicial de p = 5 , y para encontrar los otros valores de) se ha usado A y B. Por ejemplo; 8 + A = 11, 11 + B = 18, 18 + A = 21, 21 + B = 28. Esa es la forma de como se ha calculado el valor de A y B para (5) , usando cada valor de p de (3).


En este caso se considera que el valor de p puede ser primo o no primo, ya que se está reemplazando i en (3), por esa razón es que aún el valor de i es mayor a cero y sin otras restricciones.


Encontrado lo requerido para encontrar la sucesión j. Se reemplaza (4), (6) , (7), (8) y (9) en (5) :

Es la sucesión j(i, ni); y se puede ver que se complica demasiado. No sirve de nada una sucesión de este tipo, pero se hará una breve modificación para usarla.
Paso 5. Encontrando if y jf.
Recordando que si i ^ j entonces el valor p de (3) es número primo. Si j es una sucesión entonces el valor de / también debe ser una sucesión. El valor p se convierte en un número cualquiera en términos de x, porque supondremos que es cualquier número sea este par o impar; y el número x será el usado para el teorema; por lo tanto, el valor de x debe ser un número natural.
![]()
Por otro lado, el valor de / debe ser un valor mayor quejf en uno. Con el propósito de que garantice y cuente todos los números primos menores que un número dado sin excepciones:
![]()
Por lo tanto, reemplazando (11) y (12) en (3):

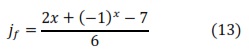
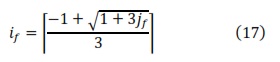
y luego despejando e\jf más grande posible, por seguridad:

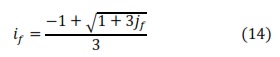
Siendo el valor jr encontrado, suponiendo que el mismo es un número impar. Para este valor de jf se encuentra su valor de i final, reemplazando en (10) el valor m = 1 y el valor de j = jf , para despejar i el cuál se denominará if :

El valor de m = 1 es porque siempre iniciará un valor p no primo. Despejando se dijo que if es un número par, porque de igual manera se necesitaba que sea el mayor posible:

El valor dejf debe estar acompañado de if .
Paso 6. Encontrando C(x) . Recordando que en el paso 3, se ha igualado el valor ti2 de (1) con el valor e2 de (2). Sin embargo, si el valor h2 es un conjunto S y el valor de e2 es un conjunto X ; el conjunto S pertenece al conjunto X, pero no son iguales. Ahora si se quiere tener en el conjunto S , y en el conjunto X solo números menores a un número conocido, cada conjunto infinito se convierte en un conjunto finito. Por ejemplo, si el número dado es 841 se los siguientes conjuntos finitos:
S = {24,48,120,168,288,360,528,840} X = {24,48,120,168,288,360,528,624,840}
Y la C(x) cuenta la cantidad de números distintos del conjunto X que exceden al conjunto S. En este caso el valor de C(841) = 1 , porque el número que excede es el 624. Como el conjunto S fue encontrado usando un número primo, los números que exceden en X se encontraron usando un número compuesto. Por lo tanto, si se cuentan cuantos números distintos hay en X que no existen en S, se puede saber la cantidad de números compuestos que se encuentran en (3), al reemplazar valores de i del conjunto N. Explicado de otra manera, se cuenta la cantidad de valores j que al reemplazar en (3) el valor de p, sale número no primo.
Despejando el valor de m de (10) :

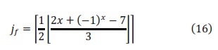
Pero para encontrar la cantidad de valores de / que reemplazando en (3) sale un número compuesto, se necesita saber aún hasta que número se reemplazará de / en (3), para luego contar cuantos números compuestos hay. Recordando, que j es una sucesión que empieza en el número 8, y la sucesión / empieza en 1; se requiere un límite para cada sucesión que se encontrará en el conjunto N . Para esto, se modifica el valor dejf de la ecuación (13) usando la nomenclatura de función piso y techo, para redondear correctamente al número entero más cercano:

De la misma manera se modifica el valor de if de (14) usando función techo, redondeando al número entero más grande, para ningún número compuesto se escape del conteo:

Es decir, que para encontrar la cantidad de valores j se puede elegir un valor j estático. Estático significa, un número que no cambia en ningún momento. Y si el valor estático reemplazo en (15) , se puede hacer variar i en el rango de 1 <i <if, sin saltarse ningún número entero. Reemplazando i desde 1 consecutivamente hasta if , el valor m de (14), para cada valor de i deberá indicar si ha salido decimal o entero. En caso de salir un número entero, significa con ese valor de) existe un número no primo en (3), y debe contar; caso contrario, si sale un número decimal con ese valor de) sale un número primo en (3), y debe anularse.
Para esto se ha creado la función Eit(x), que se ha explicado de la mejor manera posible anteriormente:


Primero se reemplaza), luego de hace variar i en el rango establecido; para luego cambiar a otro consecutivo).
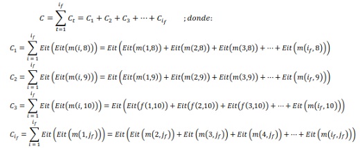
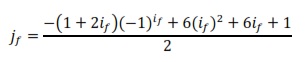
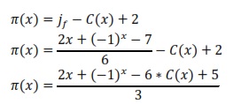
Para encontrar el valor de C(x), reemplazando la ecuación (10) en (18) y realizando el cambio A(x) = jf en (16) , y m(x) = if en (17) :

![]()
La cantidad de números primos se puede encontrar conociendo jf y B . Es decir, la cantidad de números primos menores que x será la cantidad de todos los jf reemplazados, menos la cantidad de no primos que es C(x). Luego se suma 2 porque la fórmula funciona cuando p > 5 y menores al 5 existen los números primos 2 y 3 que también debe contarse mediante la fórmula:

Pero como se quiere un número entero se redondeará correctamente lo mismo que jf, para tener lo siguiente:

3. LEMAS

Explicación de lema 1 Se reemplaza en (5) , las expresiones (3), (4), (5), (6), (7), (8) y(9):


Explicación de lema 2


Llegando a encontrar el resultado requerido.

Explicación de lema 3
Se reemplaza en (5) , las expresiones (3) , (4) , (5), (6) , (7), (8) y (9) :


4.COROLARIOS
![]()
Explicación de corolario 1; El orden de un número primo es el número de primo contando desde el 2. El 2 es orden 1, el 3 es orden 2, el 5 es orden 3, el 7 es orden 4, el 11 es orden 5. Aquí se debe verificar si el número x es primo, y si es así encuentra su orden.



![]()

5. CÓDIGO DE PROGRAMACIÓN
Sea creado un UserForm en Visual Basic de Excel 2019, se puede copiar y pegar el código según corresponda en CommandButton1, para verificar la veracidad de este artículo:

5.1. ¿Cuál es la cantidad de números primos menores que un número dado?:

5.2. ¿Cuáles son números primos menores que un número dado?:

5.3. ¿El número dado es primo o no primo?:

RESULTADOS
Los valores encontrados haciendo uso del TEOREMA son totalmente exactos. Se hizo una programación rápida en Excel 2019 y aunque cuando los valores de x son demasiado grandes demora más tiempo en calcular la cantidad de números primos menores que un número x conocido, la fórmula demuestra exactitud.
Se ha verificado las lagunas de primos hasta el valor de x = 1015 . Entendiendo la creación del TEOREMA, se llega a la conclusión de que cumple para todos los números primos p > 5 . ¿Por qué?, la creación de la fórmula se hizo desde cero, para explicar todo.
La fórmula fue creada con el propósito de que pueda calcular la distribución de los números primos sin importar que tan grande es el número x es correcta, y se ha encontrado resultados de la cantidad de números primos menores que el número x = 1025 .
En Excel al instante se verifica hasta números primos menores a x = 106, esperando un tiempo se puede encontrar hasta x = 1015 y en MATLAB se ha sacado más cantidades totalmente exactas que no se predecía:

Se puede verificar los resultados encontrados sin ningún problema, y aunque es notable que cumplirá para todos los números primos mayores a 3; analizando el proceso de la creación del TEOREMA, es seguro que cumplirá para valores mucho más grandes.
El TEOREMA es el más importante porque ahí se encuentra la fórmula n(x), y entender es el secreto para estudiar los números primos con mayor profundidad.
Sin embargo, se puede encontrar de manera computarizada y de manera rápida resultados para verificar la veracidad de la fórmula, y se puede también encontrar cuáles son los números primos menores que un número dado y saber si un número es primo o no es primo.
Por otro lado, gracias a función Eit, fueron anulados números compuestos, para contar solo los números primos y tener un resultado sorprendente.
CONCLUSIONES
Se ha entendido que los números primos son importantes para la matemática, siendo que si no existirían los números primos la matemática no tendría sentido.
Siendo así, entendiendo la importancia de los números primos, se ha dado a conocer una historia breve de cuanto el hombre ha buscado esta fórmula.
Se ha tomado en cuenta lo siguiente: "En la ciencia y la matemática todo es posible, y se puede hacer avances usando nueva matemática". Y se cumplió creando la función Eit, porque la función contadora de números primos n(x) se requería que sea totalmente exacta. La función Eit es simple, pero es muy importante; y se puede estudiar a más profundidad para usarla en aplicaciones matemáticas y la criptografía (Algoritmo RSA), que es el objetivo de este artículo.
La función n(x) que cuenta los números primos menores que un número conocido, brinda resultados tan exactos que antes no se predecía y es capaz de hallar la distribución de los números primos exactamente.
Se ha verificado que cumple hasta un valor grande, y entendido el proceso de demostración se interpreta la fórmula es inédita.
La demostración es muy certera y cumple con el propósito sin problema, porque la fórmula llega a cumplir sin error hasta un valor grande, y eso es bueno porque existe demasiada exactitud en su resultado.
Quizás, sería interesante verlo en un software más potente para tener resultados de valores mucho más grandes, pero el avance hasta este momento es impresionante.
REFERENCIAS
Sautoy, M. (2007). La música de los números primos. EL ACANTILADO. [ Links ]
Gracián, E. (2010). Los números primos. RBA LIBROS. [ Links ]
Dominic, W. (2019). El origen del teorema de los números primos. MAA CONVERGENCE. [ Links ]
Jara, V. & Sánchez, C. (2020). Nueva prueba de que la suma de los recíprocos de Primos diverge. MDPIMA THEMA TICS [ Links ]












