1. Introducción
El emprendimiento de mujeres convoca a su estudio al identificarse como una fuente potencial para el desarrollo y crecimiento económicos (Minniti, 2009; Minniti y Naude, 2010), además de ser un instrumento crítico para el empoderamiento económico de ellas en el mundo (Manolova et al., 2013). Su relevancia es mayor cuando se trata de países en desarrollo con altos niveles de actividad emprendedora liderada por mujeres, y cuyo contexto particular requiere la utilización de enfoques multidisciplinarios que permitan un mejor entendimiento de este fenómeno (Giacomin, Janssen, Guyot y Lohest, 2011).
Los primeros estudios sobre emprendimiento de mujeres, en los años setenta y ochenta, se concentraron en mostrar las diferencias y similitudes entre hombres y mujeres respecto a la actividad emprendedora (Birley, 1989). Con el paso del tiempo, los enfoques incorporaron consideraciones sociales sobre los roles de género (Fischer, Reuber y Dike, 1993; Mirchandani, 1999), y reflexiones acerca de la necesidad de estudiar a las mujeres emprendedoras como sujeto particular en un tiempo y espacio determinados (Ahl, 2006). En ese devenir, se reconoce que a través de una aproximación teórica que integre rasgos demográficos, económicos y aspectos psicológicos, es posible brindar mejores explicaciones acerca de la decisión de emprender de las mujeres (Verheul, van Stel y Thurik, 2006).
Los enfoques multidisciplinarios, entre ellos los denominados modelos de intención, permiten observar la conducta emprendedora; el emprendimiento es un acto volitivo que, mediado por la intención, se explica por las percepciones del individuo. En esta perspectiva, destaca el modelo de la Teoría de la Conducta Planeada (TPB), presentado por Ajzen (1991), que posibilita la observación de los determinantes del emprendimiento. El modelo tpb sostiene que, entre las percepciones que influyen en el comportamiento, sobresale la variable de la autoconfianza, que se expresa como un determinante del esfuerzo y persistencia en la conducta del individuo (Bandura y Adams, 1977; Wilson, Kickul y Martino, 2007).
De acuerdo a los estudios empíricos que consideran entre su información datos de la región latinoamericana, los emprendimientos de mujeres en esta parte del orbe se explican ante la insuficiencia de fuentes de trabajo (Acs y Amorós, 2008). Un caso interesante en la región latinoamericana es Bolivia, donde las mujeres tienen una elevada participación tanto en el mercado laboral (57%) como en las tasas de emprendimiento (47% del total de emprendedores) (Querejazu, Zavaleta y Mendizábal, 2015; Wanderley y Vera, 2017). El caso boliviano muestra que, pese al boom económico -con un crecimiento anual sostenido del 4% en promedio durante la década 2005-2015-, las características de los emprendimientos de mujeres no parecen haber cambiado; son llevados adelante por los segmentos jóvenes de la población y se desarrollan en su mayoría de manera informal en el sector servicios, con escasas expectativas de expansión del negocio (Fernández, 2011; Querejazu et al., 2015).
Esa aparente contradicción -entre el crecimiento económico y la expansión del emprendimiento femenino en el sector informal- permite estudiar las motivaciones de la conducta emprendedora de las mujeres más allá de las connotaciones económicas de un país en desarrollo. La presente investigación busca identificar las percepciones subjetivas que influyen en la acción de emprender de las mujeres bolivianas y, en particular, profundizar en la incidencia de la autoconfianza respecto a la conducta emprendedora. Analizar el emprendimiento de mujeres desde la perspectiva psicosocial es un abordaje poco común (Bruton, Ahlstrom y Obloj, 2008), que puede aportar a la comprensión de los altos niveles de emprendimiento femenino en países que se basan en la explotación de recursos naturales e incipiente transformación industrial, como es el caso de varios países de América Latina (Kelley et al., 2017).
Para ello este trabajo contiene cuatro acápites. En el primero se mencionan los principales enfoques utilizados en el estudio del emprendimiento liderado por mujeres, destacando la perspectiva conductual. En el segundo acápite se profundiza en el análisis de la autoconfianza como percepción determinante de la conducta emprendedora. Seguidamente se consideran el sujeto y el contexto particulares del estudio: las mujeres en el mercado laboral boliviano. Con estos elementos, en el cuarto apartado se estima un modelo econométrico probit bivariate, cuyos resultados muestran que la autoconfianza es el factor relevante para la acción de emprender de las mujeres en Bolivia, y que esta percepción es influenciada por el conocimiento de otros emprendedores, una reputación social y cierto ingreso económico. El trabajo finaliza con algunas reflexiones sobre la conducta emprendedora de las mujeres en Bolivia y hace hincapié en la necesidad de valorar la percepción de autoconfianza como motor del desarrollo empresarial.
2. Literatura académica sobre el emprendimiento liderado por mujeres
La literatura académica que se ocupa del emprendimiento liderado por mujeres, es decir, de la creación de un negocio propio con fines de autoempleo, evoluciona de acuerdo con los constructos teóricos vigentes en diferentes tiempos. En sus inicios, hace cincuenta años, los estudios sobre el tema muestran las diferencias entre hombres y mujeres, aunque no precisamente brindan una explicación (Brush, 1992). Ese abordaje es enriquecido con perspectivas denominadas feministas; el perfil de la mujer emprendedora se complementa con el entendimiento de que ellas socializan de manera diferente y tienen necesidades que, al ser construidas por cada sociedad, son distintas de las de sus pares hombres. Con el cambio de siglo, se convoca a superar la reproducción de estereotipos y a ampliar la investigación a contextos de países en desarrollo. Hoy en día, el estudio de las mujeres emprendedoras recurre a enfoques multidisciplinarios para explicar su conducta.
2.1. La comparación entre hombres y mujeres
Después de cuarenta años de ocuparse del tema del emprendimiento, las revistas científicas publican por primera vez un artículo sobre emprendimiento femenino (Yadav y Uni, 2016). El artículo pionero de Eleanor Schwartz (1976) -“Entrepreneurship: a new female frontier”- destacaba que “las motivaciones principales para el autoempleo ENT#091;de las mujeresENT#093; eran la necesidad económica y el deseo de independencia” (Minniti, 2009, p. 8). La puerta había sido abierta y, en los años siguientes, el emprendimiento de mujeres sería estudiado en comparación con el proceso realizado por sus pares hombres. Los estudios empíricos de entonces mostraban que, entre las escasas diferencias entre hombres y mujeres a la hora de emprender, “prevalecían aspectos demográficos, familiares, educativos y escogencias ocupacionales” (Ferraz et al., 2014, p. 324).
En esos años destacan las publicaciones de Bowen y Hisrich (1986) y de Birley (1989), por resaltar -el primero de ellos-, las características psicológicas y criticar el uso excesivo de estereotipos cuando se habla de emprendimiento femenino y -el segundo-, por enfatizar los diferentes efectos que tiene la cultura en el comportamiento emprendedor de hombres y mujeres. Ambas investigaciones ayudaron a construir el perfil de una mujer emprendedora (Bowen y Hisrich, 1986, p. 404) y -aunque dejaron de lado las responsabilidades y experiencia gerencial de ellas en el hogar- ayudaron a incrementar la conciencia sobre la participación de la mujer en el mercado laboral y en el emprendimiento en particular (Minniti, 2009, p. 10).
2.2. Las perspectivas feministas
En la década de los noventa, el estudio del emprendimiento avanza al observar a la mujer como un lente y no como una simple variable. Surgen estudios acordes al pensamiento feminista, en contra de la visión androcentrista prevaleciente (Aldrich, Baker y Liou, 1997, p. 222). En ese abanico se encuentra el feminismo liberal que denuncia la discriminación hacia las mujeres en el acceso a oportunidades y, en cuanto al emprendimiento, señala que las modalidades de conducción de sus negocios obedecen a valoraciones personales y económicas de las mujeres (Mirchandani, 1999). De manera paralela, el feminismo social observa las diferencias de la conducta emprendedora entre hombres y mujeres como reproducción de los roles de género vigentes en cada sociedad (Fischer, Reuber y Dike, 1993; Ahl, 2006; Ferraz et al., 2014).
Años después, se plantea una tercera corriente feminista que, bajo el nombre de constructivismo social o teoría posestructuralista, se preocupa por cómo la masculinidad y la feminidad se construyen en contextos históricos y extraeconómicos específicos. Ahl (2006) observa que, en el discurso académico, la figura del emprendedor y sus atributos son de corte masculino, y que, cuando se tratan diferencias entre hombres y mujeres, ellas aparecen como un complemento detrás del estereotipo masculino. Al criticar la investigación binaria por el riesgo de reproducir el rol subordinado de la mujer, es necesario -sugiere Ahl (2006)- considerar no sólo al individuo sino el contexto, las normas sociales y la cultura que influyen en la expresión del emprendimiento femenino.
2.3. Superando los estereotipos: hacia la conducta emprendedora de las mujeres
Con el cambio de siglo, el interés por el contexto incluye al estudio de economías emergentes y en desarrollo (De Vita y Pogessi, 2014; Goyal y Yadav, 2014). Los análisis comparativos multinacionales, como es el caso de los trabajos de Minniti (2010) o de Verheul et al., (2006), concluyen que en los países en desarrollo hay mayor cantidad de emprendimientos de mujeres (Minniti, 2009) o, dicho de otra manera, que es menor la diferencia entre los niveles de emprendimientos masculinos y femeninos (Llussa, 2010, p. 7).
En la escasa literatura que se ocupa exclusivamente de los emprendimientos de mujeres en América Latina, se destaca la existencia de un importante porcentaje de emprendimientos que surgen (push) ante la inexistencia de fuentes alternativas de ingresos (Amorós, 2008, pp. 320-324) y que, al carecer de la innovación de corte schumpeteriano, tienen escasa posibilidad de contribuir al desarrollo económico de la región (Terjensen y Amorós, 2010). Se argumenta que las mujeres tienen mayores barreras de entrada al mercado laboral y que encuentran en el emprendimiento una vía de escape al desempleo y la pobreza (Minniti y Naude, 2010, p. 279). Sin embargo, la dicotomía oportunidad-necesidad es considerada por varios autores como una sobre-simplificación de las motivaciones para emprender (Stephan, Hart y Drews, 2015), en especial cuando se observa que la motivación para emprender de las mujeres responde al conflicto entre las responsabilidades públicas y privadas; entre el trabajo remunerado y la familia (Orhan y Scott, 2001; Domínguez y Brown, 2013; García, 2018).
Al coincidir en que las valoraciones subjetivas, como ser la realización personal o la preferencia de la vida familiar entre otras, deben ser consideradas, el análisis del emprendimiento femenino recurre a la utilización de enfoques multidisciplinarios. En la búsqueda de nuevas explicaciones se inscriben, por ejemplo, el trabajo de Brush, De Bruin y Welter (2009), que pone énfasis en las responsabilidades de la mujer en la economía del cuidado y la incidencia de la teoría institucional de regulaciones formales y normas sociales no escritas en el comportamiento emprendedor de ellas (Vossenberg, 2013). Así también, enfoques psicosociales como el trabajo de Sullivan y Meek (2012), que cuestiona algunos estereotipos existentes y convoca a profundizar el estudio de las consideraciones subjetivas de las mujeres en las distintas fases del proceso emprendedor. Es decir que el análisis del emprendimiento liderado por mujeres observa la conducta emprendedora; se analizan los rasgos psicológicos (Birley, 1989; Brush, 1992) y las variables perceptuales (Minniti, 2010) que inciden en la decisión de emprender un negocio propio como un acto producto de la voluntad (Bird, 1988; Kolvereid, 1996; Krueger, Reilly y Carsrud, 2000; van Gelderen et al., 2008).
En resumen, la evolución de la investigación sobre el emprendimiento de mujeres ha avanzado. Se reconoce que el análisis comparativo hombre-mujer es un aporte importante al mostrar que hay más similitudes que diferencias a la hora de emprender. Sin embargo, es criticado por enfatizar en la necesidad de alcanzar los estándares masculinos como el ideal del ser emprendedor. Estudiar el emprendimiento de mujeres como la actividad de un grupo especial que comparte ciertas características situacionales, contribuye a un mejor entendimiento del fenómeno emprendedor en general. Ante la observación de los altos porcentajes de emprendimientos de mujeres en los países en desarrollo -en particular de América Latina, se considera que las explicaciones puramente económicas precisan complementarse con enfoques multidisciplinarios, toda vez que la conducta emprendedora es un acto volitivo.
3. La autoconfianza en la conducta emprendedora
La consideración del emprendimiento como un acto producto de la voluntad encuentra sustento en la teoría del aprendizaje social (social cognitive theory). En esa línea, el principio es la comprensión del emprendimiento como un proceso consciente e intencional (Bird, 1988) en el cual se identifican los rasgos de carácter subjetivo (Arenius y Minniti, 2005) como determinantes de la acción. La utilidad de este enfoque -denominado modelo conductual o de intención- radica en la posibilidad de comprender las motivaciones para el emprendimiento a través de la observación de las actitudes, percepciones e intenciones del individuo en un contexto específico (Querejazu, 2020a). Según la literatura, entre los factores subjetivos que influyen en la intención y, en particular, en la acción de emprender, es relevante la percepción de autoconfianza del individuo emprendedor (Zhao, Seibert y Hills, 2005).
Toda vez que el emprender es un acto volitivo, los estudiosos del tema coinciden en la robustez metodológica de los modelos conductuales o de intención para explicar el proceso emprendedor (Kautonen, van Gelderen y Fink, 2015). Entre los modelos de intención destaca el modelo de la Teoría de la Conducta Planeada de Ajzen (1991). El modelo elaborado por Ajzen (Theory of Planned Behavior-TPB), sostiene que la conducta es explicada por la intención, y ésta, a su vez, por las actitudes personales, las normas sociales y la capacidad o percepción de control del comportamiento o conducta (Gráfico 1) (Querejazu, 2020a). En la Tpb, la intención se entiende como la disposición (readiness) a realizar una conducta dada; a mayor intención, mayor probabilidad de que el individuo se involucre en una conducta (Ajzen, 1991, p. 181). La intención -a su vez- se explica mediante tres componentes. El primero contiene las actitudes personales hacia la conducta o la evaluación que hacen los individuos sobre el comportamiento en cuestión. El segundo componente que incide en la intención comprende las normas sociales o subjetivas que capturan la percepción del individuo acerca de la reputación social de que goza el acto emprendedor en su entorno. Y, finalmente, la intención es explicada por la percepción de control del individuo sobre la conducta particular (perceived behavioral control-PBC), que equivale a la consideración sobre cuán fácil o difícil es la realización de la conducta; una percepción que puede entenderse como la autoeficacia o autoconfianza del individuo respecto al acto en consideración (Krueger, Reilly y Carsrud, 2000; Ajzen, 2002; Izquierdo y Buelens, 2008).
Llama la atención que la percepción de control del comportamiento, además de incidir en la intención, tenga una función decisiva en la ejecución de la conducta. Como se observa en el Gráfico 1, la percepción de control incide, por un lado, en la intención de actuar y, por otro lado, contribuye a la predicción de la conducta (Kautonen et al., 2015, p. 4, recuperando a Ajzen, 1991). Una vez que se entiende la percepción de control como una percepción de autoconfianza, ésta aparece -junto con la intención- como determinante significativo de la acción emprendedora (Ajzen, 2002), aunque la linealidad o causalidad no esté bien definida (Elfving et al., 2009).
En la consideración de la teoría, la percepción de las personas acerca de sus capacidades -es decir la percepción de control del comportamiento entendida como autoconfianza- llega a influir en el grado de esfuerzo, en la duración de éste e, incluso, en la resiliencia del individuo ante los obstáculos que encuentra para la realización de su objetivo (Bandura, 1994; Bandura y Adams, 1977). En el estudio de la incidencia que tiene la autoconfianza en el proceso emprendedor -desde los trabajos iniciales, como el de Bird (1988) refinado por Boyd y Vozikis (1994) hasta investigaciones posteriores de Minniti y Arenius (2003); Koellinger et al. (2007) o Fellnhofer y Puumalainen (2017)- se coincide en que la sobre-confianza en uno mismo es la variable de mayor impacto en la decisión de iniciar un negocio. Por lo que resulta interesante observar esta influencia en contextos de economías en desarrollo, donde el ambiente económico es menos favorable que en economías desarrolladas (Solesvik, 2016, citando a Zhao et al., 2005).
Con estas consideraciones, es posible sostener (hipótesis H1) que la percepción subjetiva sobre el control del comportamiento, o autoconfianza en las destrezas pertinentes al negocio, influye en la acción de emprender de las mujeres en Bolivia. Es oportuno, entonces, abundar sobre esta percepción en su relación con la decisión de iniciar un negocio.
3.1. Tipos de autoconfianza y la entrada excesiva al mercado
Según la economía del comportamiento, la percepción de autoconfianza se expresa de tres maneras: como a) sobreestimación de las habilidades propias para realizar una acción (overestimation), por lo cual está relacionada con el optimismo; como b) sobre-calificación de uno mismo respecto a otros (overplacement), por lo que requiere una comparación directa que puede convertirse en negación de la competencia (reference group neglect), y finalmente c) excesiva certidumbre respecto a la precisión de las propias creencias (overprecision) (Astebro, Herz, Nanda y Weber, 2014; Bernoster, Rietveld, Thurik y Torres, 2018). Aun cuando estos distintos tipos de autoconfianza se entremezclan y son difíciles de identificar en la práctica, la sobreestimación de las propias capacidades y la consideración de éstas por encima de las capacidades de sus pares pueden ayudar a explicar la entrada al proceso emprendedor en mercados de alta competencia (Astebro et al., 2014, p. 61; Bernoster et al., 2018).
Autores como Camerer y Lovallo (1999, p. 314) encuentran que, por encima de la subestimación de la competencia, los agentes participan en el mercado porque sobreestiman (overestimation) sus destrezas relativas. Esta actitud no es irracional; aun cuando el sujeto llegue a observar que habrá competencia, está dispuesto a entrar al mercado porque tiene la creencia -tal vez sesgada- de poseer mayor destreza que sus pares para la tarea que se avecina. Dado que las percepciones de autoeficacia o autoconfianza pueden desempeñar un papel incluso más importante que las destrezas reales como determinantes de la conducta (Kickul, Grundy, Barbosa y Withcanack, 2009 citando a Krueger y Dickson, 1994), se puede proponer (hipótesis H2), que la percepción de autoconfianza tiene una relación positiva con la conducta emprendedora de las mujeres en Bolivia.
3.2. Fuentes de autoconfianza
Dada la relevancia de la autoconfianza en el estudio de la conducta emprendedora, cabe anotar el origen de este rasgo psicológico. La autoconfianza, entendida según (Bandura y Adams 1977, p. 3) como “las creencias en las capacidades de uno para organizar y ejecutar los pasos de la acción requeridos para producir los logros propuestos”, proviene de tres fuentes: a) a través del perfeccionamiento de las experiencias propias o sustitutas provenientes de los modelos sociales, b) de la persuasión que ejerce el conjunto social, y c) del estado anímico (mood) que afecta al juicio de las personas sobre su eficacia personal (Bandura, 1994). Por ello, a continuación se menciona la relación existente entre la autoconfianza y el riesgo; los ejemplos que dan otros emprendedores; la educación formal y el contexto en que se desenvuelve el sujeto.
3.2.1. La autoconfianza y la aversión al riesgo
Al retomar la caracterización del sujeto emprendedor de Knight (1921) y de Kirzner (1997), es posible perfilar al individuo por su destreza para identificar o aprovechar oportunidades de negocio confrontando no sólo el riesgo, sino sobre todo la incertidumbre. Según los estudiosos, el temor al riesgo provoca una ansiedad que inhabilita la capacidad de manejar la situación, por lo que la percepción de autoeficacia o autoconfianza facilita el control de esa angustia (Bandura y Adams, 1977) e incrementa la toma de riesgos (Astebro et al., 2014 citando a Krueger y Dickson, 1994). En ese entendido, se puede sostener (hipótesis H3.1) que la autoconfianza y el temor a fracasar son opuestos en la conducta emprendedora de las mujeres en Bolivia.
Se esperaría entonces que quienes son más tolerantes al riesgo se conviertan en emprendedores a cambio de una retribución mayor en comparación con otras ocupaciones menos riesgosas (Astebro et al., 2014). Dado que una entrada masiva al mercado se traduce en bajos rendimientos y escasa probabilidad de éxito, la utilidad esperada llega a ser negativa (Hamilton, 2000, p. 604; Himieleski y Baron, 2009; Koudstaal et al., 2015). Por lo que no se descarta la existencia de beneficios no pecuniarios en las aventuras emprendedoras, como ser las preferencias de independencia, control sobre la propia vida o el sentido de propósito u orgullo por materializar la idea en un negocio exitoso, los mismos que deberían ser considerados (Astebro et al., 2014, pp. 61-62). Una explicación que, para el caso de las mujeres, se relaciona con el desafío de combinar lo doméstico y el trabajo remunerado, ya que, “debido a los desfases temporales de la cultura y las prácticas sociales, ENT#091;…ENT#093;, ellas continúan llevando el peso de la mayor parte de las responsabilidades del hogar, y son aquellas que tienen una mayor valoración de sí mismas las que llevan mejor esta combinación de ambas esferas” (Bandura, 1994, p. 13).
3.2.2. El efecto de ejemplos emprendedores (role models)
Dentro de la teoría del conocimiento social (social cognitive theory) se señala que el exponer a los emprendedores nacientes a modelos sociales tiene un impacto positivo en las percepciones del deseo y la factibilidad de iniciar un negocio (Fellnhofer y Puumalainen, 2017 sobre la base de los estudios de Ajzen, 1991 y Krueger y Carsrud, 1993). Entre estas influencias que llegan a moldear las percepciones individuales están el ejemplo de los padres, la influencia de las redes de contacto, los colegas de trabajo (Astebro et al., 2014, p. 66) o las personas con las que el sujeto encuentra cierta identificación situacional. Estas influencias, aunque no son suficientes para explicar la conducta emprendedora, ayudan a comprender las diferencias entre hombres y mujeres. Por ejemplo, la tensión entre familia, trabajo y multiplicidad de roles sociales que deben cumplir las mujeres puede ser aliviada a través de la observación de cómo este conflicto es experimentado y resuelto por sus semejantes (Greene et al., 2003; De Martino y Barbato, 2003). En ese sentido, es posible señalar que entre las mujeres emprendedoras nacientes en Bolivia (hipótesis H3.2), los modelos de rol expresados en el conocimiento de una mujer emprendedora refuerzan la autoconfianza para iniciar un negocio propio.
3.2.3. Autoconfianza y educación
Dado que Bandura (1994) sostiene que la percepción sobre las propias destrezas es producto de las experiencias propias y ajenas, se esperaría que los niveles de educación formal alcanzados incidan en el fortalecimiento de la autoconfianza y, por ende, sobre el emprendimiento. Pese a que los resultados de las diversas investigaciones sobre la educación y el emprendimiento no son concluyentes (Fellnhofer y Puumalainen, 2017, p. 392; Izquierdo y Buelens, 2008; Astebro et al., 2014, p. 442), se recomienda promover la educación emprendedora entre las mujeres, para fortalecer su autoestima y allanar los obstáculos que afrontan para emprender (Solesvik, 2016). Por ello, es de esperarse (hipótesis H3.3) que, a mayor educación de las mujeres bolivianas, mayor sea la confianza en sus destrezas para llevar adelante el negocio.
3.2.4. La autoconfianza y el contexto
Así como el emprendimiento no nace en el vacío (Solesvik, 2016 recuperando a Reynolds, 1992), la autoconfianza también depende del contexto social y cultural, toda vez que las personas son parcialmente el producto de su medioambiente (Bandura, 1994, p. 7). Al reconocer que el medio ambiente emprendedor afecta a la autoconfianza (Bernoster et al., 2018), es relevante estudiar el emprendimiento en un contexto de países en desarrollo fuera de la lógica predominante de economías desarrolladas en Occidente (Bruton et al., 2008; Desai, 2009; Jaim y Nazmul Islam, 2018).
Hacer referencia al contexto cuando se estudia el emprendimiento es, de manera tradicional, hablar del crecimiento económico del país en cuestión. En general, es aceptada la existencia de una relación en forma de U entre el emprendimiento naciente y el nivel de desarrollo económico (Wennekers, van Stel, Thurik y Reynolds, 2005)1. Para el caso de los países de América Latina, Terjesen y Amorós (2010) observan que esta relación en forma de U es de menor intensidad debido al modelo económico basado en la explotación de recursos e incipiente transformación productiva. Por ello, el boom económico de la década pasada en estos países en desarrollo motiva el estudio del proceso emprendedor a través de otras perspectivas que permitan observar el ánimo social existente y la percepción de autoconfianza de los ciudadanos (Fellnhofer y Puumalainen, 2017).
En la actualidad, como se ha visto en la evolución del estudio del emprendimiento femenino, el término contexto abarca, además del ambiente económico, el aspecto sociocultural que incide sobre la conducta (Ahl, 2006). En esa línea, Álvarez y Urbano (2011) observan que las instituciones formales tienen menor impacto debido a los altos índices de informalidad existentes en América Latina, por lo que el emprendimiento, en particular el femenino, estaría mucho más afectado por las percepciones políticas, niveles de reputación social o normas socioculturales no escritas pero vigentes en su medio.
Los argumentos expuestos respaldan la pertinencia de utilizar los modelos de intención como herramienta para el estudio de la conducta emprendedora. Entre estos modelos, la Teoría de la Conducta Planeada de Ajzen identifica la percepción de control de la conducta -equivalente a una confianza en las destrezas personales- como un determinante, no sólo de la intención, sino de la acción- objetivo. Aplicar este abordaje para explicar la conducta de mujeres en un contexto particular como es el caso de Bolivia promete una mejor compresión del fenómeno emprendedor.
4. Mujeres en Bolivia: mercado laboral y emprendimiento
En América Latina, la incorporación de las mujeres en actividades remuneradas se relaciona con cambios económicos, sociales y sobre todo culturales, como la reducción de las tasas de fecundidad y nuevas relaciones al interior de la familia (Martínez, Miller y Saad, 2013). La tendencia ascendente de la participación de la mujer en los mercados laborales se observa también en las tasas de emprendimiento femenino; ya a principios del siglo las mujeres representaban hasta un 48% del total de la actividad emprendedora en la región (Weeks y Seiler, 2001).
En Bolivia, según datos recientes, la tasa de participación laboral femenina es del 57.5%, porcentaje superior al promedio de América Latina (51.4%). Esta participación sube al 64% en el sector servicios, que ocupa a la mayoría de la población en edad laboral en el país (62%). Cabe anotar que la expansión del sector terciario es notoria durante la década 2005-2015, periodo en el cual -producto del ciclo positivo en los términos de intercambio- se registra un crecimiento económico del 4% (promedio anual) y una reducción de la pobreza moderada del 63% en 2001 al 38.5% en 2015 (Wanderley y Vera, 2017)2.
Autores como Uhlaner, Thurik y Hutjes (2002) consideran que en países con alta participación femenina en el mercado laboral hay altos niveles de desempleo debido a la mayor oferta de fuerza laboral. El desempleo es utilizado como explicación de los niveles de emprendimiento, en especial en el sector servicios, donde existe considerable participación femenina (Verheul et al., 2006). En el mercado laboral boliviano, para la década 2005-2015, la tasa de desempleo abierto femenino se mantuvo baja (6% en promedio), aunque el porcentaje se triplica (20.7%) al observar las condiciones de subempleo, tanto visible como invisible3. Aun cuando la proporción de mujeres asalariadas aumentó a 36.5% en 2015, la mayoría de ellas (63.6%) generó sus propias fuentes de trabajo, lo cual evidencia la importancia de la generación de autoempleo, en especial en el sector informal sin seguridad social de largo plazo (Martínez, 2017; Wanderley y Vera, 2017).
En la expansión del autoempleo de mujeres en Bolivia, sea formal o informal, es importante mencionar el rol de las microfinanzas desde la década de los años ochenta; una actividad que en sus inicios se desarrolló a cargo de organismos no gubernamentales para atender a poblaciones vulnerables -en particular mujeres-, y que a la fecha se ha convertido en una industria dinámica (Prado y Collao, 2005). La industria de las microfinanzas en Bolivia, donde el 71% de su cartera son microcréditos orientados mayoritariamente al sector informal, es un aporte para el dinamismo del emprendimiento en el país y un ejemplo en términos de institucionalidad, tecnología y marco normativo para la región (Garrón y Villegas, 2014).
Cabe notar que la creciente participación de las mujeres en el mercado laboral boliviano no fue acompañada con una reducción proporcional de sus responsabilidades domésticas y de cuidado, situación que exacerba la tensión para compatibilizar los tiempos dedicados a las tareas en el ámbito privado y aquellas actividades remuneradas (Wanderley, 2003, 2019; Oxfam, 2019). Esta doble carga laboral bien podría ser parte de la explicación de las altas tasas de emprendimiento como alternativa para las mujeres, en especial para aquéllas menores de 40 años. Además de estos datos de contexto, es conveniente presentar el perfil de la mujer emprendedora en el país.
4.1. Perfil de la mujer emprendedora en Bolivia
Según los últimos datos disponibles a nivel nacional, para los años 2010 y 2014, en Bolivia las tasas de actividad emprendedora (TEA) son del 38.6% y del 27.4%, respectivamente4. De este total de emprendedores, 47.8% y 46% son mujeres, las cuales mayoritariamente declaran encontrarse en este proceso motivadas por una oportunidad para incrementar sus ingresos o ser independientes sin mayores expectativas de crecimiento en el tamaño de la firma (Fernández, 2011; Querejazu, Zavaleta y Mendizábal, 2015).
Cuadro 1 Variables demográficas y económicas de mujeres emprendedoras nacientes, 2010 y 2014
| Edad | Número observ. (N=789 ) | Porcentaje / (obs. válidas) |
|---|---|---|
| 18-24 | 186 | 24 |
| 25-34 | 266 | 34 |
| 35-44 | 183 | 23 |
| 45-54 | 115 | 15 |
| 55-64 | 39 | 5 |
| Educación | ||
| Ninguna (ninguna o menor a ó años) | 229 | 29 |
| Primaria completa (6 años) | 139 | 18 |
| Secundaria completa (12 años) | 265 | 34 |
| Terciaria (técnico, estudios y/o grado universitario) | 155 | 20 |
| Nivel de ingreso familiar | ||
| Bajo | 175 | 26 |
| Medio | 251 | 37 |
| Alto | 258 | 38 |
| Tamaño de familia | ||
| Pequeño (igual o menor a 4 miembros) | 462 | 59 |
| Extendida (mayor a 4 miembros) | 322 | 41 |
| Estatus marital | ||
| Soltera | 99 | 44 |
| Casada o en pareja | 125 | 56 |
Fuente: Elaboración con base en datos de la Encuesta a Población Adulta en Bolivia para los años 2010 y 2014, según metodología GEM (Fernández, 2011 y Querejazu et al., 2015).
Tomando la información sobre mujeres que surge de la encuesta a la población adulta del GEM5, para los años mencionados, a través de un “pooling” de acuerdo a las variables consideradas, se obtiene un total de 3,428 de mujeres encuestadas. Se puede observar que alrededor del 50% del total de ellas tienen intención de emprender sin haber realizado acción alguna, y que tres de cada 10 mujeres se encuentran dentro de la actividad emprendedora (TEA) propiamente dicha. Del total de mujeres en la TEA (1089), 72% de ellas son emprendedoras nacientes, es decir, están iniciando un negocio sin haber pagado aún salarios (emprendedoras nacientes/TEA). Es este grupo de mujeres que están iniciando un negocio el que se convierte en sujeto de estudio del presente trabajo. Como se puede observar en el cuadro 1, en el subgrupo de emprendedoras nacientes en Bolivia es destacable que un tercio de ellas (34%) se encuentran entre los 25 y 34 años de edad; con un nivel educativo de secundaria completa (34%), y con niveles de ingreso familiar medio y alto; en su mayoría (59%) con familias de cuatro miembros o menos y sin mayores diferencias respecto a su estatus civil.
Dado que el interés del trabajo se basa en la conducta, es oportuno complementar el perfil demográfico con información sobre las percepciones de la mujer que inicia un emprendimiento, tanto de índole individual -como ser el conocimiento de otros emprendedores, la existencia de oportunidades para emprender y el temor a fracasar- como de orden social o subjetivo -como ser las percepciones acerca de si los medios de comunicación dan cobertura a emprendedores exitosos, si la sociedad considera que la actividad emprendedora otorga estatus y si su entorno social ve el emprendimiento como opción de carrera. Para finalizar, entre las percepciones se considera la variable que hace referencia a la consideración que tiene el sujeto acerca de las destrezas y habilidades requeridas para el negocio en cuestión, es decir, la variable de autoconfianza. La información que se presenta en el Cuadro 2 permite aseverar que la mayoría de las emprendedoras nacientes considera que el ambiente existente en Bolivia refuerza la actividad emprendedora. El 66% de ellas señala que existen oportunidades en el mercado, el 69% considera el emprendimiento como una actividad que da estatus y el 65% percibe el emprendimiento como una opción de carrera. Resulta interesante observar que el 86% de las mujeres emprendedoras nacientes muestra autoconfianza al señalar que posee el conocimiento y las destrezas suficientes para iniciar el negocio que pretenden, y sólo el 30% expresa que el temor a fracasar inhibe sus actividades de iniciar un negocio.
Cuadro 2 Percepciones de mujeres emprendedoras nacientes, 2010 y 2014
| Número de observaciones | Observaciones válidas | Porcentaje / observ. válidas | |
|---|---|---|---|
| Emprendedoras nacientes (nascent) | 789 | 100 | |
| Conocen a un emprendedor | 456 | 772 | 59 |
| Tienen temor a fracasar | 225 | 748 | 30 |
| Consideran que existen oportunidades para emprender | 478 | 729 | 66 |
| Perciben que los medios de comunicación reflejan la actividad emprendedora | 412 | 690 | 60 |
| Perciben que el emprendimiento otorga estatus social | 501 | 690 | 69 |
| Consideran que emprender es una buena alternativa de carrera | 473 | 721 | 65 |
| Consideran tener conocimiento y experiencia para iniciar un negocio (suskill) | 650 | 760 | 86 |
Fuente: Elaboración con base en datos de las encuestas a la población adulta en Bolivia, según la metodología GEM, años 2010 y 2014.
Aun cuando el interés está enfocado en el conjunto de las percepciones individuales, cabe anotar que el 55% de las emprendedoras nacientes consideran no tener competencia en el mercado y el 39% reconocen que existe alguna competencia en el rubro de su emprendimiento. Las escasas expectativas de expansión futura -69% de ellas considera crear menos de cinco empleos en los próximos cinco años- están relacionadas con los bajos montos de inversión, ya que el 71% de ellas señala cantidades menores a los dos mil dólares como capital inicial. Es oportuno comentar que los principales motivos de las mujeres para emprender son incrementar su ingreso (63%) y obtener mayor independencia (30%).
En resumen, Bolivia muestra una alta participación de mujeres en el mercado laboral (57.5%), en particular en el sector de servicios y bajo modalidades de autoempleo informal. Casi la mitad del emprendimiento en el país (47%) es liderado por mujeres. El 72% de las mujeres emprendedoras se encuentra en la fase inicial. La información permite dar un perfil promedio del sujeto de estudio: mujeres menores a los 35 años de edad con un 50% de ellas educadas y sin mayor distinción en cuanto al nivel de ingreso familiar, y en su mayoría (59%) con grupos familiares de cuatro o menos personas. En cuanto a sus percepciones, las emprendedoras nacientes consideran que existe un ambiente apto para emprender en el país, y el 86% de ellas muestran autoconfianza al señalar que poseen las habilidades necesarias para el negocio que llevan adelante.
5. Metodología, modelo y resultados
La información que se obtiene del Global Entrepreneurship Monitor (GEM)6 en los años 2010 y 2014 para Bolivia, se ajusta bien a los propósitos de la investigación, toda vez que brinda datos sobre las percepciones de los individuos que se encuentran en el proceso emprendedor al momento de la entrevista. Dado el carácter binario de la información, se escoge un modelo econométrico no lineal con variables que permiten observar las relaciones referidas en la literatura que antecede. El sujeto de estudio son las mujeres emprendedoras nacientes (nascent entrepreneurs), es decir, aquellas mujeres entre 18 y 64 años que están iniciando un negocio como propietarias parciales o totales del negocio y que han pagado salarios por menos de tres meses, obteniendo un total de 789 mujeres emprendedoras nacientes entre un total de 3,428 mujeres.
5.1. El modelo probit bivariate
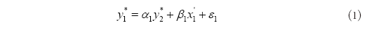
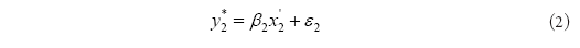
El modelo de intención basado en la teoría de la conducta planeada, que se ha revisado en los apartados anteriores, establece una fuerte relación entre las percepciones individuales y sociales con la intención y, a través de ésta, con la conducta en cuestión. El modelo de la conducta planeada destaca además una relación directa entre la autoconfianza y la acción. Por ello, dado que la literatura revisada y la evidencia para el emprendimiento en Bolivia (Querejazu, 2020b), resaltan la incidencia de las percepciones en general, y de la autoconfianza o autoeficacia en particular sobre la acción de emprender, se escoge -siguiendo a Koellinger et al. (2011) y Zhao et al. (2005)- un sistema de dos ecuaciones que se relacionan de manera recursiva en un modelo probit bivariate. En este sistema, la primera es la ecuación estructural de interés, y la segunda es la forma reducida del regresor supuestamente endógeno. Por lo que, en la especificación que interesa, es la acción de emprender que incluye la autoconfianza como parte de su explicación:
La decisión de escoger la variable autoconfianza como variable explicativa en la primera ecuación, y luego como variable dependiente en la segunda ecuación, responde a la observación de la correlación existente entre la acción de emprender (nascent) y las diferentes variables de percepción individuales y sociales, en particular la percepción de autoconfianza (suskil). Con esta correlación positiva (0.16) parece apropiado modelar las dos variables de manera conjunta, a través del modelo de carácter no lineal probit bivariate (Greene, 1997, pp. 907-911; Cameron y Trivedi, 2010, pp. 529-532).
Una de las expresiones simples de un modelo probit bivariate utiliza las mismas variables explicativas en ambas ecuaciones. Una versión más general permite que la lista de regresores difiera para cada uno de los resultados, entre los que se encuentra una o más variables endógenas (Cameron y Trivedi, 2010; Koellinger et al., 2011). De una manera sencilla, como sugieren Koellinger et al. (2011), los determinantes de cada una de las ecuaciones son disimiles, una especificación que nos permite construir un modelo Biprobit aparentemente no relacionado (seemingly unrelated bivariate probit model).
En el ejercicio econométrico que se presenta se desea observar la influencia de las variables perceptuales individuales y de carácter social en la autoconfianza de la persona y -a través de ésta- observar su incidencia en la acción de emprender. Por ello, en la primera ecuación la variable dependiente y1 -la conducta de las mujeres de iniciar un nuevo negocio (nascent)- es explicada por las variables psicosociales tales como conocer un emprendedor; existencia de oportunidades en el mercado; temor a fracasar; cobertura de emprendimientos por parte medios de comunicación; estatus social que brinda el emprendimiento; emprender como opción de buena carrera; autoconfianza para emprender; junto a las variables demo económicas tales como ingreso familiar, estado civil y tamaño de familia de la mujer encuestada. Entretanto, en la segunda ecuación, la variable dependiente y2 -la autoconfianza que tienen las mujeres en las destrezas específicas para iniciar un negocio (suskill)- tiene por variables explicativas, además de las variables de percepción mencionadas, las variables categóricas de educación, edad e ingreso familiar, exceptuando el estado civil y el tamaño de la familia.
Al ser un ejercicio de carácter binario, cabe recordar que los coeficientes no denotan de manera directa el cambio en la probabilidad del evento; sin embargo, el signo del coeficiente y su significancia estadística aportan importante información. Ello permitirá poner a prueba las hipótesis mencionadas anteriormente: H1, la percepción subjetiva que llega a influir en la acción de emprender de las mujeres en Bolivia es la percepción de control del comportamiento o autoconfianza; es decir, la percepción de poseer la capacidad suficiente para desempeñar la conducta en cuestión; H2, la percepción de autoconfianza en las destrezas para iniciar un negocio tiene una relación positiva con la conducta emprendedora de las mujeres en Bolivia; H3.1, la autoconfianza y el temor a fracasar son opuestos en la conducta emprendedora de las mujeres en Bolivia; H3.2, entre las mujeres emprendedoras en Bolivia, los modelos de rol -expresados como el conocer a un emprendedor- refuerzan la autoconfianza en las destrezas para iniciar un negocio propio; H3.3, la educación favorece la autoconfianza; a mayor educación de las mujeres bolivianas, mayor autoconfianza en las destrezas para llevar adelante un negocio.
5.2. Resultados
Los resultados del modelo biprobit para las dos ecuaciones se muestran en el Cuadro 3. Como primera observación, se acepta el modelo probit bivariate dado que -gracias a la prueba de Wald propia para este tipo de modelos- se rechaza la hipótesis de correlación de los errores rho=0 al nivel de confianza del 99% (p<0.01). En la primera ecuación se observa que la variable dependiente, es decir, las mujeres que están iniciando un negocio (nascent), están siendo afectadas por el temor a fracasar, la autoconfianza (suskill) y el tamaño de sus familias. En particular, la autoconfianza denota una relación positiva con la acción de iniciar un negocio con un nivel de confianza del 99% (p<0.01). De esta manera, se respaldan las hipótesis H1 y H2: la confianza en las propias destrezas es un factor que incide y propicia la acción de emprender entre las mujeres bolivianas. Es de relevar la existencia de otras dos variables con significancia estadística sobre la acción de emprender, referidas al temor a fracasar, que presenta un coeficiente de 0.16 con signo positivo y significancia del 90%; y la extensión familiar, con un coeficiente de 0.14 con significancia del 95%. El signo de la variable temor al fracaso puede interpretarse como que el desánimo ya no ejerce la influencia negativa previsible para quienes llevan adelante la acción, o bien, que inician un negocio precisamente atraídas por el riesgo. El otro resultado indica que las mujeres con familias extendidas de más de cuatro miembros muestran mayor probabilidad de emprender que aquéllas que tienen una familia de menos de cuatro miembros. Esto último aporta evidencia a la consideración del emprendimiento como posible opción para solucionar el conflicto existente entre las responsabilidades de las mujeres en la economía del cuidado y la actividad mercantil, o bien, como respaldo de la importancia de las redes familiares para el emprendimiento de las mujeres. Estos aspectos deben ampliarse a través de mayor información referente al uso de tiempos y las responsabilidades en la economía del cuidado dentro de la cultura boliviana.
En cuanto a la segunda ecuación, en la cual la autoconfianza de las mujeres en las destrezas y habilidades propias para iniciar un negocio (suskill) es la variable dependiente, los resultados denotan la incidencia de cinco variables, todas ellas con significancia estadística mayor o igual al 90% (p<0.1). Las variables de corte perceptual son el temor a fracasar con signo negativo, mostrando la oposición entre la autoconfianza y el temor a fracasar, por lo que no se rechaza la hipótesis H3.1. Así también, la variable denominada conocer a un emprendedor (0.51) con signo positivo permite no rechazar la hipótesis H3.2 y señalar que los modelos de rol y las experiencias ajenas fortalecen la autoconfianza de las mujeres emprendedoras nacientes en Bolivia. Como se observa en el Cuadro 3, la tercera variable con incidencia es la referente al estatus de que goza el emprender en el círculo social; un coeficiente positivo de 0.20 permite sostener que la autoconfianza se nutre de la reputación social que rodea al sujeto. Continuando en la segunda ecuación, se aprecia que entre las variables demográficas la edad tiene incidencia en la autoconfianza; las mujeres entre los 25 y 44 años se muestran más confiadas que las mujeres mayores. Y, finalmente, es notoria la incidencia positiva del ingreso familiar; las mujeres con respaldo económico alto denotan mayor confianza que aquéllas de ingresos familiares bajos. Lo que llama la atención es que la educación no tiene incidencia alguna en los niveles de autoconfianza de las mujeres emprendedoras en Bolivia, por lo cual se rechaza la hipótesis H3.3.
Cuadro 3 Modelo Biprobit para mujeres que inician un negocio y que perciben tener las destrezas suficientes para llevarlo adelante, 2010 y 2014
| VARIABLES | (1) Emprendedora naciente(nascent) | (2) Autoconfianza (suskill) | (3) athrho |
|---|---|---|---|
| Conocer emprendedor | -0.105 (0.0974) | 0.508*** (0.0930) | |
| Existan oportunidades | -0.00550 (0.0876) | 0.0807 (0.0909) | |
| Terror a fracasar | 0.163* (0.0851) | -0.360*** (0.0890) | |
| Cobertura medios comunicación | -0.0269 (0.104) | 0.163 (0.105) | |
| Estatus social | -0.140 (0.0971) | 0.202** (0.102) | |
| Opción buena carrera | 0.0868 (0.0938) | 0.0812 (0.0974) | |
| 1. Educ. primaria | 0.0685 (0.120) | ||
| 2. Educ. secundaria | 0.0744 (0.106) | ||
| 3. Edu. técnica/universitaria | 0.0529 (0.111) | ||
| 3. Edad 25-34 | 0.288*** (0.104) | ||
| 4. Edad 35-44 | 0.281 *** (0.108) | ||
| 5. Edad 45-54 | 0.0969 (0.111) | ||
| 6. Edad 55-64 | -0.112 (0.135) | ||
| 1. Ingreso familiar medio | -0.0705 (0.111) | -0.0149 (0.112) | |
| 2. Ingreso familiar alto | -0.0611 (0.101) | 0.297*** (0.108) | |
| Autoconfianza (suskill) | 1.771 *** (0.109) | ||
| 1. Estado civil casado/pareja | 0.0666 (0.0683) | ||
| 1. Tamaño familia extendida > 4 | 0.139** (0.0710) | ||
| Constante | -1.997*** (0.181) | -0.141 (0.177) | -1.645*** (0.425) |
| Observaciones | 962 | ||
|
Errores robustos en paréntesis *** p<0.01, ** p<0.05, * p<0.1 |
Wald test rho=0 Prob > chi2 =0,001 |
||
Fuente: Elaboración propia.
Con estos resultados, es posible sostener que la autoconfianza es la variable de mayor influencia en la acción de emprender de las mujeres en Bolivia. Y que es a través de la autoconfianza que las otras variables de percepción, como el conocer a otro emprendedor, el temor a fracasar y la percepción de estatus, se manifiestan para incidir en la acción de emprender. Con ello se confirma la aplicación y validez del modelo de intención de la Teoría de la Conducta Planeada de Ajzen (1991) para mujeres, en un país en desarrollo como Bolivia.
5.3. Efectos marginales
Con la finalidad de complementar los resultados, se presentan los efectos marginales que tienen las variables de conocer a un emprendedor, el temor a fracasar y la consideración del emprendimiento como opción de carrera, sobre la probabilidad conjunta de iniciar un negocio y tener la autoconfianza necesaria para ello. Se escogen como escenarios las combinaciones de edad de la mujer que emprende, el tamaño de su familia y el ingreso familiar. Se presentan los efectos de estas variables debido a la observancia de su incidencia positiva y significancia estadística en la probabilidad de iniciar un negocio y tener autoconfianza.
Como se puede observar en el Cuadro 4, los efectos marginales de conocer a un emprendedor son mayores para las mujeres emprendedoras con autoconfianza que tienen una familia extendida y bajos ingresos. Para una mujer cuya edad oscila entre los 18 y 24 años, con familia extendida e ingreso familiar bajo, el conocer a un emprendedor aumenta la probabilidad de emprender y tener autoconfianza en un 6.7%. Si en ese escenario se modifica el ingreso a un ingreso medio, el efecto se reduce a 6.1%. Si el tamaño de la familia se reduce a menos de cuatro miembros, el efecto de conocer a un emprendedor es aun menor; sólo aumenta la probabilidad de emprender y tener autoconfianza en un 5.6%, y si el ingreso aumenta, el efecto es únicamente del 4.9%. Se observa la misma tendencia para las mujeres con edades entre los 25 y 34 años.
En cuanto al miedo a fracasar, éste tiene un efecto marginal mayor de carácter negativo para las mujeres más jóvenes de familias extendidas con bajos ingresos. El efecto negativo es menor a medida que se incrementa el ingreso y se reduce el tamaño de la familia. Es interesante observar que, si se incrementa la edad de la mujer, el efecto marginal del temor al fracaso pierde significancia estadística que, aunque no se muestra en el cuadro, reaparece en magnitudes similares en mujeres mayores a los 45 años.
Finalmente -continuando en el Cuadro 4- la otra variable perceptual que tiene efectos marginales estadísticamente significativos es la consideración de emprender como una buena opción de carrera. Los efectos marginales de esta variable son mayores para las personas que tienen una familia extendida con un ingreso bajo. En este caso, la opción de carrera tiene mayor incidencia en la probabilidad de emprender y tener autoconfianza para las mujeres entre los 25 y 34 años, mientras que la variable tiene menor influencia entre quienes son más jóvenes, tienen una familia pequeña o bien pueden contar con un ingreso medio. En general, estos resultados muestran la importancia de la familia extendida a la hora de emprender, que puede interpretarse por las redes de contacto familiar, o bien por el peso que significa la combinación de las responsabilidades mercantiles y del trabajo doméstico no remunerado.
Cuadro 4 Efectos marginales de variables perceptuales sobre la probabilidad de emprender y tener autoestima, para mujeres menores de 35 años según tamaño de familia y nivel de ingreso familiar
| Efecto marginal (dydx) / error estándar | Mujer de 18 a 24 años | Mujer de 25 a 34 años | ||||||
|---|---|---|---|---|---|---|---|---|
| Familia extendida | Familia pequeña | Familia extendida | Familia pequeña | |||||
| Ingreso bajo | Ingreso medio | Ingreso bajo | Ingreso medio | Ingreso bajo | Ingreso medio | Ingreso bajo | Ingreso medio | |
| Conocer emprendedor | 0.067*** | 0.061*** | 0.056*** | 0.049*** | 0.068*** | 0.065*** | 0.061*** | 0.057*** |
| (0.016) | (0.015) | (0.014) | (0.013) | (0.018) | (0.017) | (0.016) | (0.015) | |
| Miedo a fracasar | -0.029* | -0.026* | -0.024* | -0.021 * | ||||
| (0.015) | (0.014) | (0.013) | (0.012) | |||||
| Emprender como opción de carrera | 0.032** | 0.029* | 0.027** | 0.024** | 0.037** | 0.035** | 0.034** | 0.031** |
| (0.017) | (0.015) | (0.014) | (0.013) | (0.019) | (0.018) | (0.017) | (0.016) | |
*** p<0.01, ** p<0.05, * p<0.1
Fuente: Elaboración propia
6. A manera de conclusión: la autoconfianza emprendedora de las mujeres en Bolivia
La literatura ha mostrado una evolución que respalda el estudio del emprendimiento liderado por mujeres como fenómeno en sí mismo; no hay necesidad de comparar su comportamiento con el de sus pares hombres, toda vez que ello no aporta explicaciones sobre las diferencias existentes. Estudiar la acción de emprender de mujeres en un contexto de país en desarrollo como Bolivia es aportar a la construcción teórica sobre la conducta emprendedora. Desde los primeros trabajos sobre el tema, el estudio de las características psicológicas de las mujeres y la elección de sus ocupaciones son una constante. En el abanico de perspectivas están los enfoques que enfatizan las diferencias biológicas y aquéllos que subrayan la influencia de las normas sociales en la determinación de los roles de género, llegando a considerar a la mujer como una lente y no como una variable.
En ese devenir, hoy hay consenso en entender el emprendimiento como un acto volitivo en el cual son decisivas las valoraciones subjetivas de quienes deciden emprender, aunque el enfoque es escasamente utilizado en países en desarrollo. En particular, los análisis que se ocupan de la región latinoamericana se centran en la dicotomía oportunidad-necesidad; las mujeres son motivadas por la necesidad ante la inexistencia de suficientes fuentes de trabajo. Es una dicotomía que simplifica la decisión emprendedora y no aporta mayores explicaciones sobre la conducta de las mujeres.
En el estudio de la conducta emprendedora se utilizan los modelos de intención basados en la teoría del conocimiento social, la cual sostiene que las percepciones, mediadas por la intención, influyen en la conducta del individuo. En estos modelos de intención, la percepción de confianza en las destrezas propias para afrontar la conducta, ya sea como parte de la propensión a la acción o de la percepción de control de ella -según los modelos más relevantes-, tiene una relación directa sobre la conducta que nos ocupa. Esta valoración subjetiva también se observa entre los factores determinantes de la conducta emprendedora de las mujeres.
La elección de Bolivia, como caso de estudio del emprendimiento femenino, se justifica por la alta participación de mujeres en el mercado laboral y en el proceso emprendedor en particular. Pero, sobre todo, porque permite observar la decisión de iniciar un negocio en una economía que ha mostrado por más de una década un crecimiento económico anual promedio del 4%. Esta situación económica, al no traducirse en una reducción de los emprendimientos por necesidad, en los cuales las mujeres tienen alta representación, brinda la oportunidad de observar la conducta emprendedora de las mujeres en un país de menor desarrollo.
Los resultados obtenidos aportan evidencia sobre la relevancia que tiene la autoconfianza en la acción de emprender de las mujeres, con lo que se respaldan los postulados de Comeig y Lurbe (2018), Fellnhofer y Puumalainen (2017), Zhao et al. (2005), entre otros. Los niveles de autoconfianza que se observan en Bolivia pueden ser la explicación de la entrada masiva de las mujeres en un mercado altamente competitivo como es el comercio minorista en el sector terciario. En este caso, la sobreestimación de sus capacidades (overestimation) o negación de las capacidades de la competencia (overplacement), en lugar de verse castigadas por la reducción de los retornos percibidos, se ve compensada -debido al ciclo positivo en precios de exportaciones- por un incremento de los ingresos por encima de su productividad, alimentando ese optimismo del que hablan Koudstaal et al. (2015) y Wanderley y Vera (2017). En ese sentido, el trabajo aporta evidencia sobre la importancia de los incentivos psicológicos para la acción humana a través de la exploración y uso de los talentos individuales en una economía de mercado; el emprendimiento empodera a la persona y en particular a las mujeres.
El ejercicio da forma a la idea de que el emprendimiento brinda oportunidad a las mujeres para afrontar lo que hoy en día es una norma; la combinación de los ámbitos familiar y mercantil (Bandura, 1994). El que la familia tenga cuatro o más miembros alienta la acción de emprender de las mujeres bolivianas; más allá de los retornos monetarios en un ambiente de alta competencia, el emprendimiento pareciera permitir retribuciones no pecuniarias, como la autonomía en el manejo de tiempos (Hamilton, 2000). Y serían estos retornos los que compensan el riesgo de iniciar un nuevo negocio; quizás por ello el temor a fracasar no desalienta la acción a emprender. Es más, la acción en curso muestra cierta insensibilidad al riesgo y la confrontación de la incertidumbre, característica última distintiva del ser emprendedor (Knight, 1921).
La percepción de confianza de las mujeres en Bolivia en sus destrezas y habilidades aporta evidencia sobre la importancia de conocer a otros emprendedores (Astebro et al., 2014). Se constata que la autoconfianza se nutre de la experiencia ajena; los modelos de rol tienen un impacto positivo en la factibilidad de iniciar un negocio (Fellnhofer y Puumalainen, 2017). Al conocer a otros emprendedores, ellas perciben que son más diestras que la competencia para iniciar un negocio (Camerer y Lovallo, 1999). En esa observación también está el aprendizaje sobre cómo otras mujeres combinan el mercado y las responsabilidades socialmente asignadas a su género en la familia; los modelos de rol fortalecen la autoconfianza de las mujeres para resolver esta tensión (Greene et al., 2003; De Martino y Barbato, 2003). Combinar ambas esferas es motivo de reconocimiento en su grupo social, por lo que la expectativa de lograr un estatus en su entorno es factor que alimenta la autoconfianza.
La autoconfianza que se observa en las emprendedoras bolivianas - 86% de ellas señala contar con las destrezas suficientes para el negocio- denota la relación opuesta existente entre esta característica y el temor a fracasar. Mientras el miedo inhabilita la acción, la autoconfianza permite traspasar ese umbral (Bandura y Adams, 1977); las mujeres que toleran el riesgo son capaces de afrontar la incertidumbre de iniciar un negocio (Knight, 1921). En términos demográficos, la autoconfianza se observa en particular entre las mujeres jóvenes, lo que coincide con el dinamismo de la actividad emprendedora en los grupos etarios menores a los 35 años. El que la autoconfianza de las mujeres en Bolivia no tenga relación con los niveles de educación, pero sí con los niveles de ingreso económico alto, es tema que amerita mayor investigación.
Estos hallazgos, al mismo tiempo que responden al llamado de Greene et al. (2003) sobre la necesidad de investigar la conducta emprendedora de la mujer, dan pauta para buscar las políticas públicas que aprovechen el potencial emprendedor de las mujeres en el país. Ciertamente, una de las principales limitantes para el trabajo es la falta de disponibilidad de datos longitudinales; si bien el corte transversal utilizado brinda la oportunidad de identificar factores determinantes de la acción, no permite seguir su evolución en el tiempo. Otra limitante es el contenido de la información misma; aun cuando el GEM posibilita la replicación del análisis, es necesario ampliar esta información con aspectos particulares de las mujeres, como son la cantidad y edad de hijos, o el lugar de trabajo, para entender mejor el uso del tiempo en sus actividades domésticas y aquéllas dirigidas a generar ingresos.
Con estos resultados se plantean futuras líneas de investigación, tales como la búsqueda de mayor evidencia sobre el papel de la educación en el emprendimiento de las mujeres en países en desarrollo, tema sobre el cual la literatura académica no es concluyente. Por el momento, la amplia cobertura y el avance de ellas en el logro educativo formal no tiene significancia en la acción de emprender en Bolivia. El emprendimiento en sectores de baja productividad puede deberse tanto a la calidad de la educación recibida, a concepciones sociales sobre roles de género o a las preferencias de ellas. Y a grandes rasgos, analizar el emprendimiento de mujeres en países en desarrollo desde una perspectiva pos-materialista que permita profundizar el contexto cultural es una tarea pendiente.
















