Servicios Personalizados
Revista
Articulo
Indicadores
-
Citado por SciELO -
Accesos
Links relacionados
-
Similares en
SciELO
Compartir
Revista Latinoamericana de Desarrollo Económico
versión On-line ISSN 2074-4706
rlde no.32 La Paz nov. 2019
Tendencias del empleo formal privado de Perú: un análisis con planilla electrónica (2008-2018)
Trends of Private Formal Employment of Perú: an Analysis with Electronic Payroll (2008-2018)
Julio Pérez Coaguila*
Resumen
El presente documento analiza las tendencias y posibles cambios generados en el empleo formal registrado del sector privado de Perú, en base a la información de la planilla electrónica reportada desde agosto de 2010 hasta agosto de 2018. La evidencia revela que no hay cambios significativos en las tendencias y estructuras del empleo formal del sector privado. Sin embargo, se registró una reducción en la brecha proporcional del empleo a favor de las mujeres y una consolidación de la fuerza laboral adulta de 30 y más años de edad. Más del 88% del aumento de empleo formal privado femenino fue explicado por el dinamismo intersectorial (efecto within) y no por cambios estructurales del mercado laboral. En la mayoría de las regiones el crecimiento del empleo formal privado se explicó fundamentalmente por el efecto regional debido a la especialización interna y al dinamismo sectorial en las regiones.
Palabras clave: Formalización del empleo, modelos de descomposición, demanda de trabajo.
Abstract
This document analyzes the trends and possible changes generated in the registered formal employment of the private sector, based on the information from the electronic form reported from August 2010 to August 2018. The evidence reveals that there are no significant changes in the trends and formal employment structures of the private sector. However, there was a reduction in the proportional employment gap in favor of women and a consolidation of the adult labor force aged 30 and over. More than 88% of the increase in female private formal employment was explained by intersectoral dynamism (effect within) and not by structural changes in the labor market. In most regions, the growth of private formal employment was mainly explained by the regional effect due to internal specialization and sectoral dynamism in the regions.
Key words: Formalization of employment, models of decomposition, demand for work.
Clasificación/Classification JEL: C69, J23,O54
1. Introducción
Los cambios en la dinámica del mercado de trabajo son la manifestación más evidente del proceso de desarrollo económico y social. La capacidad para absorber a la población económicamente activa en empleos formales es esencial para promover un patrón de crecimiento con incidencia más positiva en la distribución de los ingresos que determinan en gran medida el bienestar material de la mayoría de los hogares de la región (Medina y Galván, 2008). Por ello, el mercado laboral debe ser el mecanismo de transmisión por excelencia de las bondades del desempeño macroeconómico en el mejoramiento de los niveles de bienestar de las familias peruanas. Es decir, los resultados económicos deben reflejarse principalmente a través de la generación de empleos, pero no cualquier empleo, sino los formales y de calidad que van de la mano con el crecimiento real de las remuneraciones.
La primera década del siglo XXI fue una de las mejores en términos económicos y sociales para Perú: elevadas tasas de crecimiento económico acompañadas de bajos niveles de pobreza con mejoras significativas en el mercado laboral, traducidas en una mayor cantidad de puestos de trabajo formales y mejora de los ingresos reales. Este dinamismo favorable se ha desacelerado desde la segunda mitad de la década del 2010. Como consecuencia de estas fluctuaciones y dado que el ritmo en la formalización del empleo agregado es cambiante, es posible que se hayan registrado algunos cambios en las tendencias del mercado laboral, pero ¿se habrán modificado las estructuras del empleo formal del sector privado?, y de ser el caso, ¿cuáles serían los principales cambios registrados?
El análisis de las trayectorias nos daría mayores luces sobre los posibles cambios en el empleo formal del sector privado. Sobre este punto, en años recientes se han presentado mejoras significativas en la disponibilidad de información para medir la formalización laboral; sin embargo, aún no es suficiente para el monitoreo continuo del mercado laboral formal. Por el lado de la oferta de trabajo (por parte de los trabajadores) se ha avanzado bastante con las encuestas de hogares, pero en términos de la demanda de trabajo (por parte de las empresas) se requiere intensificar los esfuerzos estadísticos para usar los registros administrativos (planilla electrónica) como fuente de información mensual de cobertura nacional y regional para el seguimiento continuo del empleo formal privado del país. De esa manera se podrá evaluar de manera más detallada el impacto de distintas estrategias sobre el empleo y las remuneraciones del mercado laboral peruano.
El presente artículo contribuye a revelar el comportamiento de las tendencias y posibles cambios generados en el empleo formal del sector privado en base a la información de la planilla electrónica reportada desde agosto de 2010 hasta agosto de 2018, fuente de información poco utilizada en el país. Ello con la finalidad de documentar los cambios, explorar sus determinantes y aportar al debate sobre las políticas públicas de empleo desde una perspectiva de la demanda laboral.
La información presentada en este artículo se organiza de la siguiente manera. Inicia con una breve introducción. Posteriormente, se analiza la relación entre el crecimiento económico y el empleo registrado en la planilla electrónica, seguido de las tendencias y estructuras de las principales variables del empleo formal privado, para culminar con dos casos puntuales: los cambios registrados en el crecimiento del empleo femenino y del empleo regional a partir de técnicas de descomposición. Se finaliza con las conclusiones, la bibliografía y los anexos.
2. Formalización del empleo y crecimiento económico
Desde inicios del siglo XXI, Perú ha sido uno de los países de más rápido crecimiento económico en la región de América Latina. Este desempeño ha repercutido en favorables resultados macroeconómicos y sociales, entre ellos, la generación de empleos1. En la misma línea de análisis, Chacaltana (2016) señala que durante este periodo se dinamizaron algunos indicadores sociales como la reducción de la pobreza (sobre todo rural) y el desempleo, el aumento de los salarios reales urbanos, la cobertura de seguridad social en salud, el empleo total y el empleo formal.
El mercado laboral peruano, caracterizado por presentar elevadas tasas de informalidad, en años recientes ha experimentado un leve crecimiento del empleo formal. Los resultados difieren según el método o criterio de estimación y la fuente de información utilizada para medir el empleo formal. En el Anexo 1 se describen las diferentes definiciones operativas para cuantificar la formalidad del empleo.
Por ejemplo, en base a la Encuesta Nacional de Hogares (ENAHO), bajo la metodología del Instituto Nacional de Estadística e Informática (INEI, 2018), el empleo formal nacional representó el 27.6% de 16.8 millones de ocupados. Según las definiciones del Banco Mundial (BM) y del Banco Interamericano de Desarrollo (BID), el porcentaje de trabajadores formales fue de 30.2% (definición legal) y 32.6% (definición productiva), mientras que para el Ministerio de Trabajo y Promoción del Empleo (MTPE), la formalización laboral asalariada privada ascendió a 44.6%. Para el mismo periodo, los datos de la Planilla Electrónica del MTPE revelan que cerca de 3.5 millones de trabajadores fueron registrados en empresas formales del sector privado, lo que representó el 20.7% de la población ocupada (Cuadro 1).
Como se pudo apreciar, la mayoría de indicadores proxy para medir el empleo formal provienen de la encuesta de hogares (oferta de trabajo) que tiene información anual, en el mejor de los casos con niveles de inferencia agregados2, lo que dificulta el continuo análisis mensual de la formalización en el mercado de trabajo. Por esa razón, como complemento, es necesario utilizar la Planilla Electrónica para el monitoreo de la formalización del empleo en el país. Este registro comprende toda la información de las planillas de pago mensuales de las empresas formales (demanda de trabajo) inscritas en el registro único de contribuyentes de la Superintendencia Nacional de Aduanas y de Administración Tributaria (SUNAT).
La Planilla Electrónica se registra en los medios informáticos desarrollados por la SUNAT, y esta información es remitida mensualmente al MTPE para el procesamiento y cálculo de los indicadores de empleo y remuneraciones a nivel nacional y regional, desagregados por diversas características socioeconómicas. Dado que contiene información actualizada por la empresa, este registro de datos constituye una de las principales fuentes de información para el seguimiento y evaluación del mercado laboral formal del país.
El Gráfico 2 muestra la relación existente entre el crecimiento del PBI y la generación de empleo formal del sector privado durante el periodo de agosto 2010 a agosto 2018. Si bien existe una asociación cuasi directa entre la producción y el empleo, la respuesta de la demanda de trabajo (empresas) no siempre ha sido inmediata ni constante al desempeño económico agregado. Tal es así que para este periodo de análisis3 se distinguen hasta tres diferentes etapas de expansión del empleo formal generado por el sector privado.
El primer tramo corresponde al periodo agosto 2010-agosto 2013, en el cual el empleo formal registrado creció, en promedio, 9.1 % mensualmente. El segundo tramo abarca al periodo septiembre 2013-agosto 2017, en el cual la generación de empleo formal se desaceleró (2.4% promedio mensual). Finalmente, el tercer tramo va de septiembre de 2017 a agosto de 2018, en el cual se retomó el crecimiento del empleo formal privado (4.0% promedio mensual).
Esta desaceleración en la generación de empleo formal ha tenido probablemente repercusiones o particularidades en diferentes grupos vulnerables, segmentos o actividades del mercado laboral. Por ello, para tener mayor grado de certeza sobre los posibles cambios que se han registrado en el empleo formal privado se requiere conocer la evolución de sus tendencias y estructuras en base a la información disponible.
3. Tendencias y estructuras del empleo formal privado
La evidencia sugiere la existencia de diferentes ritmos de crecimiento del empleo formal del sector privado, pero cabe preguntarse: ¿este comportamiento se ha traducido en cambios en las tendencias del mercado laboral?, ¿se han modificado las estructuras del empleo formal? Y de ser éste el caso, ¿cuáles fueron los principales cambios que se han presentado en el empleo formal privado en los últimos ocho años?, ¿es posible hablar de un cambio estructural? Para indagar posibles respuestas a estas interrogantes se realizará una caracterización tendencial de las principales variables relacionadas al empleo formal del sector privado.
3.1. Género
En los últimos ocho años se ha reducido ligeramente la brecha en la proporción del empleo a favor de las mujeres, pero aún predomina la presencia de hombres con empleo formal registrado en la Planilla Electrónica (Gráfico 3).
Durante este periodo las estructuras del empleo formal por género casi no han cambiado; no obstante, se destaca un importante aumento en el porcentaje del empleo femenino, de 4.4 puntos porcentuales, entre agosto 2010 y agosto 2018, siendo mayor el incremento registrado en los últimos seis años. A agosto de 2018, el 64.4% del total del empleo formal privado estuvo conformado por hombres, mientras que el resto (35.6%) fue ocupado por mujeres (Cuadro 2).
3.2. Edad
Las trayectorias del empleo formal privado por rangos de edad revelan una ligera disminución en el porcentaje de empleo de los jóvenes de 15 a 29 años de edad, y un incremento en el grupo de más de 30 años de edad. Es decir, a lo largo de los últimos ocho años, el empleo formal generado por el sector privado sigue siendo absorbido, principalmente, por personas adultas con más de 30 años de edad (Gráfico 4).
En términos de la estructura del empleo por rangos de edad, se constata que hay algunas variaciones que no cambian radicalmente su estructura. Así, en el Cuadro 3 se aprecia que, entre agosto de 2013 y agosto de 2018, los adultos con más de 30 años de edad experimentaron un crecimiento de 2.9 puntos porcentuales en su proporción laboral. A agosto de 2018, casi el 70% de la mano de obra formal del sector privado estaba conformada por adultos con más de 30 años de edad, mientras que el 30% estaba ocupado por jóvenes de 15 a 29 años de edad.
3.3. Nivel educativo
En cuanto al nivel educativo, los datos de la Planilla Electrónica presentados en el Gráfico 5 revelan algunas diferencias tendenciales. Por ejemplo, la proporción de trabajadores formales del sector privado con educación hasta secundaria presentó una leve disminución en contraste con los ocupados técnicos. Mientras que en el caso de los trabajadores con educación superior (universitaria y no universitaria) no se apreciaron cambios significativos.
En términos de estructuras educacionales, las variaciones más significativas se han registrado en aquellos trabajadores con menor calificación. En efecto, entre agosto 2010 y agosto 2013, se registró una reducción de 2.9 puntos porcentuales en la proporción de ocupados que tenían hasta secundaria, y un incremento de 3.5 puntos porcentuales en el grupo de trabajadores técnicos. A agosto de 2018, el 51.3% de la mano de obra formal privada tenía hasta secundaria, 18.6% contaba con estudios técnicos, 7.4% tenía estudios no universitarios y 22.8% poseía estudios universitarios (Cuadro 4).
3.4. Actividad económica
Por actividad económica, el gráfico 6 muestra una clara tendencia decreciente en la proporción de trabajadores formales del sector industrial y un aumento en la participación de trabajadores formales dedicados a los servicios del sector privado. El resto de actividades económicas no registraron cambios considerables, con excepción del sector de construcción.
La información del Cuadro 5 revela que para la mayoría de sectores los cambios más sobresalientes en la estructura del empleo formal privado se presentaron, principalmente, entre agosto de 2013 y agosto de 2018. Ello ocasionó que, a agosto de 2018, el 52.3% de los trabajadores realicen labores en el sector servicios, seguido por el de comercio (16.7%), industria (14.4%), extractiva (11.4%) y construcción (5.1%).
3.5. Tamaño de empresa
La información histórica del empleo formal privado por tamaño de empresa, obtenida de la Planilla Electrónica, muestra que no hay quiebres significativos que hayan originado cambios o rupturas en la tendencia (Gráfico 7).
Durante el periodo comprendido entre agosto de 2010 y agosto de 2018, las variaciones más importantes en la proporción de trabajadores formales por tamaño de empresa se registraron en empresas de 11 a 100 y en empresas de 101 a más trabajadores, con cambios de -1.7 puntos porcentuales y 1.4 puntos porcentuales, respectivamente. A agosto de 2018, la mayor proporción de mano de obra privada formal (57.8%) se concentró en empresas de 101 a más trabajadores, seguidas en orden de importancia por empresas de 11 a 100 trabajadores (21.8%) y empresas de hasta 10 trabajadores (20.4%).
4. Descomposición del cambio en el empleo formal privado femenino
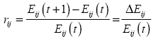
Los cambios en la estructura del empleo pueden verse reflejados en una menor proporción laboral para determinados segmentos, o incluso significar expansiones laborales en algunas actividades económicas. En el caso del empleo por género, los datos de la Planilla Electrónica entre agosto 2010 y agosto 2018 revelan que la proporción de mujeres con empleo formal en el sector privado creció en 4.4 puntos porcentuales. Según Gasparini y Marchionni (2015), este cambio puede ser impulsado por dos drivers. Por un lado, la proporción mujer/hombre puede haber aumentado en todos los sectores, y por otro, la distribución de los puestos de trabajo puede estar cambiando hacia aquellos sectores con una mayor proporción del ratio mujer/hombre. Formalmente, el cambio en la proporción de trabajadores en el empleo total puede ser escrito como:

Donde E representa el número de personas empleadas, f es la categoría de análisis (mujer, hombre, joven, adulto, etc.), t es el tiempo, s los tipos de actividades o sectores económicos y Δ constituye los cambios entre el tiempo t y el tiempo t + 1. Por tanto, si quisiéramos representar la ecuación anterior en términos de la proporción del empleo femenino tendríamos que Efst sería el número total de mujeres empleadas en el sector s en el momento t. El primer término de la descomposición representa el impacto de los cambios en la propensión a emplear mujeres dentro de los sectores (efecto within), mientras que el segundo captura el impacto de los cambios en la estructura del empleo en todos los sectores (efecto composition).
El Cuadro 7 muestra los resultados de la descomposición de los cambios del empleo registrado de la mujer por actividad económica durante agosto 2010 y agosto 2018. En primer lugar, se aprecia un incremento de la proporción de mujeres empleadas en todos los sectores económicos, con mayor incidencia en actividades inmobiliarias/empresariales, hoteles y restaurantes, comercio y construcción. En segundo lugar, la estructura del empleo experimentó algunos cambios: se produjo un aumento del empleo formal privado en comercio y servicios, que estuvo acompañado de una contracción del empleo formal en el sector industrial y en construcción. Como resultado de la descomposición se evidencia que el efecto composition fue positivo (es decir, ayudó al aumento de la proporción laboral de la mujer en el empleo formal), pero muy pequeño (e incluso negativo en algunos sectores) comparado con el efecto within.
Al realizar el ejercicio de descomposición de los cambios del empleo registrado femenino por tamaño de empresa, para el mismo periodo se encontraron resultados similares. La proporción de trabajadoras mujeres aumentó en todos los tamaños de empresa con diferentes matices de crecimiento, lo que conllevó al predominio del efecto within (mayor dinámica intersectorial para el empleo femenino) en comparación con el efecto composition (o cambio estructural de la economía) (Cuadro 8).
Gasparini y Marchionni (2015) explican que los cambios relevantes en la producción y el empleo también pueden ocurrir sin necesidad de variaciones en la estructura sectorial de la economía. Las innovaciones tecnológicas, por ejemplo, pueden transformar la demanda de tareas realizadas por los trabajadores dentro de los sectores y en toda la economía. Incluso los nuevos procesos de producción que requieren tareas más amigables para las mujeres podrían generar un impulso del empleo femenino.
5. Descomposición del cambio en el empleo formal privado regional
La dinámica del empleo formal agregado es el reflejo del comportamiento de los mercados laborales regionales. Además, teniendo en cuenta que existe una alta heterogeneidad productiva regional (OECD, 2016), es conveniente analizar la dinámica del crecimiento del empleo regional. Para ello se utilizará la técnica Shift-Share, que forma parte del análisis de la economía regional. Esta técnica, en su versión clásica, fue desarrollada por Dunn (1960) como un método que permite descomponer las variaciones de una variable económica en sus principales componentes. Centra su objetivo en determinar las causas que explican las diferencias en las tasas de crecimiento de una variable de interés, que en este caso sería el crecimiento del empleo formal privado regional.
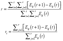
El análisis de la descomposición se basa en el principio de diferencias estructurales existentes en economías heterogéneas4. Dado que se requiere explicar los cambios en el empleo formal, esto puede ser atribuido inicialmente a las diferentes dotaciones de recursos (Nazara y Hewings, 2004). Operativamente, el cambio del empleo formal en el sector privado puede ser descompuesto en tres componentes: el efecto nacional, que representa la variación conjunta del empleo regional, el efecto sectorial, también denominado cambio estructural, derivado de la interrelación de los sectores productivos atribuible a las diferencias en la composición sectorial de cada región comparado con las estructura nacional, y el efecto regional, conocido también como el efecto competitivo, vinculado al dinamismo que presentan las actividades económicas en una región que reflejan las interrelaciones económicas locales a causa de factores de especialización en la mano de obra (Fernández y Menéndez, 2005). Según Arias y Sánchez (2013), la tasa de crecimiento del empleo formal en el sector i (i = 1, 2,... s) de la región j (j = 1,2, ...r) generado entre los periodos t y t+1 puede ser representado como:

Expresado de otra forma tenemos:
![]()
La ecuación anterior equivale a:
![]()
Donde:

En resumen, ΔEij. representa la variación del empleo formal del sector privado en el sector i de la región j, Eij(t).r refleja el efecto nacional, [ri - r]Eij(t) constituye el efecto sectorial o estructural y [rij - ri]Eij(t) mide el efecto regional o competitivo. La suma del efecto sectorial y regional es conocida como el efecto neto.
Los resultados de la aplicación del análisis clásico del Shift-Share se presentan en el Gráfico 8, que contiene la descomposición del cambio en el empleo formal privado en términos de sus efectos nacionales, sectoriales y regionales, para cada una de las 25 regiones del país, obtenido en base a la información de la Planilla Electrónica. Los valores puntuales se muestran en el Anexo 2. Las estimaciones sugieren que entre agosto 2010 y agosto 2018, en 15 de 25 regiones (principalmente en el Sur) el empleo formal del sector privado creció por encima de 10% en promedio mensual durante todo el periodo.
En la mayoría de las regiones, el crecimiento del empleo registrado privado se explicó fundamentalmente por el efecto regional5, es decir, generado por la especialización interna y el dinamismo sectorial de las regiones, en comparación con el dinamismo sectorial nacional, con excepción de Arequipa, Ucayali, Tacna, Callao, Loreto y Lima, donde predominó la relevancia del efecto nacional sobre el regional. En todos los casos, para el periodo de análisis y la fuente de información utilizada, el efecto sectorial fue insignificante, lo cual indicaría que no hay espacio para hablar sobre la posibilidad de un cambio estructural en las regiones.
6. Conclusiones
La evidencia permite sugerir que durante el periodo comprendido entre agosto de 2010 y agosto de 2018, la evolución del empleo formal del sector privado ha pasado por tres momentos destacables con diferentes ritmos de crecimiento. El primero entre agosto 2010 y agosto 2013, cuando creció en 9.1% promedio mensual; el segundo, desde septiembre de 2013 hasta agosto de 2017, con un crecimiento moderado de 2.4% promedio mensual, y el tercero, entre septiembre de 2017 y agosto de 2018 (fase de recuperación del empleo formal privado), con un crecimiento de 4.0% promedio mensual.
Para este periodo se evidencia que no hay cambios o quiebres estructurales significativos en las tendencias del empleo formal del sector privado del país. No obstante, se han registrado algunos síntomas a considerar. Por ejemplo, una reducción en la brecha de la proporción laboral a favor de las mujeres en la planilla y una consolidación de los adultos con 30 y más años de edad; así como un aumento en la proporción de trabajadores con educación técnica y dedicados a la actividad de servicios, en contraste con la participación de trabajadores en el sector industrial.
Por ende, en estos últimos ocho años, las estructuras del empleo formal del sector privado por género, edad, nivel educativo, actividad económica y tamaño de empresa se mantuvieron sin mayores cambios significativos. A pesar de ello, la radiografía más actual de la formalización indicaría que, según datos de la Planilla Electrónica a agosto de 2018, el empleo formal registrado por el sector privado tuvo rostro masculino (64.4%), predominó en adultos de 30 a más años de edad (69.9%), se caracterizó por estar presente en trabajadores de bajo nivel educativo (51.3% contó con educación hasta secundaria), con elevada concentración en las actividades terciarias de servicios (52.3%) y comercio (16.7%), principalmente, en empresas de 101 a más trabajadores (57.8%).
Los resultados de la descomposición de los cambios en el empleo registrado femenino por actividad económica, para el periodo comprendido entre agosto de 2010 y agosto de 2018, sugieren que más del 88% del aumento de la proporción del empleo de la mujer (4.4 puntos porcentuales) fue explicado básicamente por el dinamismo intersectorial (efecto within) y no por cambios estructurales del mercado laboral, es decir, se registró una intensiva contratación de mano de obra femenina en todos los sectores económicos, con mayor intensidad en las actividades inmobiliarias/empresariales, hoteles y restaurantes, comercio y construcción. Se obtuvo un predominio similar del efecto within con la descomposición de los cambios en el empleo registrado por tamaño de empresa, con un mayor aporte de las empresas de mayor tamaño.
En cuanto al análisis regional clásico del Shift-Share, la evidencia señala que, entre agosto de 2010 y agosto de 2018, en 15 de 25 regiones (principalmente en el Sur) el empleo formal creció por encima de 10% en promedio mensual durante todo el periodo de análisis. En la mayoría de ellas el crecimiento del empleo formal registrado se explicó fundamentalmente por el efecto regional, es decir, generado por la especialización interna y el dinamismo sectorial de las regiones, en comparación con el dinamismo sectorial nacional, con excepción de Arequipa, Ucayali, Tacna, Callao, Loreto y Lima, donde predominó la relevancia del efecto nacional sobre el regional. Dado que el efecto sectorial fue muy pequeño -para este periodo de análisis y fuente de información utilizada- no hay espacio para hablar sobre la posibilidad de un cambio estructural en las regiones.
Notas
* Economista especializado en economía laboral con estudios de maestría en economía por la Pontificia Universidad Católica del Perú. Contacto: jcpc2008@gmail.com
1 Según la evaluación del desempeño económico de Perú, realizada por el Banco Mundial en https://www.bancomundial.org/es/country/peru
2 También existe la "Encuesta permanente del empleo", con información mensual de trimestres móviles, pero su cobertura es solo Lima metropolitana y no tiene indicadores de empleo formal o informal.
3 Comprende información comparable del empleo formal privado registrado en la Planilla Electrónica.
4 Esta técnica es muy utilizada en el análisis regional; sin embargo, ha sido objeto de varias críticas, que van desde la ausencia de un marco teórico hasta las limitaciones inferenciales de sus resultados, motivo por el cual ha sufrido modificaciones y extensiones (Arias y Sánchez, 2013; Fernández y Menéndez, 2005; Dinc et al., 1998). En el presente artículo solo se presenta la versión clásica y estándar del Shift-Share.
5 Si bien los resultados agregados no permiten apreciar los resultados sectoriales, las actividades con mayor crecimiento e incidencia en el empleo formal privado son las relacionadas a servicios y comercio.
Fecha de recepción: 24 de junio de 2019
Fecha de aceptación: 16 de septiembre de 2019
Manejado por ABCE/SEBOL/IISEC
Referencias
1. Arias, R. y Sánchez, L. (2013). “Análisis de la dinámica regional del empleo utilizando el modelo Shift Share espacialmente modificado en la Gran Área Metropolitana (GAM) de Costa Rica para el periodo 2000-2011”. Revista Ciencias Económicas 31(2), 135-156.
2. Banco Mundial (2008). Peru: Trajectories towards Formality. Report No. 43737-PE. Poverty Reduction and Economic Management Bolivia, Ecuador, Peru and Venezuela Country Management Unit Latin America and the Caribbean Region. [ Links ]
3. Chacaltana, J. (2016). “Perú, 2002-2012: crecimiento, cambio estructural y formalización”. Revista CEPAL. 119, 47-68.
4. Dinc, M., Haynes, K. y Qiangsheng, L. (1998). “A Comparative Evaluation of Shift-Share Models and Their Extensions”. Australasian Journal of Regional Studies, 4(2), 275-302.
5. Dunn, E. (1960). “A statistical and analytical technique for regional analysis”. Papers and Proceedings of the Regional Science Association. 6, 97-112.
6. Fernández, M. y Menéndez, A. (2005). “The spatial shift-share analysis – new developments and some findings for the Spanish case”. 45th Congress of the European Regional Science Association. European Regional Science Association (ERSA).
7. Gasparini, L. y Marchionni, M. (2015). Bridging gender gaps? The rise and deceleration of female labor force participation in Latin America. Buenos Aires: CEDLAS. [ Links ]
8. INEI (2018). "Producción y empleo informal en el Perú, Cuenta satélite de la economía informal 2007-2017". Instituto Nacional de Estadística e Informática, Perú. [ Links ]
9. Medina, F. y Galván, M. (2008). “Descomposición del coeficiente de Gini por fuentes de ingreso: evidencia empírica para América Latina, 1999-2005”. Serie Estudios Estadísticos y Prospectivos, N° 63, CEPAL.
10. MTPE (2018). "Informe anual del empleo 2017". Ministerio de Trabajo y Promoción del Empleo, Perú.
11. Nazara, S. y Hewings, G. (2004). “Spatial Structure and Taxonomy of Decomposition in shift-share analysis”. Growth and Change, 35 (4), 476-490.
12. OECD (2016). OECD Territorial Reviews: Peru 2016, OECD Publishing, Paris. Recuperado de https://doi.org/10.1787/9789264262904-en [ Links ]
13. Ruiz-Arranz, M. y Deza, M. C. (2018). “Creciendo con productividad. Una agenda para la región andina”. Banco Interamericano de Desarrollo.
Anexos
Perú: Definiciones operativas de la formalización del empleo
En la actualidad existen diferentes metodologías para medir la informalidad y por defecto la formalidad del empleo. A continuación, se describen los enfoques utilizados en el presente artículo.
Banco Mundial (BM). Cuantifica la informalidad desde un punto de vista productivo y legal. La definición productiva centra su análisis en trabajadores asalariados en pequeñas firmas (menos de cinco trabajadores), personas autoempleadas no profesionales y trabajadores sin ingresos laborales. Asimismo, considera a una empresa pequeña si emplea a menos de cinco trabajadores. En cambio, la definición legalista hace referencia al acceso a los servicios de protección social (salud y pensión de jubilación) (Banco Mundial, 2008).
Banco Interamericano de Desarrollo (BID). Considera la informalidad desde el punto de vista legal, es decir, el incumplimiento o el cumplimiento parcial de las regulaciones laborales y tributarias por parte de las empresas o individuos. En un reciente estudio indica que la informalidad laboral es el número de trabajadores que no realizan contribuciones a planes jubilatorios o que no están afiliados (Ruiz-Arranz y Deza, 2018). El BID, a través del Sistema de Información de Mercados Laborales y Seguridad Social, pone a disposición diferentes indicadores de informalidad y formalidad laboral.
Instituto Nacional de Estadística e Informática (INEI). Considera empleo formal a todos aquellos empleos que cuentan con los beneficios laborales estipulados en la Ley como el acceso a la seguridad social pagada por el empleador, vacaciones pagadas, licencia por enfermedad, etc. Incorpora las recomendaciones generales de la Organización Internacional de Trabajo. INEI (2018).
Ministerio de Trabajo y Promoción del Empleo (MTPE). Centra su análisis en actividades sujetas a regulación laboral vinculadas al segmento asalariado privado. Define informalidad laboral de los asalariados privados como el porcentaje de asalariados privados (empleados y obreros) sin contrato laboral (incluye locadores de servicios). MTPE (2018).






























