Servicios Personalizados
Revista
Articulo
Indicadores
-
Citado por SciELO -
Accesos
Links relacionados
-
Similares en
SciELO
Compartir
Revista Latinoamericana de Desarrollo Económico
versión On-line ISSN 2074-4706
rlde no.32 La Paz nov. 2019
Shocks de precios internacionales bajo incertidumbre estocástica
International Prices Shocks under Stochastic Uncertainty
Samuel Alarcón Gambarte*
Resumen
América Latina ha experimentado un contexto de alta volatilidad en sus términos de intercambio durante los últimos años. Para analizar este fenómeno, se aporta una nueva forma de modelar los precios externos, que busca capturar la incertidumbre del mercado internacional. Se construye un modelo de equilibrio general dinámico estocástico y se estima con datos de Bolivia. Finalmente, se realiza una simulación introduciendo un shock de precios de exportación y analizando tres escenarios diferentes: convencional, bajo shock de persistencia y bajo shock de varianza. Se analizan los mecanismos macroeconómicos de transmisión ante los shocks externos y cómo los agentes económicos reaccionan a cambios en la incertidumbre.
Palabras clave: Macroeconomía de la economía abierta, fluctuaciones y ciclo económico.
Abstract
Latin America has experienced a context of high volatility in its terms of trade during recent years. To analyze this phenomenon, a new way of modeling external prices that seeks to capture the uncertainty of the international market is provided. A stochastic dynamic general equilibrium model is constructed and estimated with data from Bolivia. Finally, a simulation is carried out introducing an export price shock and analyzing three different scenarios: conventional, under persistence shock and variance shock. It is analyzed the macroeconomic mechanisms of transmission in the face of external shocks and how economic agents react to changes in uncertainty.
Keywords: Macroeconomics of the open economy, fluctuations and economic cycle.
Clasificación/Classification JEL: F41, E32.
1. Introducción
Según la literatura convencional, los shocks de términos de intercambio son importantes determinantes del ciclo económico en pequeñas economías abiertas. Se ha analizado este tema a través de modelos teóricos calibrados y empíricos, donde los precios internacionales son tratados como procesos exógenos y como la fuente estocástica. Estos modelos de términos de intercambio no han logrado capturar dos características importantes de los shocks en precios externos: incertidumbre respecto a su volatilidad y a su persistencia.
Los shocks de volatilidad son un componente importante a la hora de explicar las fluctuaciones de términos de intercambio. Fernández-Villaverde y Rubio-Ramírez (2010) demuestran que una aproximación más creíble de este tipo de procesos estocásticos supondría que la varianza sea variable. Por otro lado, la incertidumbre respecto a la duración del shock de precios externos, es decir, la incertidumbre respecto al tiempo que tardaría en converger al nivel de equilibrio de estado estacionario (persistencia) tampoco se ha modelado. Tanto la volatilidad como la persistencia estocástica tienen implicancias en las decisiones económicas de los agentes representativos cuando se produce un shock de precios internacionales.
La presente investigación aporta una forma alternativa de modelar los términos de intercambio incorporando estos dos componentes. En particular, este artículo trata a la persistencia y varianza no como constantes predeterminadas sino como procesos estocásticos. Se construye un modelo de equilibrio general dinámico estocástico multisectorial compuesto por empresas productoras de bienes exportables, importables y no transables y familias. Se estima los parámetros usando datos de Bolivia y se realiza una simulación introduciendo un shock de precios de exportación y analizando tres escenarios. Primero, una perturbación temporal de los precios de exportación (shock convencional). Segundo, un shock convencional y de varianza (shock de volatilidad). Tercero, perturbación en precios de exportación y de persistencia (shock de persistencia).
Los resultados muestran que los tres tipos de shocks generan efectos contra ciclos sobre la producción final en el mediano plazo y transferencia de factores productivos (fuerza laboral) al sector de bienes exportables. Asimismo, la incertidumbre estocástica tanto por el lado de la persistencia como de la volatilidad estocástica neutraliza parcialmente el impacto de los shocks de precios de exportación. En adición, los shocks de persistencia generan un impacto más duradero en el tiempo.
El resto del artículo está organizado como sigue: en la sección 2 se presenta una revisión de la literatura. El análisis de los hechos estilizados de términos de intercambio y precios externos es discutido en la sección 3. En la sección 4 se realiza la construcción del modelo de precios externos con su respectiva solución. La sección 5 corresponde a la estimación y al tratamiento de los parámetros. Los resultados y conclusiones se presentan en las secciones 6 y 7 respectivamente.
2. Revisión de la literatura
Este artículo está relacionado principalmente con dos líneas de la literatura. Primero, el análisis del impacto de los shocks de precios externos y los principales mecanismos de transmisión sobre las variables macroeconómicas de un país. Segundo, la modelación del comportamiento de los términos de intercambio en un contexto de modelos de equilibrio general de economías abiertas, donde los shocks de precios internacionales son una fuente estocástica del modelo. Bajo la primera línea de investigación, la incidencia de los términos de intercambio ha sido ampliamente analizada por la literatura en macroeconomía internacional a partir de modelos keynesianos, empíricos y de equilibrio general.
A partir de los estudios de Harberger (1950) y Laursen y Metzler (1950) se analizó, bajo un enfoque keynesiano, cómo los términos de intercambio inciden en las exportaciones netas, la cuenta corriente y la actividad económica. Como resultado, el efecto conocido como Harberger-Laursen-Metzler (HLM) indica que, ante un shock negativo de términos de intercambio, las exportaciones netas y el ingreso nacional disminuyen, y como consecuencia el ahorro nacional se contrae. Por su parte, Obstfeld (1981) y Svensson y Razin (1983), empleando un modelo inter-temporal bajo previsión perfecta de la cuenta corriente, sostienen que el efecto HLM está activo bajo un shock temporal y es ambiguo cuando la perturbación es permanente. Actualmente esto se conoce como el efecto Obstfeld-Razin-Svensson (ORS).
Desde el punto de vista empírico, los modelos de vectores autorregresivos estructurales (SVAR) se han utilizado en la literatura para analizar la conexión entre términos de intercambio y ciclo económico. Un conjunto de esta literatura se ha enfocado en analizar la interacción entre los shocks del precio de petróleo sobre el ciclo económico y otro grupo de investigaciones ha analizado el impacto de los precios de los commodities.
En el primer caso, Bernanke et al. (1997) analizan la interacción entre los shocks de precios de petróleo y la política monetaria en Estados Unidos, mientras que Kilian (2008, 2009), Kilian y Lewis (2011) y Lombardi et al. (2012) estudian las implicaciones macroeconómicas de las perturbaciones en los precios del petróleo en dicho país. Por su parte, Blanchard y Galí (2007) estiman un modelo SVAR para un conjunto de economías industrializadas tras la crisis de los precios del petróleo de los años 70, sosteniendo que mercados laborales más flexibles y una política monetaria más estricta pueden atenuar los cambios en la inflación y la producción causados por variaciones exógenas del precio del petróleo.
En el caso de los shocks de precios de commodities, Deaton y Miller (1995) y Raddatz (2007), empleando la metodología VAR, encuentran un efecto positivo sobre el ingreso de buenos precios de commodities en el corto plazo. Broda (2001, 2003) sostienen la existencia de un efecto diferenciado en economías con tipo de cambio fijo y flexible. En el mismo sentido, Collier y Goderis (2012) analizan la relación de estos shocks externos con el ciclo económico, introduciendo un impacto diferenciado en el corto y largo plazo, con un modelo de corrección de errores.
Camacho y Pérez-Quirós (2014) investigan la interacción entre estos precios y el crecimiento económico para un conjunto de países latinoamericanos, a través de la estimación de un modelo Switching Márkov, demostrando que estos shocks son procíclicos y que las consecuencias macroeconómicas dependen del tamaño y signo de la perturbación, así como el estado de la economía. En la misma línea, Gruss (2014) emplea un modelo autorregresivo global (GVAR) para 12 economías exportadoras de América Latina y el Caribe, para explicar la ralentización del crecimiento económico tras el fin del boom de precios internacionales. Como resultado, encuentran una relación directa entre las fluctuaciones de precios externos y el crecimiento económico.
A partir del trabajo seminal de Mendoza (1995) y posteriores aportes de Schmitt-Grohe y Uribe (2003,2018) se han empleado modelos de equilibrio dinámico estocástico (DSGE) para el estudio del nexo entre términos de intercambio y ciclo económico. Con un modelo inter-temporal de tres sectores, calibrado para países industrializados y en desarrollo, Mendoza concluye que estos shocks explican un 50% de la variabilidad del PIB. Kose y Riezman (2001) y Kose (2002) sostienen que en países en desarrollo los shocks de precios internacionales constituyen una parte significativa de los cambios en el ciclo económico, mientras García-Cicco et al. (2010) sostienen que el impacto de los shocks externos depende del grado de fricciones financieras.
Bodenstein et al. (2011) emplean un modelo compuesto por un país exportador y uno importador neto de petróleo, bajo un enfoque de modelo de equilibrio general, para explicar los efectos macroeconómicos de fluctuaciones endógenas del precio del petróleo. Bajo un escenario de fricciones financieras, un incremento del precio del petróleo causa un efecto positivo en el país exportador y una desaceleración en el país importador. Recientemente, Fornero y Kirchner (2018) observan que, pese a la recuperación que han tenido los precios internacionales en los últimos años, las cuentas externas no han reportado una mejora proporcional debido al rol de la información imperfecta e incertidumbre de la persistencia de los precios externos.
La literatura también presenta el contraste entre modelos teóricos y modelos empíricos. Aguirre (2011) estima un modelo SVAR para 15 países emergentes, encontrando que los términos de intercambio explican un 5% de la variabilidad del PIB, mientras que con un modelo DSGE se tiende a sobrestimar el efecto. Por su parte, Fernández et al. (2018) encuentran, con un modelo DSGE estimado para Brasil, Chile, Colombia y Perú, una variabilidad de un 42% del PIB y un 49% con un modelo SVAR. Por su lado, Shousha (2016) centra su análisis bajo fricciones y financieras y Fornero et al. (2016) en la persistencia del shock y el rol de las metas de inflación, el régimen cambiario y las reglas fiscales. Schmitt-Grohé y Uribe (2018), usando un modelo SVAR para 38 países emergentes y en desarrollo, encuentran que estos shocks explican el 10% de los movimientos de la producción; sin embargo, con un modelo de equilibrio general obtuvieron una mayor volatilidad de la producción.
Un segundo grupo de trabajos con los que la presente investigación está relacionada son aquéllos que han modelado los términos de intercambio en un contexto de modelos de equilibrio general como procesos estocásticos. En base a Mendoza (1995), la mayor parte de la literatura ha modelado los términos de intercambio como procesos exógenos autorregresivos que están sujetos a perturbaciones estocásticas. Schmitt-Grohe y Uribe (2018) plantean un modelo autorregresivo de orden 1 (AR1), Gómez-González y Rees (2013) modelan los precios externos de igual manera, pero introducen heterocedasticidad, mientras que Fernández et. al (2018) introducen un factor latente y resiliencia. Por su parte, Fornero y Kirchner (2018) añaden un componente temporal y uno permanente.
Como consecuencia de la alta volatilidad de los precios internacionales, un número de investigaciones ha incorporado la volatilidad estocástica de los términos de intercambio. Easterly et al. (2000), Bleaney y Greenaway (2001), Blattman et al. (2007) y Cavalcanti, Mohaddes y Raissi (2015) han estudiado la interacción entre la volatilidad y el crecimiento económico, y Andrews y Rees (2009) presentan evidencia de un efecto significativo sobre la variabilidad de la inflación y el consumo. Gómez-González y Rees (2013) encuentran una relación positiva entre un incremento en la volatilidad de términos de intercambio y la cuenta corriente, y negativa con la demanda interna.
Respecto a la persistencia estocástica, Farías y Alves da Silva (2017) plantean un contexto en el que una parte de los shocks externos pueden ser predichos. Con este objetivo plantean un proceso exógeno de precios externo autorregresivo e incorporan shocks aleatorios predecibles y no anticipados, lo que hace que la persistencia del shock sea aleatoria. Por su parte, Fornero y Kirchner (2018) plantean un modelo de información imperfecta en la persistencia para explicarlos precios de los commodities, asumiendo que el precio internacional tiene un componente temporal y otro permanente. De esta manera, los autores introducen incertidumbre respecto a la persistencia.
3. Hechos estilizados
Como se puede ver en el gráfico 1, a partir del año 2000 se inicia una fase expansiva en los cuatro principales índices de precios internacionales1: commodities, alimentos, metales y energía. Este periodo se ha caracterizado por un boom de precios internacionales y un alto nivel de volatilidad. Fernández et al. (2018) han denominado al periodo mencionado como "the Commodities Roller Coaster" para caracterizar las importantes fluctuaciones en los precios internacionales.
Este fenómeno ha incidido en el ciclo económico de economías de la región a través de cambios en sus términos de intercambio, así como periodos de alta y baja volatilidad en sus precios externos.
Con el fin de analizar el comportamiento de la volatilidad de los precios externos lo largo de estos años, se construye una serie temporal para la varianza a través de una ventana muestral móvil para los términos de intercambio de un conjunto de países Latinoamericanos seleccionados. El método consiste en calcular la varianza inicial para una submuestra de 180 datos de enero de 1990 a enero de 2005; posteriormente se mueve la muestra un mes en adelante y se vuelve a calcular con la nueva submuestra de febrero de 1990 a febrero de 2005, y así sucesivamente. De esta forma se obtiene el comportamiento de la varianza a lo largo del tiempo.
De la misma forma, se aplica el método de ventana muestral móvil a la autocorrelación de los términos de intercambio para Chile, Bolivia, Perú, Colombia, Argentina y Brasil, para ver el comportamiento de la persistencia de los precios externos en los años seleccionados. Se aplica el método de Ventana Muestral Móvil a la autocorrelación de los términos de intercambio para Chile, Bolivia, Perú, Colombia, Argentina y Brasil.
Como se puede ver en el gráfico 2, la varianza de los términos de intercambio se ha comportado de forma variable. Chile, Perú, Argentina y Colombia presentan una varianza temporal creciente, la cual refleja un aumento de la volatilidad de los términos de intercambio. Bolivia y Brasil también presentaron un incremento en la varianza temporal, pero menos pronunciado.
El gráfico 3 presenta la evolución temporal de la autocorrelación, que tiene un comportamiento variable durante estos años, fluctuando en el intervalo entre 0 y 1. Por tanto, existe evidencia de que la persistencia ha cambiado a lo largo del tiempo producto de shocks exógenos.
Esta evidencia justifica la introducción de una varianza y una autocorrelación de variables. Una forma de internalizar esta incertidumbre con respecto a la duración del shock dentro de la ecuación de precios internacionales es a través de la persistencia estocástica, lo que implica que la duración del ciclo es variable y está sujeta a shocks aleatorios. Además, se incluye la volatilidad estocástica para justificar los marcados cambios en volatilidad de los términos de intercambio.
4. Modelo
El modelo teórico sigue la línea de Mendoza (1995) y Schmitt-Grohe y Uribe (2018). Se caracteriza por ser una pequeña economía abierta que toma como dados los precios internacionales. Existen tres agentes económicos: familias, empresas y sector externo. Se contribuye con un modelo de precios internacionales bajo incertidumbre estocástica que está sujeto a shocks convencionales, de persistencia y volatilidad.
Las empresas se pueden diferenciar en tres grupos: productoras de bienes con características importables, exportables y no transables. Estas empresas deciden sus niveles óptimos de trabajo y capital que maximizan sus beneficios para definir su nivel de producción. Se agrega la producción de bienes transables como la combinación de bienes exportables e importables. Finalmente, la producción final resulta de la agregación de bienes transables y no transables.
Las familias deciden las horas de trabajo, capital y consumo para alcanzar el máximo nivel de utilidad. Estos agentes pueden ofrecer sus factores productivos a cualquiera de los tres sectores básicos de producción. El ingreso que perciben está compuesto por la remuneración de su trabajo (salario) y por la rentabilidad de su capital (interés); estos recursos son empleados para comprar bienes a las empresas productoras de bienes finales.
El sector externo determina de forma exógena los precios internacionales. En esta economía, se modelan los precios de exportación e importación como procesos autorregresivos que a su vez determinan los términos de intercambio. Estas variables externas están sujetas a shocks de volatilidad, de persistencia estocástica y convencionales que afectan las decisiones de inversión de las empresas, así como los niveles de consumo y trabajo determinados por las familias.
La presente investigación emplea el modelo de economía pequeña, abierta y en desarrollo de Schmitt-Grohe y Uribe (2018), y aporta una forma alternativa de representar los precios internacionales, de manera que se incluya la incertidumbre de los mercados internacionales con respecto a la persistencia y volatilidad de los precios externos. La construcción matemática y los detalles del modelo de equilibrio general se desarrollan en el Anexo 1.
4.1. Precios internacionales
Schmitt-Grohe y Uribe (2018) sostienen que economías pequeñas y abiertas juegan un pequeño rol en la determinación de los precios de exportación e importación, y por ende sus términos de intercambio son exógenos. En ese sentido, se modelan los precios internacionales como procesos autorregresivos de primer orden representados por la siguiente ecuación2:
![]()
Donde
. Se contribuye a la naturaleza del comportamiento del precio externo introduciendo dos fenómenos característicos de estas series de tiempo: persistencia, capturada por el coeficiente autorregresivo
y volatilidad estocástica, asociada con la varianza
.
La ecuación (1) representa la parte del modelo que se determina exógenamente, a través de la cual se introducen perturbaciones a la economía. Esta forma de modelar los términos de intercambio permite introducir tres tipos de shocks: shock convencional, de persistencia y de volatilidad. De esta manera se pueden realizar tres ejercicios de simulación con respecto a shocks de precios internacionales. A continuación, se detallan la naturaleza y los mecanismos de transmisión de los tres casos respectivos.
4.1.1. Caso 1: shock convencional
En el Gráfico 4 se muestra el comportamiento de un shock temporal de precios de exportación en el tiempo 0 con una magnitud del 1 % y durante 20 periodos. Bajo este escenario, no existe incertidumbre con respecto a la volatilidad y persistencia de los precios internacionales. El shock genera un desvío positivo de los precios de exportación con respecto a su valor de estado estacionario y converge de forma regular a partir del periodo 5.
4.1.2. Caso 2: shock de persistencia
Con el fin de incorporar la persistencia estocástica a la ecuación de los precios internacionales, se considera al coeficiente autorregresivo
como una variable. De esta manera se puede capturar la incertidumbre respecto a la persistencia temporal del ciclo causado por el shock internacional. En este caso, cuando se produce un shock de precios de exportación o importación, los agentes económicos tienen incertidumbre respecto a la duración de la perturbación. A esto se denomina shock de persistencia. Matemáticamente, esta variable
está sujeta a la restricción:
![]()
La ecuación (2) garantiza que el
esté comprendido entre -1 y 1, por lo que el proceso autorregresivo no es explosivo. Asimismo, se utiliza una expresión de estado no observable para introducir los shocks de persistencia transitorios:
![]()
Donde,
. El Gráfico 5 muestra la forma en que opera un shock de persistencia con las funciones impulso respuesta a 30 periodos.
Primeramente, se introduce un shock de precios de exportación del 1 % en el error
de la ecuación (1), y una variación del 10% en
de la expresión (3), ambos en el tiempo 0, de forma simultánea y temporal. En primera instancia,
se desvía positivamente de su valor de estado estacionario; asimismo, este cambio altera el valor de la restricción (2) y genera un cambio en
, que esta comprendido entre -1 y 1. Finalmente, la perturbación sobre
cambia la persistencia de los precios de exportación y el shock en niveles incrementa los precios de exportación.
El efecto final es una perturbación convencional de precios de exportación acompañada de una variación en la persistencia. Como consecuencia, los precios de exportación se desvían positivamente del valor de estado estacionario; sin embargo, este cambio es menor con respecto al caso convencional, aunque más duradero. Nótese que la serie de precios de exportación convergen a partir del periodo 10, lo que implica que la duración del shock de persistencia es aproximadamente el doble con relación al caso 1, pero de menor magnitud.
4.1.3. Caso 3: shock de volatilidad
Siguiendo a Fernández-Villaverde y Rubio-Ramírez (2010) respecto a volatilidad estocástica y procesos temporales heterocedásticos, se plantea la existencia de una varianza variable en el comportamiento de los precios internacionales y se modela con la variable
.
Este cambio busca capturar los cambios de volatilidad de los términos de intercambio reflejados en periodos de alta y baja volatilidad a lo largo del tiempo. Así como en el caso anterior,
está sujeta a su respectiva restricción matemática:
![]()
Esto último define a la varianza como positiva. Para modelar el comportamiento de
se introduce un proceso autorregresivo para un estado no observado, y así poder introducir un shock en varianza. Dicha expresión toma la siguiente forma:
![]()
Donde,
. El Gráfico 6 presenta la dinámica y mecanismos de transmisión de un shock de volatilidad a través de las funciones impulso respuesta a 20 periodos.
De forma simultánea y temporal se generan dos shocks de 1% y 10% en los errores
(1) y
(5), respectivamente. Como resultado,
experimenta un incremento en su valor con respecto a su estado estacionario; la perturbación entra en la restricción (4) y genera un cambio en la varianza que es definido como positivo. Finalmente, el shock en precios de exportación en niveles y sobre volatilidad opera de forma paralela sobre los precios externos, generando una desviación positiva de menor magnitud que en los casos 1 y 2, pero con un tiempo de convergencia mayor con respecto al shock convencional.
5. Estimación híbrida: máxima verosimilitud y método bayesiano
El modelo puede dividirse en dos partes. Primero, el submodelo formado por el set de ecuaciones que identifican el proceso de los precios internacionales que es definido exógeno. Segundo, las ecuaciones que representan las ofertas de trabajo, ecuaciones de Euler, funciones de producción, demandas de capital y trabajo y las respectivas restricciones que constituyen en su conjunto parte endógena del modelo (las respectivas ecuaciones están detalladas en el Anexo 1).
Respecto al submodelo exógeno, no existen valores a priori estimados debido a que los estados no observables que se utilizan para simular los shocks de persistencia y volatilidad no tienen datos disponibles. Asimismo, para este caso en particular, las distribuciones de probabilidad son desconocidas, por lo tanto, la mejor forma de estimarlas es a través del método de máxima verosimilitud3. En la segunda parte se utiliza la ventaja de contar con parámetros a priori ya estimados por Schmitt-Grohe y Uribe (2018) y distribuciones de probabilidad que ya se aplicaron en anteriores investigaciones para este tipo particular de parámetros. En esta parte se emplea la estimación bayesiana.
5.1. Máxima verosimilitud
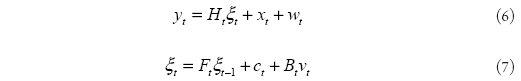
Se estima los parámetros del modelo de precios internacionales por el método de máxima verosimilitud y se hace uso del filtro de Kalman. El filtro de Kalman es un algoritmo matemático recursivo para computar el estado inobservable de un modelo estado espacio. Bajo el supuesto de distribución normal de las perturbaciones y el vector de estado inicial, permite construir la función de máxima verosimilitud del modelo a través de la descomposición del error de predicción. Sea yt una serie temporal de n elementos observados que están relacionados con el vector no observado ξt. Sea el modelo estado espacio definido como:

La expresión (6) se define como la ecuación de medida, donde Ht es una matriz de nxr elementos, xt es un vector de k × 1 y wt es un error con E(wt) = 0 y VAR(wt) = Rt . El estado no observado (7) se modela como un proceso de Markov denominado ecuación de transición, donde Ft es una matriz de tamaño r × r, ct un vector de r × 1, Bt es una matriz de m × g y vt es el error de tamaño g × 1 con E(vt) = 0 y VAR(vt) = Qt .
La estimación por máxima verosimilitud consiste en un procedimiento de optimización de la distribución de probabilidad acumulada para encontrar los parámetros que hacen máxima la probabilidad de observar los datos disponibles. Por su parte, el filtro de Kalman puede construir recursivamente la función de verosimilitud, la cual se optimiza a través de métodos numéricos para obtener el set de parámetros deseados. El set de observaciones idénticamente distribuidas cuya función de densidad acumulada se representa como:
![]()
Dado que las series temporales no son independientes (fuerte correlación entre los datos), se toma la función de densidad de probabilidad condicional:
![]()
Donde Yt-1= {y1,y2,...,yt-1}
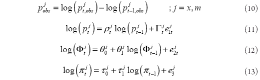
Se define un submodelo estado espacio de la parte del modelo que es exógena, la correspondiente a precios internacionales que tiene dos estados no observables
y
. Respecto a la identificación, el modelo está construido por tres ecuaciones: el proceso de Márkov de los precios internacionales con una varianza y persistencia, y las dos ecuaciones de estados inobservables sujetos a dos restricciones.
Los datos observados son los precios de exportación e importación del Instituto Nacional de Estadística, expresados en diferencia de logaritmos, desestacionalizados (por el método census 12) desde del primer trimestre de 2008 hasta el tercer trimestre del 2018 El modelo está definido por el conjunto de ecuaciones:

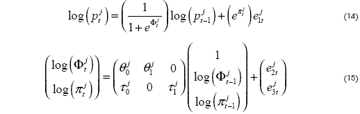
Operando, incluyendo las restricciones y ordenando las ecuaciones, se tiene:

La ecuación (14) es la ecuación de medida y el sistema (15) es un sistema de ecuaciones no observado. Análogamente al modelo genérico desarrollado, se define:

Se emplea el método de máxima verosimilitud y el filtro de Kalman computado en Dynare-Matlab para estimar el set de parámetros del bloque de ecuaciones de precios internacionales del submodelo. Como valores iniciales para la estimación se opta por lo valores de estado estacionario del submodelo. Se aproxima los valores de estado estacionario de ρ y Γ con datos de la literatura.
Schmitt-Grohe y Uribe (2018) estiman los parámetros ρ y Γ para un conjunto de países emergentes y en desarrollo equivalente a ρ = 0,52, y un valor para la varianza en promedio de Γ = 0,08 . Por lo tanto, se conocen los valores:
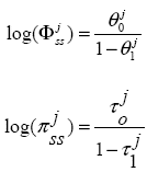
. Las ecuaciones de los estados no observados en estado estacionario son:

Se toman como dados los valores
=
= 0,5 y se despejan los valores:
= 0,04 y
= -2,26.

5.2. Método bayesiano
El método de estimación bayesiano explota la ventaja de valores a priori, así como muestras de tamaño limitado. El algoritmo matemático emplea inicialmente un modelo estructural, del cual se desea estimar un set de parámetros μ condicional a un conjunto de datos X observados. Empleando la solución loglinealizada del segundo submodelo se encuentra una función de verosimilitud combinando las distribuciones a priori de probabilidad con la función de máxima verosimilitud. Se emplea el teorema de Bayes para encontrar la distribución posterior considerando los datos disponibles. La probabilidad conjunta de ρ(X,μ) se puede expresar como una combinación de la función de verosimilitud L(X | μ) y la distribución a priori π(μ).
![]()
Lo que es equivalente a:
![]()
Combinando las dos ecuaciones y resolviendo para p(μ|X), se obtiene:

La ecuación (19) es la regla de Bayes y permite encontrar la distribución de probabilidad de μ condicional a los datos disponibles. Empleando el filtro de Kalman se evalúan las combinaciones de los datos disponibles para obtener una función de máxima verosimilitud para introducir al algoritmo de Metrópolis Hastings con 100.000 iteraciones. Finalmente se obtiene un conjunto de momentos aproximados de las distribuciones de probabilidad de los parámetros.
Se emplean los datos de producción final
, producción de bienes transables
, producción de bienes no transables
, producción de bienes exportables
e importables
. Las respectivas variables se encuentran en miles de bolivianos a precios constantes de 1990 y están desestacionalizadas por el método census X-12, en primeras diferencias logarítmicas y de frecuencia trimestral. Los datos empleados corresponden a la muestra del primer trimestre de 1995 al tercer trimestre de 2018. Cada variable observada se introduce al modelo a través de la ecuación:
, donde el subíndice i corresponde a la producción final, producción no transable, consumo, producción de exportables e importables. Detalles de las variables empleadas:
Producción final: producto interno.
Producción de bienes no transables: suma de la producción de los sectores de construcción, servicios financieros, servicios públicos y otros servicios.
Consumo: gasto de consumo final de los hogares e IPSL.
Producción de exportables: exportaciones de bienes y servicios.
Producción de importables: importaciones de bienes y servicios.

6. Resultados
El modelo permite evaluar tres tipos de shocks sobre los precios internacionales: shock convencional, shock de persistencia del ciclo y un shock en la varianza de los precios internacionales. Las tres perturbaciones generan una dinámica en las variables macroeconómicas diferente. El shock convencional aporta con la típica perturbación temporal en precios de exportación. El shock de persistencia presenta el escenario de una variación en la duración del ciclo de precios externos y por ende mayor incertidumbre de los términos de intercambio. Finalmente, el shock de volatilidad refleja periodos de alta inestabilidad en el mercado internacional, donde los precios externos son más volátiles. A continuación, se analizan los resultados de la simulación en los tres casos respectivos.
6.1. Caso 1: shock convencional
El Gráfico 7 presenta el primer caso de simulación, que consiste en un shock temporal y convencional de precios de exportación de un 1%. En el corto plazo, el incremento temporal de los precios de exportación genera un aumento de la producción final, sin embargo, a partir del periodo 4 el PIB se contrae por debajo de su valor de estado estacionario. En promedio, la producción final se contrae en -3.9% a lo largo de todo el ciclo.
Este impacto negativo promedio sobre la producción se debe a un efecto sustitución que opera en el modelo. Cuando los precios de exportación aumentan, las empresas productoras del bien exportable se hacen más rentables, generando una mayor demanda de factores productivos. En este caso particular, la demanda de trabajo aumenta en el sector de bienes exportables en 0.95%, mientras la misma se contrae en -1.13 y -1.65% en los sectores de bienes no transables e importables, respectivamente. Como resultado, la producción de bienes no transables e importables disminuye en -1.87 y -2.43 %. Por lo tanto, existe un movimiento de factores productivos (específicamente del empleo) al sector de bienes exportables.
Al mismo tiempo que la producción de bienes exportables se expande, los demás sectores productivos de la economía se desaceleran. En el mediano plazo, el impacto de la desaceleración de los sectores de bienes importables y no transables pesa más que el incremento de la producción de bienes exportables, y como consecuencia la producción final comienza a disminuir.
El incremento de la producción final y por ende del ingreso genera un efecto positivo en el consumo en los primeros tres trimestres; sin embargo, el efecto sustitución provoca una disminución en promedio de -2.4% en todo el periodo. El impacto sobre la inversión y la demanda de capital es negativo para todas las empresas de la economía. Debido a que las productividades marginales del empleo son más altas en el sector de exportables, el salario deberá aumentar en dicho sector.
Ante la mejora de los términos de intercambio, las exportaciones netas aumentan, y como consecuencia la balanza comercial experimenta una expansión de 19.85%. Este impacto sobre las cuentas externas del shock positivo de precios de exportación está en línea con el efecto HLM.
6.2. Caso 2: shock de persistencia
En este caso se introducen dos shocks de forma simultánea, una perturbación de un 1 % en los precios de exportación y de un 10% en la persistencia del proceso estocástico. Este ejercicio de simulación busca capturar un escenario internacional caracterizado por mejores términos de intercambio, pero con una mayor incertidumbre con respecto a la duración del shock externo. Los principales resultados se presentan en el Gráfico 8.
La dinámica de las funciones impulso respuesta de las variables expuestas a los shocks muestra que el impacto es más duradero en el tiempo; el shock tiene un efecto hasta el periodo 30, a diferencia del caso convencional, donde el PIB converge a partir del periodo 20. El caso 2 genera un shock de convergencia más lenta en comparación al caso base. Una explicación para este nuevo mecanismo de transmisión radica en que la consecuencia de introducir un shock en la persistencia de los precios amplía el ciclo de los precios externos. Si bien el shock es más duradero, su impacto sobre la economía es de menor en magnitud.
En promedio, la producción final se contrae en -0.23%, una cifra menor en comparación a la contracción del -3.9 del caso 1. Del mismo modo que el shock convencional, existe un efecto sustitución entre los sectores productivos, en este sentido, la producción de bienes importables y no transables se contrae en -0.14 y -0.11% mientras la producción de bienes exportables se acelera en 0.03%. Sin embargo, el incremento de la producción de bienes exportables representa aproximadamente un 13% de la expansión que se experimenta en el caso 1. De esta manera, se destaca que bajo shocks de persistencia el efecto sustitución tiene un impacto significativamente menor en la economía.
Persiste la transferencia de empleo al sector en crecimiento, la demanda de trabajo del sector de bienes exportables crece en 0.01%, mientras los demás sectores disminuyen la cantidad de trabajo empleado para producir. Asimismo, el incremento en el empleo para la producción del bien de exportación es menor al que ocurre cuando se da un shock convencional de precios de exportación. Respecto a las cuentas externas, el efecto HLM está activo.
La persistencia estocástica reduce el incremento de los precios de exportación; nótese que en el caso 1, estos precios se expandieron en promedio un 10% ante el shock temporal, mientras que en un escenario con shocks de persistencia, el incremento final de los precios de exportación a lo largo del ciclo es menor, aproximadamente 0.04%.
Si bien el efecto sustitución de factores productivos opera en el mismo sentido que el caso 1, el impacto del shock sobre la economía es menor cuando existen shocks de precios de exportación y de persistencia. Si bien el impacto es menor, el efecto es más duradero que en el caso convencional. Esto se debe a la incorporación de shocks en el coeficiente autorregresivo de la ecuación de precios internacionales.
6.3. Caso 3: shock de volatilidad
Finalmente, el Gráfico 9 presenta los principales resultados de un shock de precios de exportación de 1% y de varianza del 10% de forma simultánea, temporal y en el periodo de tiempo 0. Esta simulación construye un escenario internacional en que los precios de exportación se incrementan, mejorando los términos de intercambio; pero al mismo tiempo se eleva la volatilidad, aumentando la varianza de los precios externos.
El tiempo de convergencia es similar al del caso 1 y menor al del caso 2. La duración aproximada del ciclo y al final del cual las principales variables del modelo convergen a sus respectivos valores de estado estacionario es de 20 periodos. Respecto a la magnitud del cambio en las variables afectadas por el shock, es la de menor tamaño en comparación a los dos casos anteriores.
Al igual que en los casos 1 y 2, el PIB se expande en el corto plazo (aproximadamente los 2 primeros trimestres) y experimenta un decrecimiento a partir del periodo 3. En promedio, la producción se contrae en -0.12%, una contracción que es menor a la que ocurre bajo un shock convencional y de persistencia. El efecto sustitución opera en el mismo sentido, siendo el sector de bienes exportables el que se expande en 0.012%, mientras los sectores de bienes importables y no transables se contraen en -0.074 y -0.057%, respectivamente. Cabe destacar que el tamaño del efecto sustitución es significativamente menor en comparación a los casos anteriormente estudiados.
Como en los casos 1 y 2, existe una transferencia de fuerza laboral al sector de bienes exportables, donde este último aumenta su demanda de trabajo en 0.029%, mientras los demás sectores disminuyen la cantidad de trabajo empleado para producir.
El precio de exportación reacciona en el periodo 9 y experimenta un crecimiento positivo con respecto a su valor inicial; sin embargo, el promedio de expansión de los precios externos es de 0.03%, menor en magnitud con respecto a los casos anteriores, y tiene un tiempo de convergencia similar al caso convencional. La balanza comercial reacciona de forma positiva y respalda un efecto HLM activo.
El shock de volatilidad y de precios de exportación presenta una persistencia similar al caso convencional (aproximadamente 20 periodos), mientras que la magnitud del impacto del shock simultáneo es menor en comparación al caso convencional y al de persistencia.
7. Conclusiones
En esta investigación se analizó el impacto de los shocks de términos de intercambio en una economía pequeña, abierta y en desarrollo. Además, se introdujeron nuevos shocks externos bajo la forma de perturbaciones de persistencia y volatilidad de los precios internacionales, y cómo estos alteran el ciclo económico. Se construyó un modelo de equilibrio general bajo incertidumbre estocástica estimado con datos de Bolivia y se aplicaron los respectivos experimentos de simulación.
Tanto en el caso de shocks convencionales como de persistencia y de volatilidad, el impacto de los shocks positivos de precios de exportación genera un incremento temporal del PIB en el corto plazo y una contracción en el mediano plazo; en promedio, la producción se contrae a lo largo del ciclo ante perturbaciones positivas de precios externos. Este impacto contra-cíclico y su mecanismo de transmisión se debe a un efecto sustitución que opera en el modelo. Cuando los precios de exportación aumentan, las empresas productoras del bien exportable se hacen más rentables, y por ende aumentan su demanda de trabajo, así como su producción, mientras los demás sectores experimentan una contracción.
Los shocks de precios de exportación y de persistencia generan un impacto negativo en promedio sobre la producción al final del ciclo, y el efecto sustitución opera en el mismo sentido. Asimismo, este impacto es de una magnitud menor en comparación al shock convencional, pero más duradero. Esto se debe a la incorporación de shocks en el coeficiente autorregresivo de la ecuación de precios internacionales, lo que hace que el shock de precios externo sea más duradero. El shock de volatilidad y de precios de exportación presenta una persistencia similar al caso convencional (aproximadamente 20 periodos), mientras que el tamaño del impacto del shock simultáneo es el de menor magnitud en comparación a los casos convencional y de persistencia.
Finalmente, se concluye que los shocks de precios de exportación generan efectos contra ciclos en el mediano plazo y transferencia de fuerza laboral al sector de bienes exportables. Asimismo, la incertidumbre estocástica, tanto por el lado de la persistencia como de la volatilidad estocástica, neutraliza parcialmente el impacto de los shocks de precios de exportación. En adición, cuando existe incertidumbre con respecto al tiempo de duración del shock externo, el impacto es más persistente.
Notas
* Economista Investigador y Consultor con Maestría en Economía en Georgetown University (Estados Unidos) y Universidad Alberto Hurtado (Chile). Domeyko #1955, Santiago-Chile. Asistente de Investigación en Universidad Alberto Hurtado (+56) 961656735. Contactos: samuelalarcong@gmail.com. https://samuelalarcong.wixsite.com/economist
1 El año base es 2016. El índice de precios de los commodities incluye precios de combustibles y no combustibles. El índice de alimentos incluye cereales, aceites vegetales, carne, mariscos, azúcar y otros alimentos. Respecto a los metales, se considera el índice de precios de los metales y el índice de metales preciosos. Finalmente, en energía se incluye el índice de combustible, el precio de petróleo crudo, el gas natural, el carbón y el propano.
2 Esto implica que las ecuaciones de precios internacionales indexadas con j corresponden tanto para el precio de exportaciones como el de importaciones.
3 La ventaja de esta estrategia de estimación radica en la no necesidad de contar con valores a priori ni distribuciones de probabilidad para el set de parámetros de interés.
4 La función GHH Greenwood, Hercowitz and Huffman (1988) permite eliminar el efecto ingreso en la oferta de trabajo.
5 Nótese que los precios de exportación e importación en las demandas son precios relativos.
Fecha de recepción: 14 de junio de 2019
Fecha de aceptación: 16 de septiembre de 2019
Manejado por ABCE/SEBOL/IISEC
Referencias
1. Aguirre, E. (2011). “Business cycles in emerging markets and implications for the real exchange rate”. Doctoral dissertation, Ph. D. Dissertation, New York: Columbia University.
2. Andrews, D. y Rees, D. (2009). “Macroeconomic volatility and terms of trade shocks” (Nº rdp2009-05). Reserve Bank of Australia.
3. Bernanke, B. S., Gertler, M., Watson, M., Sims, C. A. y Friedman, B. M. (1997). “Systematic monetary policy and the effects of oil price shocks”. Brookings Papers on Economic Activity, (1), 91-157.
4. Blanchard, O. J. y Gali, J. (2007). “The Macroeconomic Effects of Oil Shocks: Why are the 2000s so different from the 1970s?” (Nº w13368). National Bureau of Economic Research.
5. Blattman, C., Hwang, J. y Williamson, J. G. (2007). “Winners and losers in the commodity lottery: The impact of terms of trade growth and volatility in the Periphery 1870-1939”. Journal of Development Economics, 82(1), 156-179.
6. Bleaney, M. y Greenaway, D. (2001). “The impact of terms of trade and real exchange rate volatility on investment and growth in sub-Saharan Africa”. Journal of Development Economics, 65(2), 491-500.
7. Bodenstein, M., Erceg, C. J. y Guerrieri, L. (2011). “Oil shocks and external adjustment”. Journal of International Economics, 83(2), 168-184.
8. Broda, C. (2001). “Coping with terms of trade shocks: Pegs vs. Floats”. American Economic Review, 91 (2), 376-380.
9. ---------- (2003). “Terms of trade and exchange rate regimes in developing countries”. Journal of International Economics, 63(1), 31-58.
10. Camacho, M. y Pérez-Quiros, G. (2014). “Commodity prices and the business cycle in Latin America: Living and dying by commodities?” Emerging Markets Finance and Trade, 50(2), 110-137.
11. Cavalcanti, T. V. de V., Mohaddes, K. y Raissi, M. (2015). Commodity price volatility and the sources of growth. Journal of Applied Econometrics, 30(6), 857-873. [ Links ]
12. Collier, P. y Goderis, B. (2012). “Commodity prices and growth: An empirical investigation”. European Economic Review, 56(6), 1241-1260.
13. Deaton, A. y Miller, R. I. (1995). International commodity prices, macroeconomic performance, and politics in Sub-Saharan Africa. Princeton, NJ: International Finance Section, Department of Economics, Princeton University.
14. Easterly, W., Islam, R. y Stiglitz, J. (2000, January). “Explaining growth volatility”. Annual World Bank Conference on Development Economics 2000. Oxford, UK: Oxford University Press.
15. Farías, L. y Alves da Silva, M. E. (2017). Commodity Prices and Business Cycles in Small Open Economies: The Role of News Shocks. In Working paper. [ Links ]
16. Fernández, A., González, A. y Rodríguez, D. (2018). "Sharing a ride on the commodities roller coaster: Common factors in business cycles of emerging economies”. Journal of International Economics, (111), 99-121.
17. Fernández-Villaverde, J. y Rubio-Ramírez, J. (2010). "Macroeconomics and volatility: Data, models, and estimation” (Nº w16618). National Bureau of Economic Research.
18. Fornero, J. y Kirchner, M. (2018). “Learning about Commodity Cycles and Saving-Investment Dynamics in a Commodity-Exporting Economy”. International Journal of Central Banking, 14(2), 205-262.
19. Fornero, J. A., Kirchner, M. y Yany, A. (2016). Terms of trade shocks and investment in commodity-exporting economies. Banco Central de Chile. [ Links ]
20. García-Cicco, J., Pancrazi, R. y Uribe, M. (2010). “Real business cycles in emerging countries?” American Economic Review, 100(5), 2510-31.
21. Gómez-González, P. y Rees, D. (2013). "Stochastic Terms of Trade Volatility in Small Open Economies”. Economic Research Department, Reserve Bank of Australia.
22. Greenwood, J., Hercowitz, Z. y Huffman, G. W. (1988). “Investment, capacity utilization, and the real business cycle”. The American Economic Review, 78(3), 402-417.
23. Gruss, B. (2014). “After the boom–commodity prices and economic growth in Latin America and the Caribbean”. Working Paper 14/154. International Monetary Fund.
24. Hamilton, J. D. (1994). “State-space models”. Handbook of econometrics, (4), 3039-3080.
25. Harberger, A. C. (1950). “Currency depreciation, income, and the balance of trade”. Journal of Political Economy, 58(1), 47-60.
26. Kilian, L. y Lewis, L. T. (2011). “Does the Fed respond to oil price shocks?” The Economic Journal, 121(555), 1047-1072.
27. Kilian, L. (2008). “The economic effects of energy price shocks”. Journal of Economic Literature, 46(4), 871-909.
28. ---------- (2009). “Not all oil price shocks are alike: Disentangling demand and supply shocks in the crude oil market”. American Economic Review, 99(3), 1053-69.
29. Kose, M. A. y Riezman, R. (2001). “Trade shocks and macroeconomic fluctuations in Africa”. Journal of Development Economics, 65(1), 55-80.
30. Kose, M. A. (2002). “Explaining business cycles in small open economies: ‘How much do world prices matter?’”. Journal of International Economics, 56(2), 299-327.
31. Laursen, S. y Metzler, L. A. (1950). “Flexible exchange rates and the theory of employment”. The Review of Economics and Statistics, (32), 281-299.
32. Lombardi, M. J., Osbat, C. y Schnatz, B. (2012). “Global commodity cycles and linkages: a FAVAR approach”. Empirical Economics, 43(2), 651-670.
33. Mendoza, E. G. (1995). “The terms of trade, the real exchange rate, and economic fluctuations”. International Economic Review, 36(1),101-137.
34. Obstfeld, M. (1981). “Macroeconomic policy, exchange-rate dynamics, and optimal asset accumulation”. Journal of Political Economy, 89(6), 1142-1161.
35. Raddatz, C. (2007). “Are External Shocks Responsible for the Instability of Output in Low-Income Countries?”. Journal of Development Economics 84(1), 155-187.
36. Schmitt-Grohe, S. y Uribe, M. (2003). “Closing small open economy models”. Journal of International Economics, 61(1), 163-185.
37. ---------- (2018). “How Important are Terms‐Of‐Trade Shocks?”. International Economic Review, 59(1), 85-111.
38. Shousha, S. (2016). “Macroeconomic effects of commodity booms and busts: The role of financial frictions”. Unpublished Manuscript.
39. Svensson, L. E. y Razin, A. (1983). “The terms of trade and the current account: The Harberger-Laursen-Metzler effect”. Journal of Political Economy, 91(1), 97-125.
Anexos
Anexo 1. Construcción y detalles del Modelo de equilibrio general dinámico estocástico
En esta sección se presenta la solución de los problemas de optimización de las familias y empresas en un contexto de modelo de equilibrio general en la línea de Schmitt-Grohe y Uribe(2018).
1.1. Familias
Las preferencias de las familias dependen del consumo (
), horas de trabajo en el sector de bienes importables (
), exportables (
) y no transables (
). Se aplica una forma GHH4 a la función de utilidad y se sujeta a una transformación monotónica creciente
, Las preferencias de las familias están representadas por la siguiente función de utilidad:

El problema de las familias se define como:


Las familias maximizan intertemporalmente su nivel de utilidad con un factor de descuento β y se sujetan a cuatro restricciones. La primera restricción implica la igualdad entre los gastos e ingresos. Por el lado del gasto, las familias destinan sus recursos a consumir (
), invertir en las empresas de bienes importables, exportables y no transables
. Por el lado del ingreso, las familias reciben un salario
por su trabajo
y un interés
por el arriendo del capital
en los sectores de bienes importables, exportables y no transables, respectivamente. Se asumen tres leyes de movimiento del capital convencionales para cada sector básico de producción. De las condiciones de primer orden del problema de maximización de las familias se obtiene la ecuación de Euler y la oferta de trabajo:

1.2. Empresas
a) Bienes exportables, importables y no transables
La producción de bienes importables (
), exportables (
) y no transables (
) emplea capital (
), empleo (
) y un nivel de tecnología (
), y los bienes son vendidos a un precio de mercado (
). Se emplea una función de producción del tipo Cobb-Douglas. Estas empresas deben elegir la cantidad de capital y horas de trabajo a contratar que hagan máximos sus niveles de utilidad (
). El problema de maximización de este tipo de empresas se representa como:

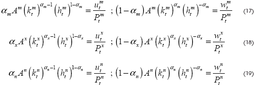
Las condiciones de primer orden del problema de maximización de las empresas son:

Las ecuaciones 17, 18 y 19 representan las demandas óptimas de trabajo y capital. Estas expresiones implican la igualdad entre el ingreso marginal y el costo marginal del factor productivo.
b) Bienes transables
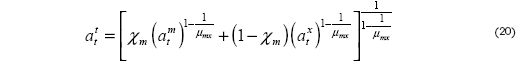
El bien transable se agrega en una combinación de bienes exportables e importables usando una función de elasticidad constante (CES):

donde
es la producción del bien transable compuesto,
es la demanda de bienes importables,
de bienes exportables, μmx la elasticidad de sustitución entre bienes exportables e importables y χm se define como la proporción del gasto en bienes importables. Sin pérdida de generalidad, se supone que μmx = 1, por lo tanto, el problema de maximización de beneficios es:
![]()
Las demandas óptimas domésticas de bienes exportables e importables son respectivamente5:
![]()
Ambas ecuaciones expresan la igualdad entre el ingreso marginal de la producción (interpretado como la productividad marginal del factor productivo) y el costo marginal.
c) Bienes finales
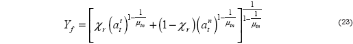
El bien final se agrega en una combinación de bienes transables y no transables:

donde la producción del bien final Yf resulta de la combinación del bien transable compuesto
y del bien no transable
. La elasticidad de sustitución entre bienes transables se define como μtn, y χr es la proporción del gasto en bienes transables. Igualmente, se supone que μtn = 1, por lo tanto, el problema de maximización de beneficios es:
![]()
Como resultado de la maximización, se obtienen las demandas domésticas y óptimas de empresas productoras de bienes finales porbienes transables y no transables, respectivamente:
![]()
Las demandas óptimas reflejan la condición de uso de bienes transables y no transables para la producción. Se contratarán estos factores hasta que la productividad marginal que generan en la producción sea equivalente al costo por su uso en términos reales.
1.3. Restricciones de la economía
Las importaciones se definen como un exceso de demanda por bienes importables y las exportaciones son el exceso de oferta en el mercado de bienes exportables:
![]()
El gasto en consumo más el gasto en inversión debe ser igual a la producción de bienes finales; la igualdad de la economía toma la forma
Adicionalmente, se establece que la oferta debe ser igual a la demanda en los mercados de bienes transables y no transables: ![]()

























