Servicios Personalizados
Revista
Articulo
Indicadores
-
Citado por SciELO -
Accesos
Links relacionados
-
Similares en
SciELO
Compartir
Revista Latinoamericana de Desarrollo Económico
versión On-line ISSN 2074-4706
rlde no.31 La Paz mayo 2019
Artículo científico
Elasticidades tributarias dinámicas: evidencias a corto plazo y largo plazo en Bolivia (1990-2018)
Dynamic Elasticities of Tax Revenue: Short run and Long run Evidences forBolivia (1990-2018)
Adrián M. Manjón Álvarez*
Resumen
El objetivo del presente documento yace en la estimación de las elasticidades tributarias a largo y a corto plazo, de las recaudaciones tributarias y de algunos impuestos individuales en Bolivia, mediante un Mecanismo de Corrección de Error especificado para tomar en cuenta reacciones asimétricas de las elasticidades a corto plazo y de la velocidad de ajuste en torno al equilibrio de largo plazo. Además, en el presente documento se sistematizó la literatura pertinente. Empleando series trimestrales desde el primer trimestre de 1990 hasta el segundo trimestre de 2018, se realizaron las estimaciones para las recaudaciones totales sin IDH, IVA (mercado interno), IVA (importaciones), IT y GA. Las estimaciones, en su mayoría, muestran evidencias de respuestas asimétricas y elásticas de las recaudaciones tributarias a corto plazo (volátil), concluyendo en un sistema tributario mayormente progresivo a largo plazo con respuestas significativamente asimétricas (contracíclicas y procíclicas) a corto plazo.
Palabras clave: Elasticidades tributarias, mecanismo de corrección de error, modelos asimétricos, modelos dinámicos, volatilidad y crecimiento de ingreso tributario.
Abstract
The main objective of this paper lies over the estimation of tax revenue elasticities in the long-run and the short-run for Bolivian total tax revenue and by component through an Error Correction Mechanism including possible asymmetries of tax revenue elasticities in the short-run and asymmetries over the adjustment parameter. Also in this paper, the relevant literature was systematized. Using quarterly data of total tax revenue without hydrocarbons direct tax, VAT (domestic), VAT (import), Transaction Tax and Customs Tax. Most of the estimations shows asymmetric and elastic responses evidences of the tax revenue in the short-run (volatil) concluding, at most, in a progressive tax system in the long-run with significative asymmetric responses (countercyclical and procyclical) in the short-run.
Key words: Tax Revenue Elasticities, Error Correction Mechanism, Asymmetric Models, Dynamic Models, Tax Revenue Volatility and Growth.
Clasificación/Classification JEL: C32, E62, H24, H25, H27
1. Introducción
La importancia del estudio y cuantificación de las elasticidades de los ingresos tributarios respecto a sus bases imponibles pertinentes se encuentra en su aplicabilidad en la construcción presupuestaria del gobierno central, con proyecciones presupuestarias con ajuste cíclico basado en predicciones macroeconómicas (Havranek, Irsova y Schwarz, 2015). A lo anterior se añaden proyecciones de ingresos tributarios a corto plazo, considerando su volatilidad, análisis de la composición del sistema tributario en cuanto a sus categorías (progresivo, regresivo o proporcional) y su implementación en políticas fiscales y monetarias como estabilizador automático (Sichel y Eckstein, 1974).
Sin embargo, la literatura respecto a este tema es escasa y tiende a ignorar la dimensión dinámica de las relaciones en consideración (Koester y Priesmeier, 2012). Es evidente que en dicha literatura se consideran estimaciones de elasticidades constantes a lo largo del periodo de observación, pero existen fundamentos económicos que contradicen esta aseveración (Wolswijk, 2009), por ejemplo, ceteris paribus, el consumo temporal de bienes de lujo, que, por su mayor peso impositivo, se traduce en un aumento de las recaudaciones tributarias y la evasión tributaria, en función a los ciclos económicos. Otra situación a considerar, en un horizonte de tiempo más amplio, son las modificaciones en la distribución del ingreso1 (Choudhry, 1979).
En general, las recaudaciones tributarias llegan a ser la mayor fuente de ingresos que tiene una economía que busca la estabilidad en sus finanzas públicas. En Bolivia esto ha representado aproximadamente el 56% del ingreso total del Gobierno central entre 2004 hasta 2016, y en promedio un 60% desde 2012 hasta 2016 (según datos del INE). Todo Estado requiere de recursos financieros para la ejecución de sus distintos programas de gasto e inversión pública (bienes y servicios públicos); por lo tanto, es un requerimiento crucial en las economías envías de desarrollo contar con una fuente estable de ingresos tributarios para impulsar el crecimiento económico y cumplir con otras metas detalladas en los programas de planificación. De ahí que el tema emerja con una relevancia directa para las finanzas y administración públicas, más aún cuando existen mercados de capitales no desarrollados. Según Ritter y Silber (1974), existen cinco maneras de financiar el gasto público al abordar los aspectos financieros de la política fiscal: 1) a través de impuestos, 2) endeudamiento interno, 3) endeudamiento con el sector financiero privado, 4) endeudamiento con el banco central, y 5) emisión de circulante (señoreaje)2.
En cuanto al contexto boliviano, el tema de las elasticidades de los ingresos tributarios no es muy estudiado, y la investigación focalizada es escasa, en contraste con los países desarrollados3. De acuerdo a estas investigaciones, la elasticidad de los ingresos tributarios para Bolivia es elástica; sin embargo, se considera un enfoque estático y no dinámico, a excepción de Caballero y Ávalos (2017), que emplean un Mecanismo de Corrección de Error (MCE) al comprobar la existencia de cointegración de las variables, donde las elasticidades a largo plazo son elásticas y a corto plazo, inelásticas, conllevando a una mayor necesidad de financiamiento de los programas de gasto e inversión pública en Bolivia, en el último caso. Por otro lado, existe una controversia respecto a la fundamentación teórica en la especificación econométrica a corto plazo, dado que las estimaciones de las elasticidades tributarias en Bolivia difieren, pudiendo ser elásticas, unitarias o inelásticas en el corto plazo4, lo cual puede dar cabida a una mayor dinámica que cause asimetrías y/o respuestas distintas en el corto plazo cuya omisión puede ser causante de las diferentes estimaciones.
¿Cuál es la elasticidad del sistema tributario y de cada uno de sus componentes, y cuáles de éstos muestran mayor volatilidad a corto plazo? ¿Existen evidencias de posibles asimetrías en el corto plazo? La hipótesis manejada a lo largo del documento y tratada en las conclusiones (sección 6) establece que, a largo plazo, la elasticidad del ingreso tributario total es elástica, y a corto plazo, presenta una volatilidad significativa y asimétrica con respecto a su valor de equilibrio. Por lo tanto, el principal objetivo del presente documento es la medición de las elasticidades de los ingresos tributarios, de manera global y por componente relevante, analizando su velocidad de ajuste en torno a sus valores de equilibrio respectivos, bajo consideraciones de asimetrías en el corto plazo. Para ello se empleará una estimación de dos pasos de los ingresos tributarios totales y por componente en el periodo 1990 (trimestre uno, T1) - 2018 (trimestre dos, T2), especificando un modelo econométrico de largo plazo mediante mínimos cuadrados ordinarios dinámicos (MCOD, o por sus siglas en inglés DOLS). Posteriormente se evaluará el teorema de representación de Granger, cuyo cumplimiento deriva en un mecanismo de corrección de error para la especificación de un modelo a corto plazo, empleando mínimos cuadrados ordinarios (MCO) para datos trimestrales de Bolivia, deflactados al 2007 (precios de 2007) y desestacionalizados mediante ARIMACENSUSX-12.
Este documento también contribuirá a la literatura pertinente, con la estimación de elasticidades tributarias en Bolivia con un enfoque dinámico y la sistematización de la literatura (secciones 2 y 3).
El presente documento está estructurado de la siguiente manera: en la sección 2 se realizará la revisión de la literatura pertinente; en la tercera se esbozará el concepto de elasticidad del ingreso tributario, el papel que desempeña y la incidencia de las medidas discretas para el ingreso tributario. El tratamiento de los datos, la metodología de estimación y las especificaciones econométricas se discutirán en la sección 4. La sección 5 presentará los resultados de las estimaciones, y finalmente, en la sección 6 se presentarán las conclusiones.
2. Revisión de la literatura
A pesar de su importancia en el desarrollo de los pronósticos fiscales, entre otras aplicaciones, la literatura respecto al tema mencionado no es vasta. Pese a que es reconocible el esfuerzo realizado en los distintos documentos de investigación, esto no sucede en sus aplicaciones a la realidad boliviana. La concepción del estudio y la estimación de las elasticidades tributarias comienzan bajo las características de un estabilizador automático y positivamente correlacionado con la base imponible o el ingreso agregado. De acuerdo a Prest (1962), el paso estadístico crucial para dicho análisis es el ajuste de las series a una estructura tributaria constante. Esto se refiere a que la estructura tributaria es modificada varias veces, a través de políticas tributarias5, para mejorar el control del sistema tributario, mejorar la eficiencia de los impuestos, la inclusión o derogación de los mismos o modificar las excepciones que afectan la base imponible.
A esto último se conoce en la literatura como "cambios tributarios discrecionales" (Mansfield, 1972)6. De acuerdo a la literatura tradicional, este coeficiente puede clasificarse de tres maneras: inelástica, unitaria y elástica. En cuanto a la última, en un estudio realizado en Costa del Marfil, Leuthold y N'Guessan (1986) establecen que una elasticidad (ajustada) elástica es deseable para economías en desarrollo, dado que implica que los ingresos tributarios crecerán automáticamente más que proporcionalmente al ingreso nacional, sin la necesidad de implementar políticas tributarias. Por otro lado, también aseveran que los impuestos que son mejor administrados tienden a ser más elásticos. La estimación de las elasticidades tributarias dentro de un amplio periodo de tiempo puede causar sesgos, dado que implica una elasticidad constante (Mansfield, 1972).
Por otro lado, Bruce, Fox y Tuttle (2006), en una aplicación a todos los estados de Estados Unidos, consideran un enfoque dinámico en la estimación de las elasticidades tributarias, ampliando el análisis a largo y a corto plazo. En el último predomina la volatilidad de las bases tributarias (o del ingreso tributario) dentro del contexto de cómo estas se desempeñan relativamente a su valor de convergencia de largo plazo, y en qué tiempo se aproxima a ésta, considerando sus fluctuaciones de acuerdo a los distintos segmentos del ciclo económico. El enfoque dinámico resulta ser el más apropiado, dado que su contraparte estática asume que los cambios en los ingresos o bases imponibles solamente afectan contemporáneamente a los ingresos tributarios, y que reacciona de la misma manera a lo largo de los ciclos económicos en el corto plazo tanto como los desarrollos estructurales de la economía a largo plazo, lo cual causa errores sistemáticos en los pronósticos (Koester y Priesmeier, 2017).
En cuanto a las aplicaciones en la realidad boliviana, Cossío (2001) analiza el sistema tributario mediante las elasticidades pertinentes, y realiza un estudio de la regresividad o progresividad del sistema desde 1987 hasta el 2000. Emplea la metodología del ajuste proporcional para ajustar los datos; sin embargo, el autor reconoce la limitación de los datos y emplea una metodología estadística y algebraica, concluyendo que la elasticidad del Impuesto al Valor Agregado (IVA) es del orden de 1.86, y el del Impuesto a las Transacciones (IT) de 1.41. Por otro lado, las boyanzas7 respectivas son de 2.58 y 4.27. Finalmente, concluye que todos los impuestos muestran un comportamiento regresivo. Otra aplicación, pero econométrica en este caso, es realizada por Caballero y Ávalos (2017) para el periodo de 1990T1-2016T18, en la cual emplean un MCE a corto plazo y un Vector Corrector de Error para las estimaciones de largo plazo. Los resultados se observan en el Cuadro 1. En suma, a largo plazo se espera que los impuestos reflejen una estructura progresiva, mientras que a corto plazo mayormente se espera una reacción inelástica. Por otro lado, Banegas y Gonzáles, (2015) identifican en Bolivia, para el periodo trimestral 2003-2011, que la elasticidad a corto plazo de los impuestos internos respecto al PIB real era del orden de 1.22 al 0.1 % de significancia estadística (ajustando cada componente a fluctuaciones en el precio del gas natural y de la actividad económica).
Finalmente, Fricke y Süssmuth (2014) elaboran estimaciones de largo plazo empleando MCOD, y posteriormente construyen un MCE para la especificación de corto plazo, añadiendo una reacción asimétrica en la regresora. En este sentido, elaboran una serie de estimaciones para algunas economías latinoamericanas en las cuales incluyen a Bolivia dentro del periodo 1990T1-2009T1; los resultados se observan en el Cuadro 2. Resulta evidente la controversia en los resultados empíricos, y el motivo de ésta puede deberse al tratamiento de los datos, la especificación a corto plazo y el tamaño de la muestra.
Entre otros trabajos de investigación, Fernández, Otoya y Cardoza (2011) estudian el periodo 1991-2009 en Costa Rica, aplicando MCO y MCE para las estimaciones a corto plazo. Los impuestos a las ventas, el impuesto a las rentas y el ingreso tributario presentan una elasticidad positiva mayor a la unitaria tanto para el largo como para el corto plazo. El impuesto a las rentas y a las ventas se mantuvo elástico y solo los ingresos tributarios cayeron entre 0 y 1, adoptando el carácter inelástico.
3. Elasticidades de los ingresos tributarios
3.1. Definición de elasticidad y boyanza
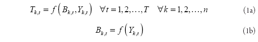
Desde un punto de vista matemático, la elasticidad es el grado de sensibilidad, interpretado en variaciones porcentuales, de la variable dependiente ante una variación porcentual de la variable independiente. En este caso, la relación funcional de las recaudaciones tributarias por concepto es:

siendo Tt el ingreso tributario según cada categoría k (IVA, IT,..., n), Bt es la base imponible respectiva y Yt es una variable agregada macroeconómica para cada periodo de tiempo. Las recaudaciones totales resultan en una función agregada tributaria:

la cual es equivalente a la suma de todos sus conceptos, pero presenta una relación directa con el nivel de ingreso agregado, dado que este último determinará el tamaño de las k bases imponibles.
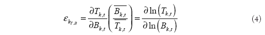
Estableciendo esta relación funcional, la elasticidad tributaria está dada por las ecuaciones (3) y (4) para las recaudaciones totales y por concepto (Ingreso-Base) respectivamente


donde η es la elasticidad del ingreso tributario total respecto al PIB y εkT,B es la elasticidad del ingreso tributario (Ingreso-Base) por concepto k. Considerando el ajuste de los datos respecto a los cambios tributarios discrecionales, se define como elasticidad tributaria a un estabilizador automático que responde de manera natural ante las fluctuaciones del ingreso agregado, manteniendo constante la estructura tributaria. En cambio, la boyanza tributaria es la capacidad de respuesta de las recaudaciones considerando los cambios en la estructura tributaria. De acuerdo a la literatura, existen cuatro métodos para ajustar los datos, derivando en una estructura tributaria constante. Sin embargo, "el método de ajuste depende en la disponibilidad de datos respecto a los cambios (discrecionales) y en el tipo de frecuencia de esos cambios" (Choudhry, 1979: 87). Es aquí donde existe la primera barrera para el cálculo de las elasticidades9.
De acuerdo con Choudhry (1979) y con los aportes de Hulten (1973), la utilización del ajuste proporcional (Prest, 1962; Mukarram, 2001; Creedy y Gemmell, 2004) consiste en el uso de estimaciones presupuestarias del ingreso tributario causado por cambios discrecionales. Tales datos son difíciles de encontrar, más aún en la periodicidad requerida. El método de estructura de tasa constante requiere mayores disponibilidades de datos como las tasas efectivas de recaudación tributaria y la composición de las bases imponibles. Finalmente, el uso de las variables dicotómicas (Singer, 1968) puede mermar grados de libertad al existir varios cambios discrecionales (más aun si se utiliza una reducida muestra) y, además, el aislamiento de los efectos no es posible, dado que el parámetro puede contemplar el efecto del cambio discrecional, así como otros fenómenos estocásticos, generando problemas de multicolinealidad (Leuthold y N'Guessan, 1986). Por estas razones, el cuarto método para "ajustar" las series es el enfoque del "Índice Divisia". Sin embargo, el cálculo de la elasticidad no es estadístico, aunque sí requiere de la boyanza (estimada mediante métodos econométricos) para poder "ajustarla" y remover el efecto causado por los cambios discrecionales10.
A raíz de esto existen dos alternativas: ajustarlos datos o no hacerlo. Esta segunda opción es adoptada por los trabajos de Koester y Priesmeier (2017); Caballero y Ávalos (2017); Fricke y Süssmuth (2014) y Bruce, Fox y Tuttle (2006), que no ajustaron los datos (estimación de boyanzas) e implementaron algunas variables dicotómicas para capturar los efectos de los cambios tributarios discrecionales, pero no en el sentido estricto de Singer (1968). Koester y Priesmeier argumentan que gran parte de los efectos emergentes por los cambios discrecionales en la recaudación tributaria serían identificados como la parte no sistemática de la relación entre los ingresos tributarios y la base imponible, lo cual sería capturado en la parte no sistemática de los términos de perturbación estocástica, independientemente de si se utiliza un enfoque estático o dinámico en la estimación.
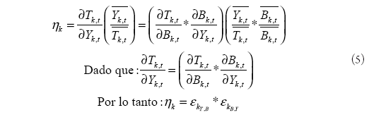
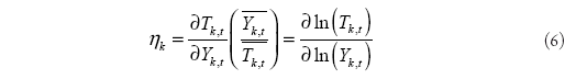
En las ecuaciones (1a), (2) y (4) es evidente la necesidad de la base imponible B para la estimación de dichas elasticidades, y se esperaría a priori una relación proporcional. Sin embargo, esto puede verse afectado por la evasión tributaria, causando que la respuesta del ingreso tributario sea menor al 1% (Havranek, Irsova y Schwarz, 2015). Vale añadir que la disponibilidad de datos puede ser dificultosa respecto a la base imponible o liquidable, por lo cual es necesario descomponer las elasticidades con el objetivo de obtener una base aproximada11. Por lo tanto, se tiene que obtener la elasticidad Ingreso-Agregado en base a la ecuación (4):

donde ηk es la elasticidad Ingreso-Agregado de cada componente k. Es evidente que dicha elasticidad se descompone en la elasticidad Ingreso-Base (εkT,B) multiplicado por la elasticidad Base-Ingreso (εkB,Y). Al simplificar y reordenar los términos tenemos:

por lo cual la variación porcentual del ingreso tributario por concepto k se verá afectada por variaciones porcentuales de la variable macroeconómica Y.
3.2. Aspectos teóricos
La estimación de las elasticidades tributarias puede realizarse tanto mediante un enfoque estático como uno dinámico. En cuanto al primero, Koester y Priesmeier (2017) declaran que la existencia de autocorrelación en estos modelos es un indicador de una especificación econométrica errónea de los componentes dinámicos; por otro lado, los pronósticos en su mayoría son menos confiables que aquéllos generados por un proceso de caminata aleatoria o una modelación ARIMA.
En cuanto a la magnitud deseada de dicha elasticidad, es preferible que sea elástica (Mansfield, 1962, Fricke y Süssmuth, 2014). Implica que es generada, también, por una mejor administración fiscal (Leuthold y N'Guessan, 1986) y refleja que el sistema tributario o el k-ésimo concepto es progresivo (Timsina, 2007; Koester y Priesmeier, 2017); y que, siendo así, el sistema tributario es sostenible (Cossío, 2001; Caballero y Ávalos, 2017). Estos argumentos van en línea con la literatura macroeconómica, que sugiere que los incrementos de las recaudaciones tributarias sean más que proporcionales al crecimiento del ingreso agregado, dado que tomaría el papel de estabilizador automático. En momentos de expansión, las retiradas del flujo circular se incrementarían, provocando una reducción de las presiones inflacionarias causadas por el crecimiento de la demanda agregada. En momentos de decrecimiento, la recaudación disminuiría más que proporcionalmente al decrecimiento de la demanda agregada, lo cual retiraría las presiones fiscales y aliviaría la dinámica interna (Lipsey y Steiner, 1975; Sichel y Eckstein, 1974).
Al considerar un enfoque dinámico, pueden existir respuestas asimétricas en las relaciones de corto plazo; incluso la velocidad de ajuste puede diferir (Wolswijk, 2009; Bruce, Fox y Tuttle, 2006; Fricke y Süssmuth, 2014). Esto se da, por ejemplo, cuando existe una situación por debajo del equilibrio de largo plazo y los consumidores tienden a reducir su consumo de bienes de lujo (dado que contienen mayor peso impositivo) y aumentar la evasión tributaria. En cambio, cuando existe una situación por encima del equilibrio de largo plazo sucede lo contrario; se produce una reacción asimétrica en los ingresos tributarios a corto plazo en función a la posición del equilibrio de largo plazo. Vale añadir a lo descrito que el Estado puede implementar políticas fiscales contracíclicas, por ejemplo, ante una situación por debajo del equilibrio, incrementando el gasto público, las transferencias al sector privado y/o reduciendo (por políticas tributarias) las recaudaciones tributarias12.
Por último, si bien no menos importante, existe una controversia entre la elasticidad tributaria de corto plazo y la de largo plazo. La diferencia estadística de la primera respecto de la última se conoce como volatilidad, mientras que el grado de la última se define como crecimiento o potencial de crecimiento. Bruce, Foxy Tuttle (2006) afirman que la volatilidad es un fenómeno de corto plazo en el cual se refleja, por un lado, el comportamiento de los ingresos tributarios respecto a su equilibrio de largo plazo, y por otro, la magnitud de su fluctuación durante el corto plazo ante los distintos segmentos del ciclo económico. A esto se añade que un incremento en la elasticidad del sistema tributario no necesariamente se traduce en un incremento dela volatilidad. En contraste, Fricke y Süssmuth (2014), al estimarlas elasticidades tributarias en once economías latinoamericanas (incluyendo Bolivia), concluyen que la mitad de las economías muestran un corte claro en el intercambio de crecimiento por estabilidad (menor grado de volatilidad). Es decir, ingresos tributarios con un potencial de crecimiento alto (a largo plazo) muestran baja estabilidad en el corto plazo13.
3.3. Patrones de las elasticidades en la economía boliviana
Al considerar una elasticidad estática donde las variaciones porcentuales de la variable macroeconómica independiente solamente afecta contemporáneamente a los ingresos tributarios puede dar los primeros esbozos del grado de la elasticidad, así también como su volatilidad potencial durante el tiempo (Koester y Priesmeier, 2017). De acuerdo a la literatura pertinente, a esta forma de cálculo se la conoce como elasticidad determinística del ingreso tributario. Tomando las recaudaciones totales sin IDH14 (RT, véase nota 5), IT, IVA, IVAM y GA15 junto con sus variables macroeconómicas independientes, o PIB (para RT e IT), Consumo Doméstico Total o CT (para IVA) e Importaciones o M (para IVAM y GA), en la Figura 1 se muestra el patrón de las elasticidades determinísticas en Bolivia desde el segundo trimestre de 1990 hasta el segundo trimestre de 2018.
Una característica perceptible es el movimiento alrededor de una elasticidad unitaria; sin embargo, en todas las situaciones se presenta una alta volatilidad de la elasticidad determinística en el corto plazo; inclusive cambia de signo16 con mayor frecuencia. Por otro lado, no se observan tendencias en ningún caso. De acuerdo al análisis gráfico, el IVAM muestra un comportamiento relativamente volátil, pero con valores atípicos bastante amplios. Esto se debe, posiblemente, a la moderada frecuencia de los datos (trimestres), lo cual genera mayor variabilidad; pero aun así no dejan de ser significativas las evidencias gráficas de una presunta volatilidad elevada en las elasticidades tributarias de corto plazo.
De acuerdo a Bilquees (2004), Fricke y Süssmuth (2014), Havranek, Irsova y Schwarz (2015), y Koester y Priesmeier (2012), observar el patrón de las participaciones porcentuales de los impuestos que conforman la estructura tributaria permite obtener evidencias de cambios tributarios discrecionales. La Figura 2 refleja dicha información. El IVA y el IVAM muestran un comportamiento relativamente estable, pero con una leve pérdida de participación desde el año 2000, que puede ser resultado del comportamiento del resto de los impuestos, sumado a la creciente subida de los precios internacionales del barril de petróleo y gas. Situación similar se observa para el IT y el GA, que hasta 1999 tenían una participación por encima del 10%, y para el 2017 tienen una participación del 9% y 7%, respectivamente. En este caso, la Figura 2 no muestra un cambio fuertemente significativo en la composición del sistema tributario mediante un simple análisis gráfico.
4. Datos y metodología econométrica
4.1. Datos históricos
Las estimaciones realizadas en el presente documento están basadas en datos trimestrales desde el primer trimestre de 1990 hasta el segundo trimestre de 2018. El análisis se basará en los impuestos descritos en la Figura 2 (n=4, de acuerdo a la ecuación 1.), que en promedio tuvieron una participación (aunque declinante desde el año 2000) del 65% delas recaudaciones tributarias totales sin IDH. Existen dos componentes en la suma de las recaudaciones: efectivo y en valores. En el presente documento se trabajará solamente con las sumas en efectivo, dado que reflejan la disponibilidad inmediata de un activo líquido para las instituciones y órganos que componen el Gobierno central y sus niveles de gobierno, mientras que las recaudaciones en valores no constituyen un activo líquido de pronta disposición para éstos.
Por la escasa disponibilidad de datos (sumando la periodicidad requerida) y por el comportamiento de las variables, no se realizará el ajuste pertinente de los datos descrito en la sección 3.1. Solamente se incluirán variables dicotómicas para aquellos cambios tributarios discrecionales muy significativos17, preservando de esta manera los grados de libertad.
Las recaudaciones tributarias totales (sin IDH), los ingresos tributarios por concepto de IVA (mercado interno), IVAM, IT y GA fueron proveídos por el Servicio de Impuestos Nacionales de Bolivia (SIN). En cuanto a las variables macroeconómicas (PIB, Consumo de los hogares, Consumo del Gobierno e Importaciones) más los respectivos deflactores implícitos, fueron obtenidas por el Instituto Nacional de Estadística de Bolivia (INE). Otras variables empleadas, como el Índice de Precios al Consumidor (IPC) de Bolivia y el Tipo de Cambio Nominal (Bs./USD) pertenecen al Banco Central de Bolivia (BCB) y al INE; y finalmente, el IPC de Estados Unidos fue proveído por el Bureau of Labor Statistics de Estados Unidos.
Todas las variables fueron desestacionalizadas mediante ARIMA CENSUS X-1218, para evitar el uso de variables dicotómicas (ya que existen otras que son empleadas en las distintas regresiones), y la posibilidad de una fuerte autocorrelación entre los términos de perturbación estocástica. Previamente a esto, se deflactaron todas las series monetarias pertinentes respecto a 2007 (2007=100), para proveer a las estimaciones un enfoque de poder de adquisitivo de los recursos tributarios para su posterior uso en los distintos programas de gasto público. Por los motivos descritos previamente, en el presente documento se utilizarán indistintamente los conceptos de boyanza y elasticidad.
4.2. Metodología econométrica
En toda la literatura pertinente se coincide en realizar un modelo log-log, por su particularidad de que los coeficientes parciales de pendiente resultan ser elasticidades, tal como se ve en la parte final (a la derecha) de la ecuación (6). Con toda la evidencia y la discusión y revisión teórica, se realizará una regresión de dos partes para la estimación de las elasticidades, tanto a corto como a largo plazo (Havranek, Irsova y Schwarz, 2015; Koester y Priesmeier, 2017; Koester y Priesmeier, 2012; Caballero y Ávalos, 2017) especificando un modelo cointegrante de largo plazo del cual derivará a la especificación de un modelo de corto plazo que englobe las dinámicas del primero (MCE), es decir, que ajuste los desequilibrios de corto plazo para converger al equilibrio estable de acuerdo al modelo cointegrante de largo plazo, siguiendo la metodología de Engel y Granger (1987).
En esta dirección, resulta crucial identificar si las series presentan raíces unitarias (característica muy común en las series de tiempo), y si fuera así, se requiere emplear una transformación que pueda removerla (Gujarati y Porter, 2010). Bajo los fundamentos de una estacionariedad débil de las series de tiempo, se llevaron a cabo múltiples pruebas formales de raíz unitaria y de estacionariedad, presentadas en el Anexo 1. Dado que las variables pertinentes para la modelación son integradas de orden uno (en diferencias), la regresión de las variables en niveles (sin transformación) puede desembocar en el fenómeno de la regresión espuria o sin sentido. Por otro lado, de acuerdo con Brooks (2008), no se puede esperar una relación de largo plazo entre dos series yt y xt cuando son integradas de orden uno, dado que la definición de largo plazo en econometría implica que, si la variable converge en un valor de largo plazo, sus valores ya no van a cambiar, por lo tanto si:
![]()
entonces: yt-1= yt = yt+1 = y, por lo cual todo se cancelaría, a menos que exista una relación de largo plazo estable entre las variables. Es a raíz de este postulado que se inicia el siguiente paso de la metodología descrita para comprobar la existencia de un modelo cointegrante de largo plazo. En este caso, las pruebas formales presentadas en el Anexo 2 abren las puertas satisfactoriamente para proceder con la metodología al no rechazar la hipótesis de una posible relación cointegrante entre las distintas series. Para la especificación econométrica de largo plazo, se estimarán las elasticidades de largo plazo mediante el método de ecuación cointegrante de MCOD (Stock y Watson, 1993). El uso de este método es justificado, dado que el uso de MCO puede generar autocorrelación, problemas de normalidad en los residuales y problemas de endogeneidad (Bruce, Fox y Tuttle, 2006). La especificación DOLS se muestra a continuación:

En el cual η y ηk son las elasticidades de la recaudación tributaria total y de los ingresos tributarios por concepto k, respectivamente.
El diferencial de la regresora es el mecanismo por el cual el método DOLS corrige los problemas mencionados previamente, y el número de rezagos y adelantos está dado por j, donde su nivel estará en función al criterio de información Scharwz-Bayesian. Las "M" variables Xt son otras variables de impulso o dicotómicas para corregir los problemas de normalidad en los residuos. En todas las regresiones de largo plazo se emplearon errores estándar Newey-West (1987), dado que son robustos ante la autocorrelación y la heterocedasticidad (Bruce, Fox y Tuttle, 2006; Wolswijk, 2009; Koester y Priesmeier, 2012; Havranek, Irsova y Schwarz, 2015; Koester y Priesmeier, 2018; Fricke y Süssmuth, 2014). En el corto plazo, la relación entre las variables no necesita ser estable, lo cual puede generar desviaciones del equilibrio de largo plazo; por lo tanto, los ingresos tributarios (totales o por concepto) pueden posicionarse en situaciones por encima o por debajo del valor de equilibrio en cualquier periodo t.
![]()
donde R es la recaudación tributaria total o por concepto, ψt la variable macroeconómica cointegrante respectiva y R es el equilibrio de largo plazo. En el corto plazo, los ingresos tributarios pueden verse afectados por variaciones en los agregados macroeconómicos, y según la ecuación 10, también éstos se ajustan ante desequilibrios (desviaciones del equilibrio de largo plazo) si se incorpora ξt en la especificación del modelo. A esta especificación se la llama MCE, por lo tanto:

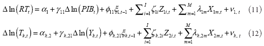
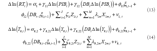
De acuerdo a lo descrito anteriormente, el MCE mide la reacción del ingreso tributario (total o por concepto) ante cambios en la variable macroeconómica pertinente mediante γk,21 el cual captura dicho efecto inmediatamente entre dos periodos (por cada impuesto k). Este último es una medida de la elasticidad de corto plazo. El parámetro Φk,21 mide la velocidad de ajuste de corto plazo (por cada impuesto k), es decir, la cantidad del desequilibrio de los ingresos tributarios que es removido por periodo (movimiento hacia su valor de convergencia de largo plazo)19. La misma interpretación se realiza para los coeficientes respectivos en la ecuación (11) para el ingreso agregado tributario (RTt). La variable Zt es un vector de otras variables de control, como rezagos de la variable independiente, rezagos de la dependiente, variación porcentual del IPC, entre otros. Sin embargo, en las ecuaciones (11) y (12) se asume que la respuesta de corto plazo, medida por γ11 y γk,21 respectivamente, son las mismas (simétricas), y lo mismo sucede con la velocidad de ajuste (parámetro de ajuste del MCE) Φ11 y Φk,21 respectivamente. En base a esto, las ecuaciones (11) y (12) reflejan implícitamente comportamientos simétricos, lo cual probablemente puede generar una incorrecta especificación de las dinámicas a corto plazo, en línea con la revisión de la literatura pertinente en las secciones 2 y 3.2. Estas ecuaciones pueden ser modificadas para que permitan la presencia de cualquier asimetría (Bruce, Fox y Tuttle, 2006; Wolswijk, 2009, Fricke y Süssmuth, 2014) tal como se refleja en las ecuaciones (13) y (14):

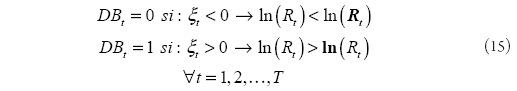
donde DBt es una variable dicotómica que fue incluida para identificar la magnitud de la elasticidad tributaria en torno a la posición de desequilibrio en que ésta se encuentre en el corto plazo. Esta variable esta especificada según la relación (15):

Por otro lado, esta variable dicotómica multiplica a la regresora (PIBt en la ecuación 13 y Yt para la 14) para capturar la existencia de una reacción (elasticidad) distinta cuando el nivel de ingresos tributarios relativo al PIBt o a Yt se encuentra por encima del equilibrio o por debajo del mismo, y de igual manera multiplica a los residuales de la ecuación de largo plazo para capturar la existencia de distintas formas de ajuste, dependiendo de la posición relativa al equilibrio. Por ejemplo, los ingresos tributarios respectivos se ajustarán hacia abajo en el futuro si los ingresos actuales están por encima del equilibrio de largo plazo (ξt mayor a cero). Para confirmar la existencia de asimetrías tanto en la respuesta y velocidad de ajuste en las especificaciones de corto plazo, se debe examinar la significancia estadística de los parámetros estimados. Analizar si γ12 y γk,22 (para las ecuaciones 13 y 14 respectivamente) son estadísticamente distintos de cero permite observar, a través de pruebas de restricciones lineales, si la respuesta es estadísticamente distinta de γ11 y γk,21 respectivamente. Si fuera así, entonces existe una respuesta (elasticidad) distinta cuando los ingresos tributarios se encuentran por debajo del equilibrio de largo plazo que cuando los mismos se encuentran por encima. Sin embargo, si estos primeros son significativos, pero no estadísticamente distintos de su contraparte, existe una débil asimetría. Por otro lado, y con la misma metodología, probar si los parámetros de ajuste Φ12 y Φ2k,22 son estadísticamente distintos permite observar la existencia de una asimetría en el ajuste de corto plazo en torno al equilibrio de largo plazo (Bruce, Fox y Tuttle, 2006). Vale mencionar que si Φ11 y Φ22 no son significativos, entonces no existe un ajuste en torno al equilibrio de largo plazo y, por definición, no es posible el uso de un MCE. Acorde a esto, se estimarán un total de diez modelos (cinco de largo plazo y cinco de corto plazo) considerando como variables endógenas las recaudaciones tributarias totales sin IDH (RT), que dependerá (según la ecuación 2) del PIB; el ingreso por concepto de IVAM, que dependerá del volumen de importaciones (M); el ingreso por concepto de IT, el cual dependerá de igual manera del PIB20; y el ingreso por concepto de GA (gravamen arancelario), que dependerá del volumen de importaciones y del tipo de cambio real (Bs./US$)21.
Finalmente, el ingreso por concepto de IVA. En el documento de Caballero y Ávalos (2017) se utiliza el Consumo de los Hogares como variable exógena; sin embargo, las compras o consumo por parte del Gobierno de igual manera se suma al ingreso tributario por concepto de IVA (Otálora, 2009). Por lo tanto, el ingreso por concepto de IVA (mercado interno) dependerá del Consumo Total Doméstico (la suma de ambos). En el Cuadro 3 están los resultados a priori, bajo las consideraciones detalladas previamente.
5. Resultados empíricos
De acuerdo a Koester y Priesmeier (2017), este enfoque dinámico permite observar tres dimensiones del sistema tributario: i) el grado de progresividad indicado por la elasticidad de largo plazo, ii) el grado de volatilidad medido como la diferencia entre la elasticidad de largo plazo y las elasticidades de corto plazo y iii) el patrón de ajuste. Además, con la especificación econométrica de las ecuaciones (13) y (14), una cuarta dimensión puede incluirse respecto al sistema tributario, el cual sería iv), la respuesta asimétrica (si concierne) relativa al equilibrio de largo plazo del sistema tributario a corto plazo.
Los resultados se presentan en el Cuadro 4, donde la elasticidad de largo plazo es positiva y mayor a uno en todos los casos, con excepción del GA. Para la estimación de largo plazo (MCOD con tres rezagos), la elasticidad del sistema tributario en conjunto es elástica y significativamente distinta de uno, por lo cual las evidencias indican que el sistema tributario boliviano es progresivo, es decir que, al aumentar el ingreso agregado en 1%, las recaudaciones tributarias totales se incrementarán en 1.61%, cumpliendo, de esta manera, con la definición de un estabilizador automático, pero esto ciertamente tomando en cuenta las modificaciones en el sistema tributario mediante cambios tributarios discrecionales. Sin embargo, al observarlos resultados de corto plazo, existen evidencias de una respuesta asimétrica en torno al equilibrio de largo plazo de las recaudaciones tributarias totales relativas al nivel del PIB. Cuando las recaudaciones se encuentran por debajo del equilibrio, la respuesta es elástica, negativa y estadísticamente distinta de la elasticidad a largo plazo y también distinta de su contraparte cuando las recaudaciones están por encima del equilibrio.
Por otro lado, la reacción de corto plazo cuando las recaudaciones están por encima del equilibrio es positiva, estadísticamente distinta de tres y distinta de la elasticidad de largo plazo. Los resultados aparentan ser contradictorios, dado que, según Wolswijk (2009), una elasticidad de corto plazo positiva indica un comportamiento procíclico de los ingresos tributarios, mientras que una elasticidad negativa, según Fricke y Süssmuth (2014) y Nichols y Tosun (2008), refleja un comportamiento contracíclico (estimaciones de este tipo también se observan en Bruce, Fox & Tuttle (2006).
Dicha elasticidad negativa es atribuida a los "collection lags" (Tanzi, 1978), ya que este carácter contracíclico solo prevalece en un tiempo contemporáneo, por lo cual el Servicio de Impuestos Nacionales está recaudando impuestos cuyas obligaciones tributarias se generaron meses (trimestres) atrás. Es decir que se está recaudando tributos que se generaron en tiempos de bonanza, cuando la economía actualmente (en el presente) refleja lo contrario. Sin embargo, se requiere mayor discusión para justificar dicho carácter contracíclico contemporáneo de algunas estimaciones.
Dentro de los cuatro impuestos analizados, el ingreso tributario por concepto de IVA presenta la elasticidad (como estimación puntual) con mayor potencial de crecimiento, siendo ésta, en el largo plazo, elástica y estadísticamente distinta a uno. En cuanto a los resultados de corto plazo, existe una asimetría significativa en la respuesta (elasticidad) de corto plazo respecto al equilibrio de largo plazo dado por el crecimiento cíclico del ingreso tributario por concepto de IVA al incrementarse las actividades de construcción, transporte y servicios en Bolivia (Gobierno de Bolivia, 2018). La presencia de dicha asimetría puede deberse al incremento del incumplimiento del IVA, que es la suma de la sub-declaración involuntaria (donde existe premeditación) y la evasión tributaria. Ciertamente, el incumplimiento del pago del IVA es sensible ante escenarios económicos negativos (situación por debajo del equilibrio) lo cual genera evasión tributaria (como fue el caso de la crisis financiera internacional de 2009), coincidiendo con lo que afirman Wolswijk (2009) y Havranek, Irsova y Schwarz (2015).
La elasticidad del IVAM a largo plazo es estadísticamente distinta a uno, por lo cual tiene una respuesta elástica ante las variaciones porcentuales de las importaciones. En el corto plazo, las recaudaciones por concepto de IVAM muestran ser simétricas. La elasticidad de corto plazo es estadísticamente menor a uno, por lo cual los ingresos tributarios reflejan una respuesta inelástica ante el nivel de importaciones, además, dicha respuesta es estadísticamente distinta a la elasticidad de largo plazo, lo cual da cabida a un grado de volatilidad a corto plazo.
Dada la sensibilidad simétrica (en torno al equilibrio) en el corto plazo, esta volatilidad muestra que los ingresos tributarios por concepto de IVA (importaciones) varían en menor proporción ante los cambios relativos de las importaciones, y que dichos efectos repercuten hasta dos trimestres en el futuro, pero con menor grado de respuesta.
Intuitivamente, se esperaría que, por su efecto cascada, la elasticidad del ingreso tributario por concepto de IT respecto al PIB sea elástica, ya que incide en cada nivel del proceso productivo hasta el consumo. Esto con una elasticidad de largo plazo de 1.13 y estadísticamente distinta de uno. Por otro lado, el comportamiento a corto plazo resulta bastante interesante, con asimetrías marcadas. La elasticidad contemporánea de IT, situada por debajo del equilibrio, es estadísticamente igual a cero, por lo cual no existe una respuesta significativa de los ingresos tributarios por IT cuando contemporáneamente crece o decrece el PIB, pero sí existe una reacción unitaria (el parámetro no es estadísticamente distinto de uno). Por otro lado, el parámetro no es estadísticamente distinto de la elasticidad de largo plazo, sólo será distinto cuando los ingresos tributarios por concepto de IT se encuentran por encima del equilibrio relativo respecto al PIB (al 5% de significancia). En cuanto al último, la elasticidad por encima del equilibrio es elástica y estadísticamente distinta de uno y de la elasticidad de largo plazo.
El GA muestra una elasticidad de largo plazo inelástica y estadísticamente distinta de uno. Este resultado refleja que el GA tiene una estructura regresiva respecto a las importaciones, lo cual muestra cierto grado de proteccionismo mercantil a la industria boliviana, pero de menor grado de desarrollo. Ciertamente, el GA se incrementa en menor proporción cuando las importaciones crecen. Esto se debe a que las mercancías importadas con mayor valor agregado (industriales) son gravados en menor porcentaje que aquellas mercancías que la industria boliviana puede producir (como textiles y otros productos de menor valor agregado). Otra variable necesaria para que la cointegración (relación de largo plazo) sea estable es el tipo de cambio real de bolivianos por dólares estadounidenses.
Esta elasticidad ingreso tributario-tipo de cambio es del orden del -0.66, y es estadísticamente distinta de uno. Esto refleja la importancia en cuestiones de ingresos arancelarios del nivel de las importaciones y el tipo de cambio real. En ambos casos son elasticidades inelásticas, pero para el tipo de cambio es negativa, lo cual refleja que si dicha variable disminuye en 1 % (esto es, apreciación de la moneda boliviana respecto al dólar estadounidense), el ingreso tributario por concepto de GA se incrementará en 0.66%. Evidentemente, el tipo de cambio fue anclado desde finales de 2011 (de acuerdo al BCB, recién en el cuarto trimestre del 2011 el tipo de cambio no ha variado); sin embargo, al considerar el nivel de precios de Estados Unidos relativo al boliviano, es palpable que existe la ventaja (tipo de cambio real apreciado) de comprar barato (importar) y vender caro.
En cuanto al corto plazo, los efectos del tipo de cambio real no son significativos para explicar las variaciones de los ingresos tributarios por concepto de GA, cuando éstos están por debajo del equilibrio de largo plazo, mientras que sí existe una respuesta cuando los mismos están por encima del equilibrio de largo plazo (elasticidad de -1.84 al 5% de significancia estadística). Respecto a este último, el nivel de precios externos relativo a los internos, conjuntamente con el tipo de cambio nominal vigente, juega un papel en la determinación de los ingresos tributarios por concepto de GA, con una elasticidad negativa que no es estadísticamente distinta de uno en valor absoluto (la probabilidad χ2 de que lo sea es del 27%), es decir unitaria; muestra que el tipo de cambio es relevante para los agentes económicos al momento de realizar sus importaciones (y por ende, incrementar las recaudaciones por concepto de GA) cuando los ingresos tributarios están por encima del equilibrio relativo a las importaciones; además, dicha elasticidad no es estadísticamente distinta de la elasticidad de largo plazo (la probabilidad χ2 es del 12%), por lo cual no hay evidencias de una pronunciada volatilidad a corto plazo. En cambio, cuando los ingresos están por debajo del equilibrio, el tipo de cambio real no ejerce efectos sobre la recaudación del GA. Las elasticidades de corto plazo respecto al nivel de importaciones muestran una asimetría débil, dado que ambas (por debajo y por encima del equilibrio) son estadísticamente iguales22, y no son estadísticamente distintas de la elasticidad de largo plazo; por ende, no existen evidencias concretas de una volatilidad a corto plazo. Por otro lado, ambas elasticidades son procíclicas respecto a las importaciones, pero con poco potencial de crecimiento (elasticidades inelásticas tanto a corto como a largo plazo).
Al elaborar otros análisis pertinentes a los resultados de corto plazo, se halló una relación significativa entre el ingreso tributario por concepto de IVA (mercado interno) y la tasa de inflación de Bolivia (elasticidad de 1.23 al 5% de significancia estadística). En cuanto al primero, si la inflación boliviana crece en 1%, los ingresos tributarios reales crecerán aproximadamente en 1.27%. La explicación respecto a la relación de los ingresos con la tasa de inflación de Estados Unidos es más intuitiva, dado por 1% de inflación en dicha economía se traduce en un decrecimiento del 4% de los ingresos tributarios por concepto de IVAM, lo cual se traduce en menores incentivos de importación cuando los precios externos son relativamente más elevados que los internos. Para finalizar con la presente sección, todas las estimaciones realizadas (véase Cuadro 5) no muestran problemas de normalidad en los residuos, autocorrelación, heterocedasticidad o heterocedasticidad autoregresiva condicionada (GARCH). Por otra parte, tampoco existen problemas de multicolinealidad entre las regresoras, y las pruebas de estabilidad son favorecedoras al 5% de significancia estadística23.
6. Conclusiones y reflexiones finales
Con base en modelos de corrección, que permiten respuestas asimétricas, derivados de relaciones estables entre las variables pertinentes en el largo plazo, se encontraron evidencias empíricas respecto a la progresividad del sistema tributario boliviano y de sus componentes analizados en el presente documento; el sistema tributario (sin IDH) es progresivo, al igual que los ingresos tributarios por concepto de IVA (mercado interno), IVA (importaciones) e IT; mientras que el GA muestra una composición regresiva respecto a las variaciones en las importaciones (véanse los cuadros resúmenes presentados en el Anexo 3). A excepción del ingreso tributario por concepto de IVA (importaciones), las demás estimaciones reflejan una asimetría pronunciada respecto al grado (elasticidad) de respuesta en el corto plazo de las variables tributarias en torno a la posición de desequilibrio relativo al equilibrio de largo plazo. Sin embargo, el desequilibrio corregido en el corto plazo es simétrico en todos los casos y para las recaudaciones tributarias totales; dicho error se corrige en aproximadamente un trimestre. Respecto a la volatilidad en el corto plazo, dependerá de la posición relativa al equilibrio. Cuando los ingresos están por debajo del equilibrio, la volatilidad no es estadísticamente significativa para los ingresos por concepto de IT, mientras que el impuesto más volátil (en esta situación) es el IVA. Por otro lado, cuando los ingresos están por encima del equilibrio, son los ingresos por concepto de IT los que presentan mayor volatilidad, mientras que GA es el único ingreso tributario que no presenta una volatilidad estadísticamente significativa. En conjunto, las recaudaciones tributarias totales (sin IDH) presentan una volatilidad significativa en el corto plazo.
Por un lado, estos resultados pueden justificar el intercambio entre potencial de crecimiento (elasticidad de largo plazo) y estabilidad (menor volatilidad a corto plazo) que proponen Fricke y Süssmuth (2014), dado que el IVA (mercado interno) tiene mayor potencial de crecimiento pero una mayor volatilidad a corto plazo, mientras que el arancel aduanero muestra menor potencial pero mayor estabilidad a corto plazo (asimetría débil y solamente la elasticidad por debajo del equilibrio es estadísticamente distinta de la elasticidad de largo plazo). Sin embargo, no pueden realizarse inferencias que sustenten dicha hipótesis.
Por lo tanto, el presente documento pudo responder a las siguientes preguntas de investigación: ¿cuál es la elasticidad de sistema tributario y de cada uno de sus componentes, y cuáles de éstos muestran mayor volatilidad a corto plazo?; ¿existen evidencias de posibles asimetrías en el corto plazo? Efectivamente, en cuanto al ingreso tributario total, la hipótesis establecida se mantuvo: A largo plazo, la elasticidad del ingreso tributario total es elástica, y a corto plazo presenta una volatilidad significativa y asimétrica con respecto a su valor de equilibrio.
Si se considera la pronunciada volatilidad de los ingresos tributarios totales en el corto plazo y una clara existencia de respuestas asimétricas de los ingresos agregados en el corto plazo en torno a la posición relativa al equilibrio de largo plazo, se dificultan los pronósticos de los ingresos tributarios para temas presupuestarios; y en los pronósticos de déficits públicos, dado que considerar elasticidades estáticas puede causar pronósticos optimistas cuando los ingresos están por debajo del equilibrio y pronósticos pesimistas cuando los mismos están por encima del mismo. Una característica favorecedora de los ingresos tributarios totales es de ser un estabilizador automático por la misma progresividad intrínseca (considerando los cambios tributarios discrecionales) y a corto plazo, por elasticidades procíclicas (cuando los ingresos están por encima del equilibrio y después de un trimestre cuando los ingresos están por debajo del equilibrio).
Finalmente, los resultados del presente documento difieren de algunas estimaciones de otros documentos de investigación pertinentes. Respecto a la elasticidad de largo plazo para el ingreso tributario por concepto de IVA (importaciones), Fricke y Süssmuth (2014) obtienen una elasticidad de 3.11, lo cual es relativamente alto a la estimación presentada en el Cuadro 4; de igual manera, estiman una elasticidad a corto plazo de 0.90, la cual es simétrica respecto a la posición relativa del desequilibrio. En cuanto a lo último, las evidencias coinciden en una respuesta simétrica en el corto plazo. Esta estimación relativamente alta puede ser resultado del tamaño de la muestra, dado que alrededor del 2009-2010 (periodo que no se incluye en las estimaciones de Fricke y Süssmuth) se implementaron cambios tributarios discrecionales para encarar la crisis financiera internacional, como la prohibición de importación de vehículos antiguos, la reducción de la carga tributaria para insumos y maquinaria agrícola importada y la reducción tributaria de algunos productos de la canasta familiar para garantizar el abastecimiento interno (Gobierno de Bolivia, 2018). Estos cambios discrecionales causaron un mayor gasto tributario, reduciendo el ingreso tributario por concepto de IVA (importaciones) y también del GA. Por otro lado, las estimaciones respecto al IVA (mercado interno) tanto a largo como a corto plazo resultan ser parecidas. Existe mayor controversia con los resultados de Caballero y Ávalos (2017), para quienes las elasticidades de largo plazo son mayormente similares (con excepción al GA), pero difieren en gran medida en las elasticidades de corto plazo (con excepción del GA y el IVA para las importaciones). Esto se debe, a corto plazo, principalmente a la simetría que se asume, mientras que la especificación econométrica utilizada en el presente documento da lugar a asimetrías. Un ejemplo en el que las elasticidades a corto plazo son similares es el ingreso tributario por concepto de IVA (importaciones), caso en el cual las evidencias apuntan a una respuesta simétrica de acuerdo a los resultados del Cuadro 4 y que no se alejan de la elasticidad estimada por Caballero y Ávalos. Añadiendo a lo anterior, la recaudación por parte de GA muestra una asimetría débil en el corto plazo, por lo cual las estimaciones no difieren mucho con las de Caballero y Ávalos. Por lo tanto, donde no existen asimetrías en el corto plazo o cuando estas son débiles, las estimaciones son similares. Por otra parte, vale mencionar que el tratamiento de los datos difiere.
Tópicos como la fundamentación teórica y empírica de elasticidades de corto plazo contracíclicas (cuando los ingresos están por debajo del equilibrio de largo plazo) quedan "en el tintero", dado que su explicación está fuera del alcance del presente documento (sin embargo, vale mencionar que dicho comportamiento contracíclico solamente es contemporáneo); y resultan relativamente importantes para analizar la efectividad de las políticas tributarias si éstas son utilizadas como herramienta de política fiscal (en este caso, los resultados empíricos de corto plazo debieran ser todos procíclicos) o como fuente de financiamiento de programas de gasto público.
Notas
* Estudiante de Economía, Universidad Autónoma Gabriel René Moreno (UAGRM). Contacto: moisesmanjon@gmail.com
1 Un análisis de este último factor resultaría de gran interés respecto al impacto en las recaudaciones tributarias (y, por ende, en las elasticidades de ingresos tributarios) causado por la distribución del ingreso. Este tema se encuentra fuera del alcance del presente documento.
2 Vale añadir la posibilidad alternativa de financiación mediante deuda externa. Esto, sin embargo, genera un costo social alto si tiende a incrementarse a lo largo del tiempo (insostenible) y no se considera una fuente de ingresos corrientes.
3 Algunos documentos sobre el tema son los de Cossío Muñoz (2001) y Caballero y Ávalos (2017). Otro documento que incluye estimaciones es el de Banegas y Gonzáles (2015).
4 La revisión de la literatura pertinente se realizará con mayor detalle en la siguiente sección.
5 Un ejemplo en la realidad boliviana son las reformas tributarias de 1986 (ley N° 843), 1994 (ley N° 1606) y la creación del Impuesto Directo a los Hidrocarburos (IDH), en 2005, mediante la ley N° 3058.
6 Una estimación sin realizar este ajuste se conoce en la literatura como boyanza.
7 Véase nota 6.
8 (T) denota trimestre.
9 Para el autor, la principal barrera.
10 Una aplicación puede verse en Bilquees (2004).
11 La descomposición de las elasticidades dadas en la ecuación (5) en Ingreso-Base y Base-Agregado es realizada porque la base imponible se encuentra dentro de las variables operativas del Estado (Mansfield, 1972,Timsina, 2007 y Mukarram, 2001).
12 Como ya se mencionó, eventualmente esta medida no es necesaria si la elasticidad tributaria es elástica, asumiendo de esta manera la característica de estabilizador automático. Sin embargo, los cambios tributarios discrecionales pueden afectar el grado de respuesta de las recaudaciones tributarias.
13 La economía boliviana se encuentra entre las economías que exhiben este intercambio de crecimiento por estabilidad.
14 Se excluyó al IDH, dado que es considerado (de acuerdo a la literatura) como un cambio tributario discrecional. Por otro lado, el peso del mismo es muy significativo, pero está sujeto a otro vector de variables exógenas que no son incluidas en el presente documento.
15 IT: Impuesto a las Transacciones; IVA: Impuesto al Valor Agregado en mercado interno; IVAM: Impuesto al Valor Agregado en importaciones; GA: Gravamen Arancelario; Producto Interno Bruto
16 De igual manera, los valores atípicos que afectan a la escala de las gráficas de cada serie (presentados en la esquina superior derecha) muestran mayor participación de elasticidades negativas.
17 No de manera estricta, según Singer (1968). De acuerdo al Ministerio de Economía y Finanzas Públicas (Gobierno de Bolivia, 2018) alrededor de 75 modificaciones en el año 2016 se realizaron como gasto tributario.
18 Es por esta razón que, en su documento, Havranek, Irsova y Schwarz (2015) realizan distintos modelos para observar si efectivamente el ajuste estacional mejora las estimaciones. Por otro lado, documentos como el de Caballero y Ávalos (2017) realizan estimaciones empleando variables dicotómicas por trimestre relevante.
19 Ciertamente, el residual ξt en las ecuaciones (11) y (12) está con un rezago, dado que no es posible "ajustar" el desequilibrio de forma contemporánea.
20 Por su característica de ser un impuesto cascada, la variable macroeconómica más adecuada debiera ser el Valor Bruto de la Producción, que considera el valor de los productos intermedios; sin embargo, el rango histórico y la periodicidad requerida (trimestral) de dicha variable son muy limitadas, dado que su uso implicaría el no cumplimiento del Teorema de Límite Central.
21 En cuanto al Tipo de Cambio Real,se halló una relación estable de largo plazo con el gravamen arancelario.
22 Pero individualmente distintas.
23 El lector puede consultar al autor respecto a estas últimas pruebas.
Fecha de recepción: 11 de enero de 2019
Fecha de aceptación: 28 de marzo de 2019
Manejado por IISEC
Referencias
1. Banegas, Roger A. y Gonzáles Vergara, Reyna (2015). “Institutional Changes and Cyclical Transition in the Fiscal Stance for Bolivia (2003-2011). Revista Latinoamericana de Desarrollo Económico, LAJED, (23), 67-95.
2. Bilquees, Faiz (2004). “Elasticity and Buoyancy of the Tax System in Pakistan”. The Pakistan Development Review, 43(1), 73-93.
3. Brooks, Chris (2008). Introductory Econometrics for Finance. Cambridge University Press, New York. [ Links ]
4. Bruce, Donald,; Fox, William F. y Tuttle, M. H. (2006). “Tax Base Elasticities: A Multi State Analysis of Long-Run and Short-Run Dynamics”. Southern Economic Association, Southern Economic Journal, 73(2), 315-341.
5. Caballero Martínez, Rolando y Ávalos Arciénega, Ruth Alejandra. (2017). “Elasticidades tributarias de corto y largo plazo en Bolivia, 1990- 2016”. Instituto de Investigaciones Económicas y Sociales ‘José Ortiz Mercado’ (IIES-JOM), Facultad de Ciencias Económicas, Administrativas y Financieras, Universidad Autónoma Gabriel René Moreno Economía coyuntural. Revista de temas de coyuntura y perspectivas, 2(2), 31-103.
6. Cerezo, Sergio M. y Ticona, Ulises A. (2017). “Bolivianización, demanda de dinero y señoreaje en Bolivia: evidencia empírica y una propuesta teórica”. Revista Latinoamericana de Desarrollo Económico, LAJED (27), 7-37.
7. Choudhry, Nurun N. (1979). “Measuring the Elasticity of Tax Revenue: A Divisia Index Approach”. IMF Staff Papers Palgrave Macmillan, 26(1), 87-122.
8. Cossío Muñoz Reyes, Fernando (2001). El sistema tributario y sus implicaciones en la reducción de la pobreza. Instituto de Investigaciones Socio Económicas (IISEC), Universidad Católica Boliviana, Documento de Trabajo Nº 7/01, La Paz.
9. Creedy, John y Gemmell, Norman (2004). "The Income Elasticity of Tax Revenue: Estimates for Income and Consumtion Taxes in the United Kingdom". Institute for Fiscal Studies 25(1), 55–77.
10. Engle, Robert F. y Granger, C. W. J. (1987). “Co-Integration and Error Correction: Representation, Estimation, and Testing”. The Econometric Society. Econometrica, 55(2), 251-276.
11. Fernández, Carlos C.; Chavarría, Marco. O. y Rodríguez, David C. (2011). “Ingresos fiscales y elasticidades tributarias: estimación de las elasticidades tributarias de corto y largo plazo para los principales impuestos”. Economía y Sociedad, 16(39-40), 47-61. Disponible en: http://www.revistas.una.ac.cr/economia.
12. Fricke, Hans y Süssmuth, Bernd (2014). “Growth and Volatility of Tax Revenues in Latin America”. World Development, 54(C) 114-138.
13. Gobierno de Bolivia. Ministerio de Economía y Finanzas Públicas (2018). “Ingresos y gastos tributarios”. Boletín Económico, 4(8).
14. Gujarati, Damodar N. y Porter, Dawn C. (2010). Econometría. México: Mc Graw Hill. 5ta edición.
15. Havranek, Tomas; Irsova, Zuzana y Schwarz, Jiri (2015). “Dynamic Elasticities of Tax Revenue: Evidence from the Czech Republic”. Working Papers IES 2015/23, Charles University Prague, Faculty of Social Sciences, Institute of Economic Studies.
16. Hulten, Charles R. (1973). “Divisia Index Numbers. The Econometric Society”. Econometrica, 41(6),1017-1025.
17. Koester, Gerrit B. y Priesmeier, Christoph (2012). “Estimating Dynamic Tax Revenue Elasticities for Germany”. Deutsche Bundesbank, Wilhelm-Epstein-Straße 14, 60431 Frankfurt am Main. Deutsche Bundesbank – Eurosystem. Discussion Paper (November, 23/2012).
18. ---------- (2017). Revenue elasticities in euro area countries: An analysis of long-run and shortrun dynamics. European Central Bank, ECB, Working Paper Nº 1989 (January 2017).
19. Leuthold, Jane H. y N’ Guessan, Tchetche (1986). “Tax Buoyancy vs. Elasticity in a Developing Economy”. College of Commerce and Business Administration, Bureau Economic and Business Research University of Illinois, Urbana-Champaign, Bookstacks. BEBR Faculty, Working Paper Nº 1272.
20. Lipsey, Richard G. y Steiner, Peter O. (1975). Economics. Harper & Row Publishers, 4t Edition.
21. Mansfield, Charles Y. (1972). “Elasticity and Buoyancy of a Tax System: A Method Applied to Paraguay”. IMF Staff Papers Palgrave Macmillan, 19(2), 425-446.
22. Otálora Uriquizu, Carlos (2009). Economía fiscal. La Paz: Plural.
23. Mukarram, Fauzia (2001). “Elasticity and Buoyancy of Major Taxes in Pakistan”. Department of Economics, University of the Punjab. Pakistan Economic and Social Review, 39(1), 75-86.
24. Newey, Whitney K. y West, Kenneth D. (1987). “A Simple, Positive Semi-Definite, Heteroskedasticity and Autocorrelation Consistent Covariance Matrix”. The Econometric Society. Econometrica, 55(3), 703-708.
25. Nichols, Mark W. y Tosun, Mehmet Serkan (2008). “The Income Elasticity of Gross Casino Revenues: Short-Run and Long-Run Estimates”. National Tax Association. National Tax Journal, 61(4), Part 1, 635-652.
26. Prest, A. R. (1962). “The Sensitivity of the Yield of Personal Income Tax in The United Kingdom. Wiley on behalf of the Royal Economic Society”. The Economic Journal, 72(287), 576-596.
27. Ritter, Lawrence S. y Silber, William L. (1974). Principles of Money, Banking, and Financial Markets. Basic Books, Inc., New York, 1st Edition.
28. Sichel, Werner y Eckstein, Peter (1974). Basic Economic Concepts. Rand McNally College Publishing Company, Chicago, 1st Edition.
29. Singer, Neil M. (1968). “The Use of Dummy Variables in Estimation the Income Elasticity of State Income-Tax Revenues”. National Tax Association. National Tax Journal, 21(2), 200-204.
30. Stock, James H. y Watson, Mark W. (1993). “A Simple Estimator of Cointegrating Vectors in Higher Order Integrated Systems”. The Econometric Society. Econometrica, 61(4), 783-820.
31. Tanzi, Vito (1978). “Inflation, Real Tax Revenue, and the Case for Inflationary Finance: Theory with an Application to Argentina”. IMF Staff Papers Palgrave Macmillan, 25(3), 417-451.
32. Timsina, Neelam (2007). “Tax Elasticity and Buoyancy in Nepal: A Revisit”. NRB Economic Review, vol. 19, 9-21.
33. Wolswijk, Guido. (2009). The short- and long-run tax revenue response to changes in tax bases. European Central Bank, Economics Bulletin, (29)3, 1960-1970 (August 17).























