Servicios Personalizados
Revista
Articulo
Indicadores
-
Citado por SciELO -
Accesos
Links relacionados
-
Similares en
SciELO
Compartir
Revista Latinoamericana de Desarrollo Económico
versión On-line ISSN 2074-4706
rlde no.28 La Paz nov. 2017
Demostración de equilibrio competitivo con short-sale hipotecario
Demostration of a Competitive Equilibrium with Mortage short-sale
Sergio Daga*
Resumen
Analizamos una economía con mercados financieros incompletos donde existen activos reales sujetos a riesgo de crédito y activos nominales libres de default. Permitimos la inclusión de penalidades extra-económicas en la función de utilidad modelando "short-sales" de garantías hipotecarias. Mostramos, bajo hipótesis usuales en preferencias y asignaciones iniciales, que siempre existe un equilibrio competitivo en nuestra economía.
Palabras clave: Mercados financieros incompletos, garantías colaterales, equilibrio competitivo.
Abstract
We analyze an economy with incomplete financial markets where there are real assets subject to credit risk and nominal assets free of default. We allow the inclusion of extra-economic penalties in the utility function modeling "short-sales" of mortgage guarantees. We show, under usual hypotheses in preferences and initial assignments, that there is always a competitive equilibrium in our economy.
Keywords: Incomplete financial markets, Colateral guarantees, Competitive equilibrium.
Clasificación/Classification JEL: D52; D53, D81.
1. Introducción
En este documento se estudia la existencia de equilibrio en una economía en la cual el endeudamiento está garantizado por colaterales físicos. Adicionalmente, se permite la negociación de activos libres de riesgo crediticio. En caso de no pago de las promesas, permitimos la inclusión de penalidades extra-económicas en la función de utilidad de cada agente. Dicha penalidad es una función creciente del monto de deuda remanente luego de la decisión estratégica de entrar en ejecución hipotecaria si y solamente si este monto sobrepasa un umbral preestablecido por el inversionista como aceptable. Este procedimiento se conoce en los mercados financieros como "short-sale" de la propiedad inmueble.
Geanakoplos (1996, 2003) y Geanakoplos y Zame (2007) proveen un modelo de equilibrio general donde las promesas realizadas por los agentes están garantizadas por requerimientos de bienes físicos, de tal forma de proteger a los inversionistas del exceso de riesgo crediticio. En los mercados secuenciales, los deudores pueden, de forma estratégica, no pagar la deuda. Por lo tanto, los prestamistas esperan siempre recibir el mínimo entre el valor de mercado de la promesa original y el valor depreciado de la garantía física. En este contexto, y bajo los supuestos usuales sobre dotaciones iniciales y utilidades, el equilibrio siempre existe. Si alguna promesa no está garantizada, los agentes anticiparán de manera correcta que el activo no entregará nada y su precio de equilibrio será cero; luego, la economía funcionaría como si el activo no estuviera disponible. Para activos con garantías físicas distintas de cero, los agentes no podrán vender arbitrariamente cantidades enormes de ellos porque no tendrían capacidad de obtener la garantía requerida. Este es el factor que limita el endeudamiento y ayuda a garantizar la existencia de equilibrio, endogenizando los límites de Radner a las ventas al descubierto.
Por otro lado, Dubey, Geanakoplos y Shubik (2005) muestran que permitiendo riesgo crediticio, existe equilibrio en un ambiente con penalidades extra-económicas proporcionales al monto de recursos no pagados y donde los activos son no colateralizados. El equilibrio en este caso es refinado, en el sentido que, para evitar el exceso de pesimismo por parte de los inversionistas acerca de los retornos endógenos, los autores introducen un agente, que puede ser el gobierno, que vende unidades de cada activo y otorga pagos seguros. El equilibrio refinado se obtiene cuando las unidades vendidas por este nuevo agente tienden a cero.
De igual manera, la complejidad de la titulación de los activos ha llevado a desarrollar una tecnología financiera llamada "tranching" que significa que la misma garantía física avala muchos otros activos para diferentes prestamistas. Steinert y Torres-Martínez (2007) permiten, en un modelo de equilibrio general, la presencia de mercados de titulación de las promesas donde hay emisión de diferentes activos derivados. Los autores demuestran equilibrio en dicho ambiente y además analizan el rol de los requerimientos de garantías físicas para evitar el exceso de pesimismo de los inversionistas acerca de las tasas esperadas de retorno. Por su parte, Poblete y Torres-Martínez (2010) demuestran equilibrio en un ambiente en el que los contratos de deuda están colateralizados por bienes físicos, y existe, además, embargo de la riqueza de los agentes en caso de que alguna promesa no sea totalmente honrada. Las reglas del embargo permiten que existan excepciones proporcionales al monto adeudado o excepciones que protejan a los individuos morosos considerados pobres.
En este trabajo modelamos una economía con dos periodos, en la cual existe incertidumbre acerca del estado de la naturaleza en el segundo periodo. Un número finito de agentes negocian dos tipos de activos financieros. Los activos del primer tipo se encuentran sujetos al riesgo crediticio; son garantizados por requisitos físicos de colateral y tienen promesas asociadas en términos reales. El otro tipo de activos son instrumentos libres de riesgo que otorgan retornos nominales. Las preferencias por consumo de los agentes están descritas por funciones de utilidad continuas estrictamente cóncavas y crecientes.
Por unidad de activo sujeto a riesgo crediticio que se negocia en el mercado, cada agente deberá constituir una garantía física, que es retenida y usada por el deudor1. En caso de no pago, al deudor se le incauta el requisito de colateral físico, y adicionalmente los individuos pueden sufrir penalidades extra-económicas en sus funciones de utilidad, que, en nuestro caso, permiten la existencia del procedimiento usual en hipotecas, llamado "short-sale" de la propiedad inmueble. Dicha penalidad puede diferir entre agentes, estados de la naturaleza y activos colateralizados.
Para demostrar equilibrio en nuestra economía, planteamos un juego generalizado y probamos la existencia de un equilibrio de Nash utilizando el "Teorema de existencia de equilibrio en un juego social". Finalmente, probamos que el equilibrio en el juego generalizado es un equilibrio de nuestra economía original. Utilizamos el hecho de que el endeudamiento en activos con retornos reales en nuestro modelo siempre está acotado debido a la escasez de los bienes que son usados como requerimientos de colaterales físicos. Por su parte, el portafolio de los activos libres de riesgo estará acotado siempre que se cumpla un requerimiento muy usual: que las preferencias de los agentes sean monótonas.
El resto del documento se organiza de la siguiente manera: en la Sección 2 se presenta el modelo, en la Sección 3 definimos el equilibrio de nuestra economía. En la Sección 4 planteamos la existencia de equilibrio y analizamos los supuestos utilizados para la demostración del mismo. En la Sección 5 se concluye el documento y se plantean guías de extensión sobre esta misma línea de investigación. Finalmente, en el Apéndice se realiza la demostración de equilibrio.
2. Modelo
Incertidumbre: Consideramos un modelo con dos periodos (t = 0,1), donde los agentes conocen el presente pero tienen incertidumbre acerca del estado de la naturaleza futuro. En t = 0 existe sólo un estado de la naturaleza, el cual denotamos por s = 0. En t = 1, la naturaleza se revela entre un conjunto finito S de posibilidades s
S . Por conveniencia de notación, definimos S*= {0}
S .
Mercado de bienes: En cada estado s
S existe un conjunto finito L ≥ 1 de bienes durables, los cuales son perfectamente divisibles. Los bienes, al ser durables, pueden sufrir depreciación contingente al estado de la naturaleza; dicha estructura es fija y está dada por una familia de matrices Ys de L x L para todo s
S, donde el elemento (Ys)l,l' denota la cantidad del bien l que se obtiene en s
S si una unidad del bien l' es consumida en t = 0. Sea p = p(ps,l;(s,l)
S x L)
![]()
el vector de precios de los bienes, donde ps,l es el precio del bien l
L en el estado s
S, luego ps = (ps,l; l
L)
![]()
es el vector de precios de los bienes para el estado s
S.
Agentes: Existe un conjunto finito de agentes H, que reciben dotaciones iniciales (en cada periodo y contingente a cada estado de la naturaleza) y demandan bienes de consumo. Para cada agente h
H el proceso de dotaciones iniciales es denotado por
Así, el vector de dotaciones iniciales del agente h
H en cada estado s
S* es
. Definimos
para todo s
S*. El vector de consumo de bienes no colateralizados del agente h
H en el estado s
S* es denotado por
. Luego, el proceso de consumo de bienes durables libre de garantías físicas es ![]()
La función de utilidad que representa las preferencias por consumo del agente h
H la denotamos por Uh : X →
+.
Mercado financiero: Consideramos una estructura financiera en la que el agente h
H puede negociar activos con retornos reales y nominales. Asumimos que solamente los activos con retornos reales están sujetos al riesgo crediticio, y por ende garantizados por requerimientos de garantías físicas, mientras que los activos con retornos nominales son libres de riesgo.
Definimos K como el conjunto finito de activos libres de riesgo disponibles en t = 0. Cada activo k
K puede ser vendido a un precio
k
+ y entrega retornos contingentes dados por el vector
Así, la matriz de pagos para este tipo de activos se define como
donde N es de rango completo. Asimismo, denotamos por
el portafolio de activos libres de riesgo que escoge óptimamente el agente h
H en t = 0.
Denotamos por J el conjunto finito de activos sujetos a riesgo crediticio. Cada activo j
J puede ser vendido en t = 0 a un precio qj
+. Cuando un agente h
H emite una unidad de un contrato de deuda j
J, recibe una cantidad de recursos qj y constituye una garantía física Cj
![]()
\{0}, que es dada de manera exógena. La promesa real de pago contingente al estado de la naturaleza s
S asociado a una unidad de un contrato de deuda j
J está dada por un vector As,j
![]()
.
A diferencia de Steinert y Torres-Martínez (2007), en nuestro modelo cada contrato de deuda j
J esta titulizado en solamente un activo. Asumimos que el precio unitario de aquel activo j (asociado al contrato de deuda j), es también qj2. Por ende, tratamos el conjunto de contratos de deuda y la colección de activos con la misma notación. Definimos
como el vector de inversiones del agente h, y análogamente,
representa el vector de contratos de deuda. Particularmente, el plan de consumo total del agente h en el primer periodo está dado por ![]()
Asumimos que en caso de no pago de los contratos de deuda j
J, los agentes no solo son castigados con la incautación de la garantía física, sino también con penalidades a la utilidad. Sin embargo, las penalidades sobre las utilidades en caso de default son efectivas solamente en exceso de un nivel preestablecido de pérdida. Así, en nuestro modelo buscamos capturar el procedimiento usual de los mercados hipotecarios llamado "short-sale" de propiedades inmuebles. Esto es, la venta de un bien inmueble ya depreciado que fue usado como garantía de endeudamiento, incluso cuando el producto de la venta no cubre el préstamo original. Esto se produce a menudo cuando el prestatario no puede pagar la hipoteca de su propiedad, pero el prestamista decide que la venta del inmueble, en una perdida moderada, es mejor que presionar al deudor. Ambas partes acceden a la "short-sale" porque permite evitar la ejecución de la hipoteca, que significa elevados honorarios para el banco, afectando al inversionista, y un pobre reporte de crédito, afectando al deudor.
Es importante notar que, debido a la existencia de penalidades a la utilidad, el mercado puede inducir a que los deudores paguen mayor capital que el valor de la garantía física. Así, un agente h
H que emite una cantidad de deuda φ
del activo sujeto a riesgo crediticio j
J, entregará en cada estado s
S una cantidad D
, donde
que es escogida de manera conjunta con las asignaciones de consumo libre de garantías físicas (xh), y el resto de las posiciones financieras (zh, θh). Por ende, la deuda remanente sobre el activo j
J del agente h
H en el estado s
S, luego de la decisión estratégica de pagar o entrar en ejecución hipotecaria, está dada por:
![]()
donde [y]+ = máx{y,0}.
Las penalidades a la utilidad, comentadas anteriormente, actuarán sobre esta deuda remanente. Es decir, para cada agente h
H definimos la utilidad asociada a las asignaciones (xh, φh, Dh, θh, zh) como:

donde λ
≥ 0 es la penalidad que el agente h
H sufre en el estado s
S proporcional a los recursos que deja de honrar de la promesa asociada al activo j
J.
Nótese que la penalidad se activa sólo en el caso de que la deuda remanente supera un nivel aceptable preestablecido de pérdida del inversionista dado por ps
s,j φ
, donde
s,j es exógeno y cumple
s,j ≤ As,j. Además, al introducir la canasta referencial vs = (vs,l;l
L)
![]()
podemos medir la moratoria en términos reales. Es necesario notar que la penalidad no incorpora ninguna dificultad adicional para la demostración de equilibrio, porque la utilidad Vh asociada a las asignaciones óptimas sigue siendo cóncava, ya que Uh también lo es, debido al supuesto (A1) que se postula más adelante en la definición de equilibrio.
En cada estado s
S, un agente h
H que invierte θ
unidades en el activo sujeto a riesgo crediticio j
J recibe un monto de recursos Rs,jθ
en el estado s
S, donde los retornos unitarios Rs = (Rs,j; j
J) serán determinados en equilibrio. Asumimos que, en equilibrio, (i) la cantidad de recursos que son invertidos en un activo sujeto a riesgo crediticio coincide con la cantidad de recursos que son prestados a los respectivos deudores de dicho activo, y (ii) el precio unitario de un contrato de deuda sujeto a riesgo crediticio coincide con el precio unitario del activo respectivo. Por ende, cuando un contrato de deuda j
J se transa en el mercado, el retorno del activo j
J satisface que D
≤ Rs,jθ
. Esto es, en caso de no pago de la deuda, el inversionista recibirá pagos mayores o iguales al valor de las garantías físicas depreciadas.
Finalmente, denotamos a la economía con garantías físicas exógenas, con penalidades por default y "short-sale" hipotecario por
, donde S* es el conjunto de estados de la naturaleza,
es el conjunto de características de los agentes,
es la estructura del mercado físico, y
la estructura financiera.
3. Equilibrio en la economía ![]()
Debido a que los agentes son tomadores de precios, y conocen de manera adelantada los pagos unitarios de la inversión en activos sujetos a riesgo crediticio, y conociendo que
cada h
H maximiza su utilidad escogiendo un plan
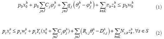
sujeto a las restricciones presupuestarias:

De esta manera, para h
H, el set presupuestario Bh(p,
,q,R) es dado por la familia de estrategias (xh,zh,φh,Dh,θh) que satisfacen las condiciones (1) y (2) arriba descritas.
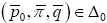
Definición 1: Un equilibrio para la economía
está dado por precios y pagos unitarios
, junto con estrategias individuales
para cada agente h
H, que cumplen las siguientes condiciones:
i. Para cada h
H,

ii. En los mercados físicos y financieros, la oferta se iguala a la demanda

iii. En cada estado s
S, el rendimiento agregado que reciben los inversionistas debe ser igual al pago agregado que entregan los deudores para cualquier j
J,
![]()
donde ![]()
Acerca de la definición de equilibrio, si ningún activo colateralizado es negociado por los agentes, cualquier retorno es consistente con el equilibrio. Esto ocurre en caso de que los inversionistas se comporten extremadamente pesimistas acerca de los pagos que recibirán en cualquier estado s
S, lo que llevaría a la no negociación de ningún activo j
J, con lo que la demostración de equilibrio en este modelo de intercambio puro es trivial. De hecho, si el precio y los retornos unitarios de los activos colateralizados son iguales a cero, i.e.
, será óptimo para cada h
H escoger ![]()
Para tratar este tema, Dubey, Geanakoplos y Shubik (2005) introducen un agente externo que vende Є unidades de cada activo y siempre entrega el total de las promesas inyectando nuevos bienes en la economía, lo que evita un exceso de pesimismo acerca de los retornos endógenos. Cuando Є tiende a cero, se obtiene el equilibrio refinado. En nuestro modelo, y análogamente a Steinert y Torres-Martínez (2007) y Poblete y Torres-Martínez (2013), por cada contrato de deuda j
J negociado es natural suponer que los inversionistas esperarán retornos positivos, dada la introducción de garantías físicas diferentes de cero. Así, utilizamos la introducción de garantías físicas a la deuda para probar la existencia de un equilibrio no trivial, esto es, un equilibrio donde ![]()
4. Existencia de equilibrio
Proposición: para una economía
en la cual se cumplen los siguientes supuestos:
(A1) Para cada agente h
H la función de utilidad
es continua, estrictamente cóncava y estrictamente creciente;
(A2) Para todo agente ![]()
(A3) Para cada j
J, existe un estado s(j)
S tal que,
existe un equilibrio no trivial4.
El primer supuesto es clásico en los modelos de equilibrio general. Por su parte, el garantizar que las dotaciones iniciales de los individuos en todos los estados de la naturaleza sean estrictamente positivas será determinante para la demostración de la existencia de equilibrio en el juego generalizado, técnica que se utilizará para la demostración de existencia de equilibrio de nuestra economía. De hecho, el supuesto (A2) es condición esencial para probar la hemicontinuidad de las correspondencias presupuestarias. De igual manera, el supuesto (A3) es determinante para demostrar que el pago que realizan los agentes del endeudamiento en los activos colateralizados es siempre positivo, no sin antes probar que los precios de los bienes de consumo son estrictamente positivos debido a que las preferencias de los agentes son monótonas.
5. Conclusiones
En este trabajo se analiza la existencia de equilibrio en una economía en la cual el endeudamiento en activos sujetos a riesgo crediticio está garantizado por colaterales físicos, y de igual manera se permite la negociación de activos libres de riesgo. Adicionalmente se permite la inclusión de penalidades extra-económicas en la función de utilidad de cada agente en caso de mora. Dicha penalidad es una función creciente del monto de deuda remanente luego de la decisión estratégica de pagar o entrar en ejecución hipotecaria si y sólo si este monto sobrepasa un umbral preestablecido por el inversionista como aceptable. Este procedimiento se conoce en los mercados financieros como "short-sale" de la propiedad inmueble.
Este modelo extiende los trabajos de Geanakoplos (1996, 2003) y Geanakoplos y Zame (2007), ampliando las opciones de tipos de activos que pueden ser negociados en equilibrio. De igual manera, generaliza el tipo de penalidades en la utilidad tratadas en Dubey, Geanakoplos y Shubik (2005) permitiendo que exista un umbral de tolerancia de pérdida para el inversionista. Por su parte, de modo análogo a Steinert y Torres-Martínez (2007) y más recientemente a Poblete y Torres-Martínez (2013), el exceso de pesimismo de los inversionistas acerca del retorno endógeno se evita a través de la presencia de garantías físicas colaterales distintas de cero, aunque con la salvedad de que en nuestro modelo la estructura del mercado financiero es más simple, pues no incluimos "tranching” y no permitimos el embargo de los bienes en caso que algún deudor no honre completamente su deuda.
Este modelo podría ser extendido de distintas maneras. Por una parte, es posible ampliar el horizonte de tiempo a periodos infinitos. Araujo, Páscoa y Torres-Martínez (2002) demuestran equilibrio en ese tipo de economías, pero no contemplan mecanismos coercitivos adicionales aparte de la incautación de la garantía física. De igual manera, es posible incluir colateral financiero o estructuras de titulización más complejas; para ello se podrán seguir las técnicas desarrolladas en Araujo, Páscoa y Torres-Martínez (2005) y en Steinert y Torres-Martínez (2007).
Finalmente, es importante preguntarse acerca de la verdadera efectividad de la penalidad extra-económica en la función de utilidad que se ha intentado modelar siguiendo el procedimiento de "short-sale" de la propiedad inmueble. Este mecanismo debería ser contrastado con otros tipos de mecanismos coercitivos, entre ellos, el embargo de la riqueza, como en Poblete y Torres-Martínez (2010), o las restricciones al otorgamiento del crédito futuro, analizadas por Kehoe y Levine (1993).
Anexo
Demostración de la existencia de equilibrio
Para probar la existencia de equilibrio, definiremos un juego generalizado donde cada consumidor maximizara su función de utilidad, pero restringido a escoger planes acotados en su set presupuestario. También existirán agentes abstractos o subastadores que escogerán precios, tanto de bienes como de activos, además del rendimiento unitario de los activos para los inversionistas, maximizando los excesos de demanda en los diferentes mercados. Inicialmente probaremos que este juego generalizado tiene un equilibrio, obteniendo así un equilibrio de la economía como un equilibrio del juego generalizado.
Considérense los conjuntos

Normalizaremos los precios, de tal forma que
![]()
De igual manera, restringiremos los retornos unitarios de la inversión
a estar en el conjunto
, donde
![]()
El juego generalizado
Dado cualquier vector
definimos un juego generalizado caracterizado por cuatro tipos de jugadores, cada uno con su conjunto de estrategias y correspondencias de estrategias admisibles, así como con sus funciones objetivo.
i. Dado un vector de precios y retornos unitarios de la inversión
cada consumidor h
H maximiza
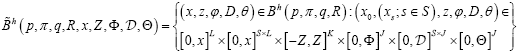
en el set presupuestario truncado
, donde

Denotaremos
vector genérico de estrategias para un consumidor h
H .
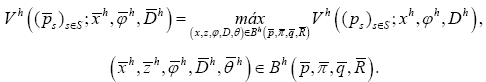
ii. Dada una asignación
un subastador e(0) en el período t = 0, que escoge
tal de maximizar la función

iii. Dada una asignación
para cualquier s
S, existe un subastador e(0) que escoge ps
∆1 tal de maximizar la función

iv. Dada una asignación
y un vector de precios ps
∆1 para cada par (s, j)
SxJ existe un subastador f(s, j) en el periodo t = 1, que recoje
, tal de maximizar la función

Definición 2. Un equilibrio de Nash en estrategias puras para el juego generalizado
está dado por un plan de estrategias
tal que cualquier jugador maximiza su función objetivo dadas las estrategias escogidas por los otros jugadores.
Proposición 1 A. Bajo los supuestos (A1) y (A2), existe un equilibrio de Nash en estrategias puras para el juego generalizado ![]()
Demostración. Por el supuesto (A1), las funciones objetivos de cada consumidor h
H son continuas y cuasi-cóncavas en sus propias estrategias. Las funciones objetivo para los subastadores e(0) y e(s) son continuas y lineales en sus propias estrategias, y por ende cuasi-cóncavas. La función objetivo para el subastador f(s,j) es continua y cuadrática en su propia estrategia, y por ende cóncava.
Para los subastadores e(0), e(s) y f(s,j), sus correspondencias de estrategias admisibles son constantes, y, por ende, continuas y no vacías; además, tienen valores compactos y convexos. Por su parte, para los consumidores h
H, sus correspondencias de estrategias admisibles
, por definición, son no vacías, con valores compactos y convexos, restando demostrar su continuidad. Debido a que la correspondencia de estrategias admisibles de cada consumidor h
H,
, es compacta y tiene gráfico cerrado, decimos que
es hemicontínua superior y tiene valores cerrados en su dominio. Para demostrar la hemicontinuidad inferior de
, para cada h
H, definimos la correspondencia de estrategias admisible
:=int(
) que asocia a un vector
la colección de planes
que satisface sus restricciones presupuestarias con estricta desigualdad. Nótese que, dado el supuesto (A2), esta correspondencia tiene valores diferentes de vacío y gráfico abierto, por ende
es hemicontinua inferior en su dominio. Conocemos que la clausura de
es igual a
y, por lo tanto, también es hemicontinua inferior. Así, la correspondencia de estrategias admisibles para cada consumidor h
H es continua.
Dado que las funciones objetivo de cada uno de los jugadores son continuas y cuasi-cóncavas en sus propias estrategias, y además, las correspondencias de estrategias admisibles para cada uno de los jugadores son continuas y tienen valores compactos, convexos y diferentes de vacío, es posible aplicar el Teorema de Berge para afirmar que las correspondencias de estrategias óptimas para cada jugador son hemicontinuas superiores con valores compactos, convexos y diferentes de vacío. Finalmente, al hacer el producto cartesiano de las correspondencias de estrategias óptimas de cada uno de los jugadores, la correspondencia de estrategias óptimas del juego generalizado
es hemicontinua superior y tiene valores compactos, convexos y diferentes de vacío, con lo que, aplicando el Teorema del punto fijo de Kakutani concluimos la demostración.
Lema 1. Se asume que se cumplen los supuestos (A1) y (A2). Dado un equilibrio de Nash en estrategias puras en el juego generalizado
para cada par (s, j)
S x J,
![]()
Demostración. Fijemos (s, j)
S x J. Como
, sigue de la definición de la función objetivo para el subastador f(s, j) que
![]()
donde la desigualdad estricta se cumple sólo si se da el caso que tanto
pero contradicción ya que
. Por ende, la igualdad siempre se cumple.
Lema 2. Dado
, si el plan
satisface las condiciones de factibilidad en la definición de equilibrio, entonces para cada agente h
H el vector
esta uniformemente acotado.
Demostración. Sea
un plan que satisface las condiciones de factibilidad en la definición de equilibrio, para algún l
L y para cada h
H se cumple que en el primer periodo
![]()
donde
por lo tanto,
De la misma manera, en el segundo periodo y para cada s
S se cumple que
![]()
donde
Así, existe
tal que
![]()
Por otro lado, para cada j
J tenemos que
![]()
Así

De las condiciones de factibilidad del mercado financiero sabemos que
con lo que se cumple
![]()
Finalmente, como
tenemos que
![]()
El siguiente lema permite encontrar límites superiores para el portafolio
y sigue las ideas de Cea-Echenique y Torres-Martínez (2010).
Lema 3. Para cada s
S y para todo h
H, dado el vector
![]()
donde
, para cualquier k
K, un portafolio z
que satisface:

es acotado, esto es, existe
tal que
Además,
solamente depende de ![]()
Demostración. En cada (s, j, h)
S×J×H definimos:
![]()
Así, Tsh es una función continua de
y todas estas variables están en un conjunto compacto. Reescribiendo entonces la restriccion presupuestaria del segundo periodo, tenemos que para cada agente h
H,
![]()
expresión que es posible escribir en su forma matricial:

donde la matriz de pagos de los activos libres de riesgo N es una matriz de #Sx#K. Notar que como no existen activos redundantes en la economía, tenemos que #K ≤ #S. Ademas, es posible encontrar una sub-matriz no singular de dimensión #Kx#K. Específicamente, asumimos, sin pérdida de generalidad, que esta matriz está dada por:

Por ende, tenemos que

Luego, por la Regla de Cramer

donde
es la matriz que se obtiene por el cambio de la k-ésima columna en la matriz M por el vector ![]()
Como el vector
depende de manera continua de las variables en su argumento, y todas las variables están en conjuntos compactos, el portafolio z
está acotado, esto es, existe
> 0, tal que
Nótese que
sólo depende de ![]()
Finalmente, la existencia de un equilibrio en nuestra economía es consecuencia del siguiente resultado.
Proposición 2A. Dados los supuestos (A1)-(A3), si
todo equilibrio de Nash en estrategias puras para el juego generalizado
es un equilibrio de la economía original.
Demostración. Sea
un equilibrio de Nash en estrategias puras para el juego generalizado
con ![]()
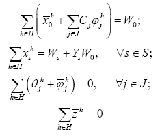
Factibilidad de mercado. Para el primer periodo, si agregamos las restricciones presupuestarias de los agentes, obtenemos:

Por el hecho de que
resuelven el problema del subastador e(0), tenemos que

Debemos demostrar que de hecho las expresiones anteriores son igualdades.
Debido a que la ausencia de exceso de demanda asegura que la canasta de mercancías escogidas por cada individuo sea menor que la oferta agregada, tenemos que

Es decir, siempre existe la posibilidad de consumir más. Por lo tanto, las restricciones presupuestarias se cumplen con igualdad, esto es

Supongamos que existe algún l
L, tal que
entonces se sigue de (8) y (4) que
. Una contradicción con (7) y la monotonía de las preferencias. De forma análoga, si
entonces
, con lo que, dada la monotonía de las preferencias y la existencia de pagos positivos en el vector
Esto es, una contradiccion. Lo anterior implica que
Entonces, para cualquier /
L no existe exceso de oferta en el mercado de bienes físicos ni en el mercado de activos libres de riesgo. Esto es, es posible concluir que en estos dos mercados la oferta es igual a la demanda, es decir,

Para el segundo periodo fijamos un estado s
S y agregamos las restricciones presupuestarias de los individuos,

De la expresión (10) tenemos que
![]()
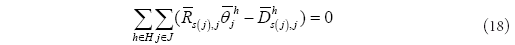
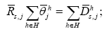
Por otro lado, sabemos que por el lema 1,
para todo par (s,j )
S x J, y utilizando la expresión (6),
con lo que ![]()
Luego,
![]()
De lo anterior, entonces,

Por el hecho de que
resuelve el problema del subastador e(s), tenemos que

De igual manera, debemos demostrar que de hecho las expresiones anteriores son igualdades.
De modo análogo a lo realizado para el primer periodo, debido a que la ausencia de exceso de demanda asegura que la canasta de mercancías escogidas por cada individuo es menor que la oferta agregada, tenemos que
![]()
Por lo tanto, por la monotonía de las preferencias, los precios
, son estrictamente positivos y las restricciones presupuestarias en el segundo periodo se cumplen con igualdad. Esto es,

Por otro lado, para cada j
J , existe un estado s(j)
S en el que se cumple (A3), como
tenemos que
![]()
por ende, ![]()
Asumamos ahora que para todo j
J se cumple la desigualdad estricta
luego el subastador e(0) escogerá
Sin embargo, y en particular en el estado s(j)
S, donde se cumple el supuesto (A3), y dado que
y como
tenemos que

Entonces, para un s(j)
S y para todo j
J ,si la desigualdad estricta
se cumple
Esto es una contradicción, ya que el consumidor podría aumentar su utilidad invirtiendo de manera gratuita en un activo que le brinda retornos positivos en al menos un estado de la naturaleza. Por lo tanto, en el mercado de activos colateralizados la oferta es igual a la demanda:
![]()
Lo anterior implica que existe un s(j)
S, en el cual
![]()
Finalmente, de la expresión (13), como no hay exceso de demanda y
tenemos que

Si existiesen excesos de oferta para algún
esto implicaría una contradicción. Así, la oferta es igual a la demanda en el mercado de bienes físicos:

Optimalidad de las asignaciones individuales. Dado que se satisfacen las condiciones de factibilidad en el mercado de bienes físicos, se cumple que
para cualquier
Debido a que tenemos un equilibrio, para cualquier
Así también, para cualquier
Así también para cualquier
Por ende, para cualquier h
H, la asignación
pertenece al interior del conjunto ![]()
Asumamos que existe una asignación
que pertenece al interior del conjunto
para la cual se cumple que
luego, dado un µ
(0,1), sabemos que existe
Por la estricta concavidad de la función de utilidad tenemos que
una contradicción con la optimalidad de
. Por ende, para cualquier
que pertenece al interior del conjunto
Esto comprueba la optimalidad de
a través de las asignaciones en el set presupuestario del agente h
H .
Notas
* Universidad de Navarra y Navarra Center for International Development, Instituto Cultura y Sociedad, Edificio de Bibliotecas, 31008 Pamplona, España. Contacto: sdaga@unav.es
1 Como lo notan Geanakoplos y Zame (2007), permitir que el colateral sea almacenado por un tercero o que sea retenido y usado por el prestamista, sólo incorpora dificultad notacional.
2 Luego de la normalización, es posible hacer esta identificación de precios.
3 El símbolo
denota la norma de la suma.
4 El equilibrio es no trivial en el sentido que los activos colateralizados son siempre negociados por los agentes, es decir, como se mencionó anteriormente, demostramos un equilibrio en donde ![]()
Referencias
1. Araujo, A., M.R. Páscoa yJ.P. Torres-Martínez. 2002. "Collateral Avoids Ponzi Schemes in Incomplete Markets". Econometrica, 70(4), 1613-1638.
2. Cea-Echenique, S. yJ.P. Torres-Martínez. 2010. "Endogenous differential information in financial markets". Department of Economics, University of Chile. Serie Documentos de trabajo N° 312.
3. Dubey, P., J. Geanakoplos y M. Shubik. 2005. "Default and punishment in general equilibrium". Econometrica, 73 (1), 1-37.
4. Geanakoplos, J. 1996. "Promises, promises". Cowles Foundation Discussion Paper N° 1057.
5. -------2003. "Liquidity, default, and crashes". Cowles Foundation Discussion Paper N° 1074.
6. Geanakoplos, J. y W.R. Zame. 2007. Collateralized Asset Markets. University of California at Los Angeles, Working Paper.
7. Kehoe, T. y D.K. Levine. 1993. "Debt-constrained assets markets". Review of Economics Studies, 60,865-888.
8. Poblete, R. y J.P. Torres-Martínez. 2010. "Equilibrium with limited-resource collateralized loans". Department of Economics, University of Chile, Serie Documentos de trabajo N° 313.
9. Steinert, M. y J.P. Torres-Martínez. 2007. "General equilibrium in CLO markets". Journal of Mathematical Economics, vol. 43,709-73.












