Servicios Personalizados
Revista
Articulo
Indicadores
-
Citado por SciELO -
Accesos
Links relacionados
-
Similares en
SciELO
Compartir
Revista Latinoamericana de Desarrollo Económico
versión On-line ISSN 2074-4706
rlde no.28 La Paz nov. 2017
Brechas de género en el mercado laboral y pobreza: una aproximación a partir de microsimulaciones
Gender gaps in the labor market and poverty: a microsimulation approach
La igualdad de género es un medio y fin en sí mismo; es un objetivo por derecho propio, y todo avance en su cumplimiento promueve la erradicación de la pobreza" (CEPAL, s.f)
Karen Marion Martínez Torrico*
Resumen
La consecución de la igualdad de género en el mercado laboral no sólo es un objetivo deseable por sí mismo, sino también por los efectos que tiene sobre el crecimiento y el bienestar. Partiendo de este reconocimiento, en esta investigación se aproximan los efectos que tiene la desigualdad de género en la participación, empleo, segregación ocupacional e ingresos laborales sobre la pobreza monetaria en el área urbana de Bolivia. Con este fin, se aplica la técnica de microsimulaciones no paramétricas para generar escenarios en los que se simulan distribuciones de ingresos en ausencia de las brechas de género en cada una de estas esferas. A partir de la comparación de los indicadores de pobreza observados y simulados, se evidencia que de 2006 a 2015 la desigualdad de género en la participación e ingresos laborales, implicó costos sobre el bienestar de la sociedad en términos de pobreza.
Palabras clave: Brechas de género, pobreza, mercado laboral, microsimulaciones.
Abstract
The achievement ofgender equality in the labor market is not only a desirable goal by itself, but byits efFects on growth and welfare. Based on such acknowledgement, this research quantifies the efFects ofgender gaps in employment, participation, occupational segregation and labor income over monetary poverty in urban Bolivia. For this purpose, it is proposed to use the non-parametric microsimulation strategy in order to generate free gender gaps scenarios. Based on the comparison of poverty indicators observed and simulated with this strategy, it is evident that from 2006 to 2015 gender inequality in participation and labor income implied costs on the welfare of the society.
Keywords: Gender gaps, Poverty, Labor market, Microsimulation Techniques.
Clasificación/Classification JEL: C14, D31, I32, J7, J16.
1. Introducción
La igualdad de género en el ejercicio de los derechos, acceso a oportunidades y participación en todos los planos de la sociedad, se define como un derecho universalmente reconocido. Éste nace con el reconocimiento de las desigualdades históricas que recaen sobre la mujer, como resultado de la concepción diferenciada de los roles y relaciones entre los sexos. Esta concepción aún hoy se refleja en las diferentes funciones, responsabilidades, valoraciones y expectativas atribuidas y asumidas por hombres y mujeres en todas las esferas de la sociedad.
El interés por alcanzar la igualdad1, no sólo se fundamenta en argumentos éticos respaldados por instrumentos jurídicos de aceptación internacional, sino también en argumentos de eficiencia económica y social (Morrison, 2007). Desde esta óptica, el interés por acortar las brechas de género en el plano laboral es deseable debido a los efectos de la mejor posición económica de la mujer sobre el crecimiento económico y la disminución de la desigualdad de ingresos y pobreza.
El vínculo entre la igualdad de género en el plano laboral y la reducción de la pobreza se atribuye, en parte, a la capacidad que tiene la contribución económica de la mujer para romper la transmisión intergeneracional de la pobreza. Esto como resultado del impacto de su autonomía económica y poder de negociación sobre la modificación de los patrones de gasto al interior del hogar en formas que benefician el cuidado y desarrollo de sus dependientes.
Por otra parte, y de forma más directa, este vínculo responde a la capacidad que tiene el aporte creciente y significativo del ingreso laboral de la mujer para mejorar la situación económica del hogar y por lo tanto, para reducir las probabilidades de que sus integrantes se encuentren en situación de pobreza. Motivo por el cual, se argumenta que mejorar la situación laboral femenina en cada una de las etapas secuenciales e interrelacionadas que anteceden la percepción de ingresos laborales, i.e., en la participación laboral, estado y sector ocupacional, tiene la capacidad de contribuir en la reducción los niveles de pobreza.
Para fines de este trabajo, esta secuencia implica que los agentes económicos toman la decisión de formar parte o no de la fuerza laboral. A continuación, la población económicamente activa se embarca en la búsqueda de una ocupación en interacción con el mercado laboral. Como tercera etapa, simultánea a la búsqueda de un trabajo, se encuentra la elección de la naturaleza de la ocupación laboral que, para fines de este trabajo, se divide en las ocupaciones formales e informales. Como resultado de esta secuencia, en la etapa final se definen los ingresos laborales percibidos por su trabajo.
Los indicadores que caracterizaron las cuatro etapas de esta secuencia de 2006 a 2015 en Bolivia, presentaron resultados desiguales en desmedro de la población femenina, tanto a nivel nacional como en el área urbana y rural del país, por separado. Partiendo del reconocimiento de esta situación, además de la evidencia que existe en torno a los efectos del fortalecimiento del rol laboral femenino en los países de América Latina, este trabajo motiva a estudiar si es que la situación de género en el mercado laboral urbano de Bolivia tiene efectos directos sobre los niveles de pobreza monetaria.
Con este objetivo, se aplicó la técnica de microsimulaciones no paramétricas para aproximar el efecto de la desigualdad de género sobre indicadores de pobreza monetaria de 2006 a 2015. A partir de esta estrategia se generaron escenarios en los cuales, de forma aislada, se simularon distribuciones de ingresos en ausencia de las brechas de género en la participación laboral, tasas de desocupación, tasas de formalidad e informalidad, y en el nivel de ingresos laborales promedio. Con la comparación de los indicadores de pobreza observados y simulados, se evidenció que la desigualdad de género en la participación e ingresos laborales vigente a lo largo de este periodo tuvo costos potenciales sobre el bienestar de la sociedad aproximado a partir de indicadores de pobreza monetaria.
A partir de esta sección, la estructura de este documento se organiza de la siguiente forma. En la Sección 2 se presenta la descripción de los indicadores laborales que caracterizan a cada esfera y las tendencias de pobreza de los últimos años. En la Sección 3 se revisan los estudios previos al objeto de análisis de este documento. La Sección 4 está dedicada a explicar las nociones básicas de la metodológica utilizada y la estrategia empírica aplicada. En la Sección 5 se presenta una descripción de los resultados obtenidos que, para una lectura más completa, son contextualizados en la Sección 6 a partir de la revisión de las barreras que limitan la igualdad. Para finalizar, en la Sección 7 se plantean las principales conclusiones y recomendaciones de esta investigación.
2. Estructura laboral, brechas de género y pobreza
Los indicadores laborales del área urbana de Bolivia presentan resultados desiguales en desmedro de la población femenina. Como se observa en el gráfico 1, la proporción de la población masculina económicamente activa se encontró de 2006 a 2015 por encima de la población femenina, con una brecha promedio medida a partir de la diferencia masculino-femenina de la Tasa Global de Participación (TGP) de 17.78 puntos, y una mediana de 17.56 puntos (cuadro 1). La desigualdad en esta esfera no sólo fue alta, sino también creciente. Esto principalmente debido a la paulatina disminución de la TGP femenina, que se refleja en la tendencia del ratio de participación ilustrada en la parte inferior del gráfico.
A diferencia del indicador anterior, el nivel de ocupación laboral de varones y mujeres se encontró de 2006 a 2015 por encima del 90%. No obstante, como se observa a partir de la Tasa de Desempleo Abierto (TDA) en el gráfico 2, la población femenina presentó en todo momento mayores dificultades para trabajar por una remuneración laboral, al menos durante una hora a la semana. Si bien la magnitud de la brecha de género fue modesta, los patrones desiguales de desempleo se mantuvieron constantes a lo largo del periodo, y en torno a una diferencia promedio de 2.26 p.p. a favor de los varones.
Como se observa en el gráfico 3, éste es un fenómeno que caracterizó la estructura laboral urbana de Bolivia a lo largo del periodo, con una representación del 63.18% de la población femenina en los empleos informales y de 36.82% en los empleos formales, frente al 51.32% y 48.68%, respectivamente, para la población masculina en 2006. Con el paso del tiempo, las tasas de formalidad de ambas poblaciones disminuyeron, así como también las brechas de género en ambos sectores ocupacionales, encontrándose en 2015 el 33.39% de las mujeres y el 37.63% de los varones en empleos formales, frente a 66.61 % y 64.13%, respectivamente, en ocupaciones informales2.
El último nivel en el que se manifiesta la desigualdad de género se refiere a los ingresos laborales percibidos. Como se aprecia en el gráfico 4, si bien de 2006 a 2015 se evidenciaron tendencias crecientes en el promedio de los ingresos laborales nominales de varones y mujeres, los ingresos percibidos por este último grupo significaron tan sólo el 67.2% de las remuneraciones laborales de los varones. La desigualdad de género en este indicador no sólo fue alta, sino también creciente. Esto se observa en la diferencia hombre-mujer de los ingresos laborales, ilustrada en la curva inferior del gráfico, la misma que pasó de 874.86 Bs en 2006 a 911.62 Bs en 2015.
De forma paralela al comportamiento del mercado laboral descrito, se experimentaron tendencias decrecientes de la pobreza, alcanzando al 2013 niveles históricamente bajos en la pobreza moderada y extrema (gráfico 5). De acuerdo a Castellani y Zenteno (2015), dentro de los factores que favorecieron a estas tendencias, tanto en el área rural como urbana del país, resalta el desempeño macroeconómico que respondió al contexto económico favorable y a las medidas redistributivas de los ingresos.
Para el PNUD (2013), la dinámica de la reducción de la pobreza de 2000 a 2012 se atribuye a la redistribución de los ingresos, con una contribución en la reducción de la pobreza de 43.1%. En Muriel, Bernal y Olivarez (2015) se evidencia que, además del factor redistributivo, el incremento en los ingresos del hogar jugó un rol fundamental en la disminución de la pobreza de 1999 a 2012. En esta dirección, en Uribe y Hernani-Limarino (2015) se concluye que, si bien la dinámica de la pobreza en el área urbana de Bolivia se explicó de 1999 a 2005 por un efecto redistributivo, a partir de 2006 el efecto crecimiento en los ingresos fue el principal factor que contribuyó en la reducción de la pobreza.
En base a estos resultados, y reconociendo que la principal fuente de ingresos de los hogares urbanos de Bolivia proviene de fuentes laborales, se argumenta que la situación de desigualdad de género tiene efectos negativos sobre el bienestar económico y social de los hogares. Como se evidencia para diferentes países de Latinoamérica (Gradín d al., 2006; Monsueto y Simão, 2008; Costa á al., 2009), incluida Bolivia (Bravo, 2005), esto responde a que el acceso y los resultados laborales desiguales entre varones y mujeres implican la pérdida de recursos potenciales para sacar a los hogares de la pobreza.
3. Género, mercado laboral y pobreza: estudios previos
El estudio de los efectos de la desigualdad de género sobre la distribución de los ingresos y la pobreza es realizado principalmente a partir de la construcción de ingresos contrafactuales. Esto partiendo del reconocimiento del vínculo directo que existe entre la desigualdad en las oportunidades y resultados laborales, y la pobreza (Costa et al., 2009; Elborgh-Woytek et al., 2013; Gasparini y Marchionni, 2015; Parada, 2016).
En esta línea se realizaron diferentes trabajos en los que se presenta evidencia sobre el fortalecimiento del rol laboral femenino en la reducción de la pobreza. Entre ellos resaltan los del Banco Mundial (2012), Gasparini y Marchionni (2015) y Parada (2016) para países de América Latina y el Caribe. En el primero de éstos se cuantifica la contribución de los ingresos laborales de las mujeres sobre los ingresos per cápita de los hogares a partir de la construcción de distribuciones contrafactuales de ingresos entre 2000 y 2010. A partir de esta estrategia se concluye que, si los ingresos de las mujeres se hubieran mantenido en los niveles de 2000, la pobreza de la región se habría incrementado en 30 p.p. y la proporción de personas viviendo en extrema pobreza se hubiese duplicado.
A partir del uso de la estrategia de microsimulaciones paramétricas, en Gasparini y Marchionni (2015) y Parada (2016) se aproxima el efecto del incremento en el empleo laboral femenino a partir de la década de los noventa sobre la pobreza monetaria en países latinoamericanos. Esto mediante la construcción de distribuciones contrafactuales de los ingresos per cápita del hogar utilizando el nivel de participación laboral femenina de inicios del periodo, en el periodo final de referencia. Siguiendo este procedimiento se concluye en ambos casos que, si bien el empleo femenino no fue el principal determinante en la evolución de la distribución de los ingresos, contribuyó en todo momento a reducir los niveles de pobreza de los países de estudio.
El primer esfuerzo realizado para aproximar los efectos de la desigualdad de género en el plano laboral sobre la pobreza se encuentra en Gradín et al. (2006) para países de la Unión Europea. En este trabajo se construyen distribuciones de ingresos contrafactuales simulando la ausencia de brechas de género en los retornos laborales entre varones y mujeres. A partir de la comparación de medidas de pobreza para las distribuciones de ingresos originales y contrafactuales se concluye que alcanzar la igualdad de resultados en el mercado laboral tendría efectos significativos sobre el bienestar de la sociedad, con una potencial disminución en 10 p.p. de la pobreza.
En Monsueto y Simão (2008) se analizan los efectos de la discriminación salarial por género sobre la pobreza y desigualdad en las regiones metropolitanas de Brasil de 1992 a 2001. Aplicando la técnica de microsimulaciones paramétricas, se igualan los retornos calculados en las ecuaciones de salario de hombres y mujeres, con el fin de eliminar las brechas de género en esta esfera. Esta alteración se introduce en un modelo de dos etapas, partiendo de una ecuación de selección multinomial de ocupación, a una ecuación de salario minceriana para ambas poblaciones. Comparando los resultados de ambos escenarios se concluye que, al eliminar la discriminación por razones de género, la pobreza moderada de las regiones de estudio pudo disminuir, en promedio, hasta en 10 p.p..
Siguiendo la misma metodología para países de América Latina, en Costa et al. (2009) se expande el análisis del efecto de la desigualdad en el mercado laboral a cuatro esferas que lo caracterizan: i) participación laboral, ii) inserción ocupacional, iii) discriminación salarial y iv) en la dotación de características educativas que influyen en los resultados laborales. Con este fin se simulan distribuciones de ingresos per cápita de los hogares en escenarios en los cuales las brechas en estas esferas son, una a una, eliminadas.
A partir de esta estrategia, se evidencia que el mayor efecto sobre la reducción de la pobreza proviene de alcanzar la igualdad de género en la participación. Este escenario habría implicado entre 2002 y 2006 una disminución máxima en la pobreza de 34 p.p. en Chile, y una disminución mínima de 15 p.p. en Uruguay. El segundo mayor efecto sobre la pobreza se observa al cerrar las brechas de género en los ingresos laborales, con una disminución máxima en la incidencia de pobreza de 14 p.p. para Paraguay, y un efecto mínimo de 3 p.p. para Argentina. En lo que respecta a la igualación de las tasas de desocupación, formalidad e informalidad por género, al igual que en las características educativas de ambas poblaciones, no se evidenciaron efectos significativos sobre la reducción de los indicadores de pobreza monetaria estudiados.
4. Microsimulaciones: de la teoría a la práctica
4.1. Microsimulaciones no paramétricas
Como se estudió en el apartado anterior, las microsimulaciones han sido utilizadas para aproximar los efectos de la desigualdad de género en el plano laboral sobre la pobreza. Esto a partir de la simulación de distribuciones de ingresos contrafactuales en escenarios en los que las brechas de género son cerradas. Siguiendo esta tradición, se propone hacer uso de esta herramienta para aproximar, de forma aislada, el efecto de igualar los resultados laborales de una población elegible de mujeres al nivel de los varones en la participación, estado ocupacional, sector laboral y en la estructura de los ingresos laborales.
No obstante, a diferencia de los estudios previos, en este trabajo se emplea la técnica de microsimulaciones no paramétricas planteada originalmente en Almeida dos Reis y Paes de Barros (1991), y generalizada al análisis de la distribución en los ingresos per cápita del hogar por Ganuza et al. (2002). A diferencia de las microsimulaciones paramétricas, esta estrategia no modela de forma explícita el comportamiento del mercado laboral3, sino más bien aproxima la forma en la cual la introducción de modificaciones en las condiciones del mercado laboral afecta la situación ocupacional de los agentes económicos, a partir de un proceso de selección aleatoria dentro de un mercado de trabajo segmentado con posibilidades de movimiento en el margen.
Por una parte, la elección de esta estrategia parte de la ausencia de un consenso sobre la mejor aproximación para modelar el comportamiento del mercado laboral ante cambios en su estado. En este sentido, reconociendo los límites de aproximaciones basadas en la teoría del capital humano y de la segmentación laboral, la estrategia de microsimulaciones no paramétricas emerge como una alternativa adicional que asume un punto intermedio entre ambas corrientes, reconociendo el problema de asignación que existe en el mercado laboral (Vos y Sánchez, 2010).
Por otra parte, la aplicación de esta estrategia se fundamenta en las dificultades empíricas que presentan los modelos comportamentales. Las mismas se reflejan en los requerimientos de tiempo y esfuerzo de modelaje, que, siguiendo a Vos y Sánchez (2010) y Estrades (2013), no son justificables en aplicaciones para países en desarrollo, debido al bajo poder explicativo que han demostrado estos modelos. Esto, sumado a la presencia de sesgos de selección en la estimación de ecuaciones de ingresos para las diferentes decisiones sectoriales u ocupacionales, y a la posible presencia de endogeneidad, refleja la gran complejidad de modelar el comportamiento del mercado laboral (Lay, 2010).
La estrategia de microsimulaciones no paramétricas es un modelo de equilibrio parcial que propone utilizar indicadores laborales contrafactuales para representar cambios aislados en la estructura del mercado de trabajo (tasa de participación, desempleo, composición del empleo por sector y estructura de los ingresos laborales) manteniendo constantes las características de los miembros elegibles en cada simulación4. Para introducir estos parámetros, se parte del supuesto de que el mercado laboral está segmentado en k sectores, con la posibilidad de que los individuos se muevan, en el margen, de un segmento a otro. Los cambios hipotéticos introducidos se realizan a partir de un proceso aleatorio, que se supone, en promedio, refleja correctamente el impacto de los cambios reales en el mercado laboral (Vos y Sánchez, 2010; Ganuza et al., 2002).
Este proceso consiste en la generación y asignación de números aleatorios a los individuos agrupados en j grupos de acuerdo a sus características sociales, y en k segmentos laborales. Esta estrategia permite determinar, una vez introducidos los indicadores contrafactuales: i) quiénes pasan de la inactividad a la actividad o viceversa, ii) quiénes obtienen un trabajo o pasan a ser desempleados, iii) quiénes pasan de un sector a otro, y iv) cómo son asignados los nuevos ingresos laborales medios a nivel individual5. Debido a la introducción de un proceso de asignación al azar, se realizaron 30 iteraciones por microsimulación6, lo que permitió la construcción de intervalos de confianza del 95% para los índices de pobreza moderada y extrema, excepto en el caso de la simulación del nivel de remuneración, en la cual no se involucraron números aleatorios.
La principal ventaja de este tipo de modelos es que resuelve el problema de asignación en el mercado laboral, sin un alto requerimiento de datos y con un bajo esfuerzo de modelaje en comparación a los modelos paramétricos. No obstante, es necesario tomar en cuenta las limitaciones inherentes a los supuestos de esta estrategia para hacer una lectura correcta de los resultados.
La primera limitación de los modelos de microsimulaciones, tanto paramétricos como no paramétricos yace en el supuesto de que los efectos estudiados ocurren en el marco de equilibrio parcial. Éste es un problema particularmente cuando el análisis se realiza en el plano laboral, dado que la introducción de modificaciones en vectores sociales y económicos influye, en la práctica, sobre la estructura misma del mercado laboral, e.g., en las asignaciones realizadas y los precios de equilibrio. Estos factores, al no ser tomados en cuenta por este tipo de modelos, generan resultados ciertamente sesgados.
A pesar de esto, siguiendo a Spadaro (2007), el uso de esta estrategia se justifica como el primer paso para estudiarla relación entre uno o más vectores de variables sobre la distribución de los ingresos, y por ende sobre indicadores de bienestar. Por este motivo, el análisis realizado en este trabajo a partir de las microsimulaciones se brinda como una primera aproximación de la relación que existe entre la desigualdad de género y la pobreza. Concretamente, como una alternativa para aproximar el efecto máximo posible de cerrar las brechas de género sobre la situación de pobreza urbana de Bolivia.
La segunda limitación que merece ser tomada en cuenta es la del carácter aleatorio del modelo. Como se mencionó anteriormente, el supuesto de aleatoriedad en el mecanismo de asignación de los cambios en la estructura del mercado laboral emerge como una alternativa para aproximar su comportamiento, reconociendo el problema de asignación que existe en este mercado. Por este motivo este modelo no considera únicamente como variables explicativas a los atributos de los individuos, como lo hacen los modelos paramétricos fundamentados en la teoría del capital humano, sino más bien aproxima el comportamiento como resultado de cambios introducidos en la estructura laboral por grupos de individuos con características observables diferenciables.
Considerando esto, el principal problema de este supuesto yace en su incapacidad de capturar las características no observables de los individuos. Características que, en la práctica, influyen en sus decisiones y, consecuentemente, en sus resultados laborales. No obstante, vale la pena resaltar que este es un problema compartido también por los modelos comportamentales. Esto como resultado de la falta de información sobre variables no observables, como la valoración del tiempo de los agentes o de habilidades no cognitivas en el sentido de Heckman (Heckman et al., 2006), que hacen que los parámetros estimados por los modelos paramétricos no estén exentos de sesgos.
4.2. Nociones básicas
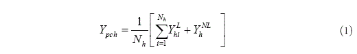
El primer paso para entender la aproximación de microsimulaciones no paramétricas aplicada al tema de estudio, parte de definir el ingreso total per cápita,
, como la adición de los ingresos laborales
percibidos por los i individuos del hogar h y los ingresos no laborales totales
dividida entre los N integrantes del hogar.

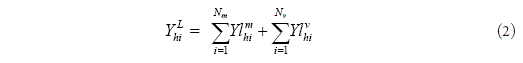
De (1) es posible descomponer los ingresos laborales totales del hogar
, en las contribuciones de varones
y mujeres
, de forma tal que:

Para efectos de este trabajo, se modifica
para un grupo de mujeres elegibles del hogar a partir de la introducción de cambios en variables que definen la estructura del mercado laboral. Mientras tanto, los ingresos laborales de los varones junto a los ingresos no laborales totales, son considerados como inalterables en cada simulación.
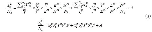
La contribución laboral per cápita de las mujeres al interior del hogar puede ser descompuesta en los ingresos de actividades formales,
, e informales,
. A su vez, siguiendo a Hernani-Limarino y Mena (2014), cada fuente de ingresos puede ser representada por su nivel de remuneración promedio ω, la proporción de la fuerza laboral formal e informal δ y el nivel de utilización de la fuerza laboral. Este último se define a su vez por las tasas de empleo remunerado, ε, participación, θ, y por la proporción de la población femenina elegible que forma parte del hogar, F.

Donde los ingresos laborales de mujeres ocupadas en puestos formales e informales se denota por
y
, respectivamente,
y
representa el número de mujeres totales formales e informales,
el número de mujeres ocupadas,
la cantidad de mujeres económicamente activas,
el número de mujeres dentro del hogar y A la contribución per cápita de los varones7.
Introduciendo (3) en (1) se obtiene el ingreso per cápita del hogar en función de los ingresos laborales de la población no elegible para la simulación de los ingresos no laborales totales del hogar y de los indicadores laborales que resultan de la descomposición de los ingresos de la población elegible para la simulación, que denotamos con λ.

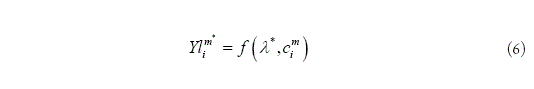
A partir de esta definición, es posible escribir los ingresos individuales de la población femenina elegible en función de sus características personales
y de su situación en el mercado laboral λ.

En cada simulación la situación laboral de los i individuos elegibles es modificada con la introducción de indicadores laborales contrafactuales en la participación, empleo remunerado, sector ocupacional e ingresos laborales. A partir de estos indicadores se simulan escenarios en los que, una a una, se cierran las brechas de género.

En la aplicación de la microsimulación, la estructura laboral contrafactual λ* permite simular el ingreso per cápita del hogar,
, a través de los cambios simulados en los ingresos laborales de la población femenina elegible.

A partir de estas nociones, es posible definir la distribución de los ingresos per cápita de los hogares en función de variables laborales, personales y de factores adicionales denotados por α8:

De forma similar, se define la distribución simulada de ingresos per cápita como:

Dado que se asume que α y c se mantienen constantes en las simulaciones, el efecto de la desigualdad sobre la distribución de los ingresos se define en función de los cambios introducidos en los indicadores que caracterizan la estructura del mercado laboral.

Dado que las microsimulaciones son individuales, son cuatro las distribuciones contrafactuales de ingresos generadas y por lo tanto, cuatro los ejercicios de simulación realizados, uno para cada componente de la estructura laboral.
A partir de la generación de distribuciones contrafactuales de ingresos, se calculan indicadores de bienestar. Dado que este modelo parte del supuesto de que, en promedio, el efecto de cambios aleatorios refleja los cambios reales en el mercado laboral, se estima el valor promedio de los indicadores de pobreza y de desigualdad a partir de las iteraciones generadas en cada simulación (Vos y Sánchez, 2010;9). De esta manera, el cambio promedio simulado en los indicadores de bienestar se denota como:

Donde I es el indicador de bienestar estimado para la distribución original de la población, I* el indicador estimado para la distribución contrafactual de cada ejercicio de simulación, y ΔI el efecto del cambio inducido en el mercado laboral sobre el bienestar.
4.3. Universo de estudio y estrategia de estimación
El alcance de esta investigación abarca los hogares del área urbana de Bolivia. Para esto se utilizaron las Encuestas de Hogares proporcionadas por el Instituto Nacional de Estadísticas (INE) paralos años comprendidos entre 2006 y 2015.
La población elegible en las microsimulaciones considera únicamente a mujeres de entre 25 y 55 años de edad. Se tomó en cuenta una muestra que comprende la mayor proporción de la fuerza laboral femenina, a diferencia de lo que ocurre en los extremos de la población en edad de trabajar, con el fin de evitar la introducción de errores de medición al momento de realizar las asignaciones aleatorias.
Adicionalmente, con el objetivo de contar con resultados en términos de indicadores de bienestar interpretables, se omitió a las mujeres trabajadoras del hogar cama adentro y a sus parientes. Este procedimiento se realizó para evitar que la situación laboral e ingresos simulados para esta población afecten el nivel de ingresos del hogar al que éstas no pertenecen9. En base a estas consideraciones, en el cuadro 2 se presenta el tamaño del universo de estudio y la muestra de miembros elegibles para la simulación de 2006 a 2015.
Una vez realizada esta delimitación, se agrupó a la población femenina elegible en nueve grupos j. Primero, de acuerdo al nivel de educación primaria, secundaria y superior, y a continuación, de acuerdo al rango de edad establecido entre 25-34, 35-44 y 45-55 años. Esta agrupación responde a la necesidad de separar los factores sociales de los factores económicos que, de acuerdo a Frenkel y Rozada (1999), engloban las principales fuentes de variaciones en la distribución de ingresos. La agrupación de la población femenina elegible de acuerdo a los nueve grupos, se resume en el cuadro 3.
La secuencia de las microsimulaciones realizadas sigue un orden lógico para analizar los diferentes efectos simulados, reproduciendo paso a paso el orden utilizado en diferentes modelos del mercado laboral. En este sentido, la secuencia comienza con la decisión de formar parte o no del mercado laboral. A continuación, el mercado laboral determina si es que la población activa encuentra o no un puesto laboral. Si es que encuentran una ocupación, dadas las condiciones del mercado laboral, necesidades personales, intereses y habilidades, se define a qué sector ocupacional pertenecen. Finalmente con la asignación, a partir de números aleatorios, de un nivel de ingresos laborales promedio correspondiente al sector ocupacional contrafactual.
Siguiendo a Ganuza et al. (2002), a continuación se detalla la estrategia empírica utilizada para simular el cierre de las brechas de género en cada una de las esferas del mercado laboral estudiadas.
4.3.1. Participación laboral (εm)
Para aproximar el efecto de la desigualdad de género en la inserción laboral sobre la pobreza, se estimó la tasa bruta de participación de cada uno de los nueve grupos de mujeres elegibles. De forma paralela, se estimó este indicador para la población masculina agrupada bajo los mismos criterios de educación y rango de edad. Para simular el cierre de las brechas de género se igualaron los indicadores de participación laboral de los j grupos de mujeres, a los indicadores de los j grupos de varones, respectivamente.
A continuación, la población elegible de cada grupoj fue ordenada de acuerdo a su estado laboral, comenzando por la población que es económicamente activa y después en base a números aleatorios generados a partir de una distribución normal. Para todos los grupos j en los que la tasa de participación contrafactual es menor a la original, i.e., los grupos en los que las tasas de participación de la población masculina es menor a la de su contraparte femenina, las mujeres económicamente activas fueron reclasificadas, en el margen, como económicamente inactivas, y sus ingresos laborales fueron igualados a cero.
En cambio, se reclasificaron, en el margen, a las mujeres inactivas como activas cuando el indicador laboral contrafactual superó al original. Subsecuentemente se determinó, a partir de un proceso aleatorio, quiénes acceden a una ocupación, y a qué sector ocupacional ingresarían. Como último paso, se asignó a la nueva población ocupada un nivel de ingreso laboral igual al promedio de los ingresos del cuartil aleatoriamente asignado de acuerdo al sector ocupacional contrafactual y grupoj al que pertenecen. A partir de la nueva distribución de ingresos se calcularon los niveles de pobreza moderada y extrema, y se los contrastaron con los niveles originales de cada año10.
Para facilitar la comprensión de esta estrategia, se ilustra en el cuadro 4 el procedimiento seguido para el primer grupo j en 2006. En este caso, dado que la tasa bruta de participación de la población elegible fue menor a la de su contraparte masculina (con 58.33% frente a 97.09%), se simuló el incremento en 38.76 p.p. de la participación femenina. Para definir qué mujeres pasan de la inactividad a la actividad se ordenó a la población femenina en base de números aleatorios, siendo las mujeres localizadas en el margen de la población activa e inactiva, aquellas elegibles para pasar de un estado al otro. A continuación, en base a las tasas de desocupación, formalidad e informalidad originales, así como también de números aleatorios, se definió el estado ocupacional y sector laboral simulado para las nuevas mujeres económicamente activas. Para finalizar, a la nueva fuerza lab oral ocupada s e le asignó el nivel de ingresos laborales promedio correspondiente al cuartil de ingresos del grupo k contrafactual, al que aleatoriamente fue asignada.
4.3.2. Estado ocupacional (θm)
Siguiendo el procedimiento anterior, se estimó la tasa de ocupación y de desempleo de cada grupo j de mujeres elegibles, así como también de los varones agrupados bajo los criterios de educación y rango de edad. La brecha de género en esta esfera se define como la diferencia en las tasas de desempleo que existe entre varones y mujeres de cada grupo, y al igual que el caso anterior, la alteración de las tasas de desempleo se realizó para las mujeres elegibles en la simulación, igualando sus tasas de desempleo al nivel de los varones, respectivamente para cada grupo j.
Para cuantificar los índices de pobreza y de desigualdad a partir de este proceso, se consideró únicamente a la población económicamente activa elegible para la simulación. En cada grupo j los individuos fueron ordenados de acuerdo a su condición de empleo, comenzando por la población ocupada, y a continuación, en base de número aleatorios.
Para los grupos j en los que las tasas de desocupación contrafactuales son mayores al escenario original, las mujeres ocupadas fueron reclasificadas, en el margen, como desocupadas, y sus ingresos laborales fueron igualados a cero. En cambio, para los grupos j en los que las tasas de desocupación son menores a las originales, las mujeres desocupadas que se localizan en el margen fueron reclasificadas como ocupadas. A continuación, a partir de procesos aleatorios, se determinó el sector ocupacional y nivel de ingresos laborales promedio al que estas accederían, ante las condiciones simuladas.
4.3.3. Segregación laboral (δ m)
Siguiendo la misma estrategia, se cuantificaron los efectos de la segmentación laboral igualando los shares de actividad formal e informal de las mujeres pertenecientes a cada grupo j con los de su contraparte masculina. En la simulación, únicamente las personas ocupadas son consideradas y, al igual que en los ejercicios anteriores, se estimó el ingreso laboral promedio por cuartiles de cada grupo j de mujeres en ambos sectores ocupacionales.
A continuación se ordenó a la población de cada grupo j de acuerdo al sector ocupacional, comenzando por los empleos formales, y después en base de números aleatorios. Una vez introducidas las tasas de formalidad e informalidad contrafactuales, se determinó qué mujeres pasarían de un sector al otro a partir del proceso aleatorio.
En los grupos j en los que la nueva proporción de mujeres informales es menor a la original, las mujeres de este sector ubicadas en el margen del ordenamiento aleatorio fueron relocalizadas al sector formal. De la misma forma, en los grupos en los que la proporción de mujeres informales es mayor a la original, las formales fueron relocalizadas al sector informal. En ambos casos, a las mujeres que cambiaron de sector se les asignó aleatoriamente el cuartil de ingresos laborales correspondiente a su nuevo sector de ocupación, y sus ingresos laborales originales fueron reemplazados por el promedio de los ingresos laborales del cuartil asignado.
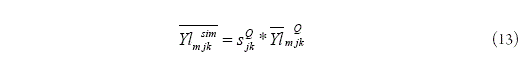
4.3.4. Ingresos laborales (ωm)
Como primer paso se generaron ingresos laborales mensuales promedio por percentiles, de acuerdo a la distribución de ingresos para cada uno de los 18 grupos jk de mujeres. De forma similar, se generaron ingresos laborales promedio considerando la distribución de ingresos laborales de la población masculina. Este procedimiento se realizó con el objetivo de igualar las distribuciones de las mujeres al nivel de los varones.
Para cada cuartil Q de ingresos laborales de los jk grupos de mujeres, se estimó el ratio
de ingresos laborales como el cociente del ingreso promedio de los varones sobre el ingreso promedio de las mujeres.

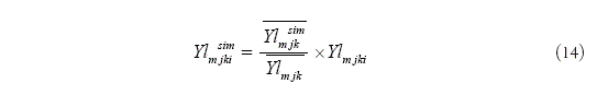
Para cuantificar los niveles de pobreza, si es que la estructura de ingresos laborales de la población femenina elegible fueran iguales a los de su contraparte masculina, se multiplicó el ingreso laboral promedio de cada cuartil Q de la distribución de ingresos del grupo jk por su correspondiente
, tal que:

Finalmente, el nuevo ingreso laboral promedio de cada grupo jk fue expresado como una proporción del ingreso laboral promedio original, y subsecuentemente, el ingreso laboral original de cada individuo elegible del grupo jk fue multiplicado por la proporción correspondiente del grupo:

5. Descripción de resultados
Como se explicó en la sección anterior, se simularon distribuciones de ingresos per cápita de la población, a partir del cierre, individual, de las brechas de género en la participación, ocupación, segregación laboral e ingresos laborales. En base a las distribuciones contrafactuales, se aproximaron los indicadores de pobreza moderada y extrema que se hubiesen observado de 2006 a 2015, ceteris paribus, en ausencia de resultados desiguales entre varones y mujeres en cada uno de las esferas laborales estudiadas. Los indicadores de pobreza calculados se resumen en el cuadro 5.
La comparación entre los resultados individuales de las microsimulaciones y los valores observados, nos permite contar con una aproximación parcial del efecto que tiene la desigualdad de género en cada una de las esferas laborales estudiadas. Esto implica que, cuando los indicadores de pobreza simulados son menores a los observados, la desigualdad de género genera un incremento en la pobreza. O lo que es lo mismo, alcanzar la igualdad de género en los resultados laborales para el periodo estudiado habría contribuido a la reducción de la pobreza urbana. En contraste, a partir de valores simulados iguales o próximos a los observados, se infiere que las circunstancias desiguales entre varones y mujeres no tuvieron implicaciones sobre el bienestar de la sociedad, aproximado a partir de indicadores de pobreza monetaria.
En base a esta lógica de análisis, se observa en el cuadro 6 la diferencia entre los indicadores simulados y observados para cada uno de los periodos de análisis. A partir de estos resultados se evidencia que, en general, los mayores efectos sobre la reducción de la pobreza, desigualdad e ingresos, provienen de cerrar las brechas de género en los ingresos y en la participación laboral. Esto a partir de la igualación de los ingresos laborales promedio de las mujeres al nivel de los varones y del incremento de la fuerza laboral femenina, respectivamente. En contraste, la igualación en las tasas de desocupación, formalidad e informalidad entre varones y mujeres no presentó efectos significativos sobre estos indicadores de bienestar.
De acuerdo a los resultados obtenidos, se evidencia que, al simular el cierre en las distribuciones de ingresos laborales promedio, controlando por las características educativas y el rango de edad, los niveles de pobreza moderada habrían disminuido en 4.83p.p. en promedio para el periodo comprendido de 2006 a 2015. El efecto máximo de este indicador se da en 2008, con una reducción de la pobreza de 6.01p.p.; y el efecto mínimo, en 2015, con una reducción de 2.87p.p..
Para la simulación en la participación laboral, se observa que, de 2006 a 2015, la desigual inserción laboral entre varones y mujeres implicó, en promedio, el incremento de la pobreza moderada en 3.42p.p. El mayor efecto sobre la pobreza se observa para 2015, con una disminución de 4.23p.p. de la pobreza, y el menor efecto se evidencia para 2006, con una disminución de 2.94p.p. Los indicadores de pobreza moderada observados y simulados a partir de las modificaciones introducidas en las cuatro esferas de 2006 a 2015 se ilustran en el gráfico 7.
De forma similar al indicador de pobreza anterior, se observa en el cuadro 6 que, en general, los mayores efectos sobre la pobreza extrema provienen de los efectos ingreso y participación laboral. No obstante, en ambas simulaciones los resultados obtenidos fueron significativamente menores a los que se observan en el indicador de pobreza moderada. Como se evidencia, la igualación en las distribuciones de ingresos laborales habría significado en promedio para el periodo de estudio, la disminución de este indicador en 2.41p.p., mientras que el incremento de la participación laboral de la población elegible en la simulación habría significado la disminución de la pobreza extrema en 1.86 p.p.
Como se aprecia en el primer caso, el mayor efecto en la simulación se dio en 2007, con una disminución en la pobreza extrema en 4.25p.p., frente a una variación mínima del indicador en 2015, con una disminución en este indicador de 1.31 p.p.. En el caso de la participación laboral, el mayor efecto corresponde a 2007, con una disminución de la pobreza extrema de 2.65 p.p., mientras que el menor efecto corresponde a 2014, con una disminución de 1.16 p.p. El contraste entre ambos efectos se aprecia en el gráfico 8.
Como se mencionó anteriormente, al cerrarlas brechas de género en el estado ocupacional a partir de la igualación en las tasas de desocupación y ocupación de las mujeres elegibles al nivel de los varones, no se observaron cambios significativos en los indicadores estimados. Este resultado es un reflejo de los bajos niveles de desempleo para la población urbana en general, y de la reducida brecha de género que existe entre varones y mujeres agrupados de acuerdo a su nivel de educación y rango de edad. Mientras que el primer factor influyó en el tamaño de la muestra, generando en algunos casos indicadores de pobreza no robustos (e.g. periodo 2008 a 2011), el segundo factor redujo las posibilidades de movimiento de la población elegible a partir del proceso aleatorio.
Los resultados observados para las simulaciones realizadas en la segregación laboral pueden ser explicados por dos motivos. En primer lugar, porque, al ser en algunos grupos j mayores las tasas de formalidad originales que las simuladas, los ingresos laborales asignados que corresponden a la categoría informal fueron significativamente menores a los ingresos laborales originales. Motivo por el cual, los resultados de la población ganadora, i.e. población originalmente informal, se vieron compensados por las pérdidas de la población femenina originalmente formal que pasó a ser informal.
Otra posible explicación yace en el hecho de que, al ser las brechas de género en las j categorías grupales pequeñas, se redujeron las posibilidades de movimiento entre ambos segmentos laborales. Por este motivo, tanto las distribuciones de ingresos laborales como los indicadores de bienestar no experimentaron cambios significativos.
6. Barreras que limitan la igualdad
En Bolivia, al igual que en otros países de la región, se experimentaron cambios que influyeron sobre el fortalecimiento del rol laboral femenino. Entre los fenómenos que se atribuyen a esta denominada "revolución silenciosa de la mujer" (Chioda, 2011), se encuentra la expansión de las oportunidades educativas, el cambio en la estructura demográfica, los patrones de crecimiento económico y la progresiva modificación de normas socioculturales relacionadas a los roles y relaciones de género. No obstante, a pesar de estos importantes avances, los resultados del mercado laboral urbano de Bolivia aún son desfavorables para la población femenina.
A pesar de que el alcance de este trabajo se limita a cuantificar los efectos de esta situación sobre la pobreza monetaria, a manera de complementar los resultados obtenidos, se presenta en esta sección la identificación de las barreras que limitan la igualdad. Si bien se reconoce que la situación de género en cada esfera responde a la interacción de complejos factores sociales, culturales y económicos, nuestro análisis se limita únicamente a aquéllos evidenciados en la literatura reciente.
En la esfera de la inserción laboral, uno de los principales factores atribuidos a la situación de desigualdad de género en el área urbana de Bolivia responde al rol que juegan las características familiares y del hogar sobre las decisiones de participación laboral de las mujeres (Hernani-Limarino y Mena, 2014). De acuerdo a Muriel (2005a) y Wanderley (2011), esta situación es explicada por la división del trabajo no mercantil del hogar que recae de forma desproporcional sobre la población femenina.
Ésta no es una característica propia de Bolivia, sino más bien una de las principales explicaciones de por qué en Latinoamérica las brechas de género en la participación laboral siguen vigentes. De acuerdo a Gasparini y Marchionni (2015), esta situación es el resultado de la resistencia social, cultural y/o personal de compartir las responsabilidades del trabajo doméstico, ya sea por el desmerecimiento de la contribución femenina al ingreso del hogar, por las valoraciones privadas de las mujeres sobre los costos asociados al mercado laboral, o por el bajo poder de negociación que tienen al interior del hogar, como resultado de su falta de autonomía económica.
Otro de los aspectos que se considera como barrera limitante en esta esfera responde a la falta de medidas coherentes con los principios y derechos normativos que respaldan a la mujer. En Bolivia, si bien se reconoce la igualdad que tienen en derechos, obligaciones y oportunidades hombres y mujeres en matrimonio o uniones libres dentro del hogar (arts. 62 y 63 de la CPE), la evidencia muestra que las responsabilidades no mercantiles aún recaen sobre las cónyuges femeninas (Wanderley, 2003).
Siguiendo a Wanderley (2011), esta situación se atribuye principalmente a la falta de un consenso pragmático-normativo sobre la conciliación de las actividades laborales y responsabilidades del hogar. Po este motivo, los incentivos generados desde el Estado en la forma de normativas, políticas y programas de acceso universal juegan un rol fundamental sobre las decisiones de participación de la población femenina.
Al igual que en la esfera de participación, las menores probabilidades que tienen las mujeres del área urbana de Bolivia para encontrar un empleo remunerado responden a los castigos que imponen variables reproductivas y del hogar (Hernani-Limarino y Mena, 2014). Principalmente en el caso de las mujeres jóvenes o recién casadas, una de las posibles explicaciones de esta situación responde a los altos costos que implica su contratación para los empleadores, de acuerdo al diseño normativo vigente11.
En cuanto a la segregación laboral, son diversos los argumentos utilizados para explicar la tendencia de sobrerrepresentación de la población femenina en los empleos informales de la economía. Dentro de la evidencia empírica para Bolivia, resaltan tres factores para comprender la vigencia de la segregación laboral. El primero de éstos, argumentado en las bases de la teoría del capital humano, responde al nivel de educación, especialización profesional y a las diferencias en los años de experiencia que existe entre varones y mujeres Siguiendo a Muriel (2005b), este último punto refleja en gran medida la vigencia de asignaciones desiguales en las responsabilidades dentro del hogar que limitan el acceso y continuidad de la población femenina en ocupaciones formales.
El segundo factor que se identifica yace en la presencia de patrones discriminatorios en contra de la población femenina en los empleos formales de la economía. Si bien se rechaza la hipótesis del gusto por discriminar para explicar este hecho, se reconoce que, en parte, la segregación responde al análisis de los costos que implica la contratación de mujeres por parte de los empleadores (Andersen y Muriel, 2007; Muriel, 2005b). Como se mencionó en la esfera laboral anterior, desde nuestra óptica, éste es un resultado de los contra-incentivos que impone la normativa laboral vigente en la contratación de mujeres en el sector formal de la economía, al exigir un tratamiento diferenciado entre varones y mujeres altamente costoso para los empleadores.
Siguiendo a las Naciones Unidas (2015), la elección del empleo informal es una estrategia de supervivencia que no sólo se vincula a las insuficientes oportunidades de trabajo formal y a la fallas del sistema de protección social y de legislaciones laborales, sino también al análisis de los costos y beneficios de ocupaciones formales dadas ciertas características y aspiraciones personales. Respecto a este último punto, en el área urbana de Bolivia el sector informal emerge como la mejor alternativa de muchas mujeres, al permitir compatibilizar sus responsabilidades reproductivas y domésticas con el trabajo mercantil. Esto no significa que el primer mejor de esta población sea el empleo informal, sino más bien refleja la existencia falencias sociales e institucionales que influyen en las oportunidades laborales de las mujeres.
En Bolivia, al igual que en el resto de los países de la región, se evidencian brechas de género en los ingresos laborales, percibidos tanto por las poblaciones asalariadas como por las independientes. En el primero de los grupos, las diferencias salariales entre varones y mujeres es atribuida a diferencias observables y no observables. Al respecto, la evidencia para Bolivia muestra que dentro del primer grupo de diferencias, las variables de educación, edad y segregación ocupacional y sectorial, contribuyen a explicar la vigencia de patrones de desigualdad por género en la remuneración salarial (Muriel, 2005a). No obstante, como se evidencia en Nannesson (2011), aun después de controlar estas características, al 2007 cerca del 26% de las brechas no fueron explicadas.
Para finalizar, en cuanto a la segunda fuente de ingresos laborales, en Andersen y Muriel (2007) se concluye que la desigualdad de género puede ser explicada por la presencia de diferencias en el capital productivo, la menor propensión de la población femenina a optar por préstamos y las menores perspectivas de crecimiento que tienen las mujeres en sus emprendimientos. De acuerdo al levantamiento de datos realizado en este trabajo, las mujeres operan en pequeña escala debido a las responsabilidades del hogar altamente demandantes de tiempo, y también, a la falla institucional que penaliza la constitución de empresas de mayor tamaño.
7. Conclusiones y recomendaciones
La igualdad de género en todas las esferas de la sociedad no sólo es un objetivo legítimo por sí mismo, sino también un instrumento deseable por su contribución al crecimiento económico, desarrollo sostenible y bienestar de la sociedad. En el plano laboral, la consecución de la igualdad en las oportunidades, resultados y derechos entre varones y mujeres, cobra particular interés, al ser considerado como un elemento clave en la promoción de la igualdad, en general, y la reducción de la pobreza, en particular.
Partiendo del reconocimiento del vínculo que existe entre la igualdad de género en el mercado laboral y el bienestar de la sociedad, en este trabajo se estudiaron los efectos de las desigualdades de género gestadas en el mercado urbano de Bolivia sobre la pobreza monetaria. Con este fin, se simularon escenarios en ausencia de brechas de género en cada una de las esferas estudiadas, obteniendo así distribuciones de ingresos e indicadores de bienestar contrafactuales.
A la luz de los resultados, se concluye que la consecución de la igualdad de género en la participación y remuneración laboral en el área urbana de Bolivia tiene posibles efectos sobre la reducción de la pobreza, con una disminución promedio de la incidencia de la pobreza moderada de 2006 a 2015 de 3.42p.p. y 4.83p.p., respectivamente; y de 1.86p.p. y 2.41p.p., en el caso de la pobreza extrema.
Si bien los efectos son modestos, no se puede descartar su significancia estadística sobre el bienestar de la sociedad. A pesar de esto, vale la pena resaltar que los resultados obtenidos no están exentos de sesgos, principalmente debido al desconocimiento de la forma en la que se asignan los recursos al interior del hogar, hecho que nos llevó a simular indicadores de pobreza asumiendo que los ingresos son distribuidos de forma igualitaria. En los hogares más tradicionales, este supuesto podría estar sobreestimando la asignación original de los recursos dirigidos a la mujer y a sus dependientes, y por tanto, subestimando la situación de pobreza medida en términos monetarios. Por este motivo, las mejoras en el rol laboral de esta población introducida en las simulaciones podrían, en la práctica, generar mejores resultados a los expuestos en este trabajo.
A diferencia de los resultados alcanzados en las esferas de participación e ingres os laborales, aun cuando el desempleo afecta más a las mujeres y es mayor la proporción concentrada de esta población en empleos informales, cerrar las brechas de género en el desempleo y la segregación formal-informal, no demostró tener un efecto significativo sobre la reducción en la pobreza. Como se evidencia en este trabajo, la incidencia de la pobreza moderada disminuyó en promedio para el periodo de estudio en 0.02p.p., al igualar las tasas de desocupación y ocupación entre varones y mujeres; frente a 0.01p.p. en el caso de la pobreza extrema. En la esfera de la segregación ocupacional, el efecto de alcanzar un escenario de igualdad implicó, en promedio, la disminución de la pobreza moderada en 0.07p.p., frente a 0.05p.p. para la pobreza extrema.
A pesar de estos resultados, no descartamos la relevancia de las implicaciones de alcanzar la igualdad de género en la lucha contra la pobreza. Esto particularmente en la inserción laboral e ingresos laborales remunerados y no remunerados, en los cuales se evidenciaron las mayores diferencias de género en el plano laboral, con una brecha promedio para el periodo de 17.01 puntos y 888.6 bs, respectivamente, y una transición lenta entre 2006 a 2015 hacia la igualdad.
Por una parte, nuestra posición responde al reconocimiento de que los efectos del fortalecimiento en el rol laboral femenino trascienden las fronteras del bienestar aproximado a partir de la pobreza monetaria. De hecho, como se detalló en la sección correspondiente, la participación laboral y el acceso a ocupaciones de calidad de las mujeres tienen la capacidad de influir en el desarrollo económico a través del capital humano talentoso que significa esta población para la productividad y competitividad de las empresas, y por lo tanto de Bolivia. Y también, a partir del mayor empoderamiento económico de las mujeres, que beneficia de forma particular al desarrollo de los hijos e hijas, mediante la modificación de los patrones de gasto en beneficio de su cuidado, educación y salud.
Por otra parte, nuestra posición responde al reconocimiento de que, en términos generales, el origen de la desigualdad en el plano laboral en el área urbana de Bolivia no es meritocrático. Más bien está fuertemente explicado por la coexistencia de factores de carácter social, cultural e institucional arraigados en nuestra sociedad, los mismos que influyen en las decisiones laborales de las mujeres, al dificultar su balance entre el trabajo mercantil y el trabajo doméstico y reproductivo. Este hecho nos motiva a resaltar la necesidad de un cambio estructural, no sólo para facilitar la compatibilización del trabajo mercantil femenino con el trabajo del hogar, sino también para disociar el concepto de ser mujer de los quehaceres domésticos y reproductivos, y el concepto de ser varón de la generación de ingresos laborales.
Al respecto, a pesar de que en la CPE de Bolivia, en concordancia con el Convenio N° 156 de la OIT12, se reconoce la necesidad de compatibilizar las responsabilidades familiares de hombres y mujeres con las oportunidades laborales, en la actualidad la ausencia de medidas concretas a este respecto continúan restringiendo la integración y permanencia de las mujeres en el plano laboral. Como se evidencia en el país, al margen de este reconocimiento amparado por el instrumento supremo del Estado, y del establecimiento de una normativa que exige la adopción de salas-cuna en empresas con más de 50 empleados, en la práctica no se han fiscalizado las medidas vigentes, ni tampoco se han desarrollado acciones tangibles en cuanto a las obligaciones compartidas dentro del hogar, como licencias de paternidad después del alumbramiento de igual duración a las de las mujeres. Tampoco se han instaurado medidas universales para evitar que las responsabilidades familiares justifiquen la intermitencia de las relaciones laborales o la búsqueda de sectores menos demandantes de tiempo.
Esta situación refleja la existencia de una seria disonancia entre la igualdad formal ante la ley, o igualdad de jure, establecida dentro de los instrumentos jurídicos nacionales e internacionales, y la igualdad sustantiva, de resultados o de facto, que es parte de la responsabilidad establecida desde el Estado. Los efectos de la falta de complementariedad entre lo que se dice y se hace se ven aun más agravados por la vigencia de instrumentos y acciones excesivamente sobreprotectoras que, al exigir un tratamiento diferenciado altamente costoso para los empleadores, decanta en prácticas discriminatorias. Este hecho demuestra que, si bien por definición la igualdad de género implica la necesidad de adoptar un tratamiento idéntico y diferenciado entre varones y mujeres, en la medida en la que se adopte un tipo de acciones sin el refuerzo de la otra para alcanzar la igualdad, se corre el riesgo de generar incentivos contrarios a los perseguidos inicialmente.
Desde nuestra óptica, esto es lo que sucede con la Ley General del Trabajo vigente desde 1942. En ella se dispone la exigencia de un tratamiento diferenciado a la mujer sumamente restrictivo en lo que respecta la jornada laboral, disposiciones de actividades y horarios de trabajo aptas para esta población, y permisos exclusivos para ejercer la maternidad después del parto. Si bien estas disposiciones fueron originalmente adoptadas con el fin de proteger la integridad de las mujeres, desde nuestra óptica, su anacronismo contribuye en gran medida a la vigencia de la concepción sesgada de los roles de género dentro y fuera del hogar, así como también de prácticas discriminatorias en contra de las mujeres en el plano laboral.
Es por estos motivos que, en aras de alcanzar la igualdad, y en concordancia con la Recomendación N°165 de la OIT, se sugiere implementar en Bolivia medidas de igualdad sustantiva. Esto a partir del fortalecimiento del rol del Estado sobre el cuidado de hijas e hijos, así como de personas dependientes, para permitir la conciliación del trabajo mercantil y no mercantil de la mujer, principalmente a partir de la provisión de servicios públicos universales de cuidado, de bajo costo y de calidad para los dependientes de todas las mujeres en edad de trabajar, sin restricciones del tamaño y naturaleza de la institución. Particularmente, esta medida debería ser extendida a los grupos excluidos por el modelo de protección social actual, para así aumentar su productividad y fortalecer su compromiso con la fuente laboral, e.g., a trabajadoras y trabajadores independientes y trabajadoras del hogar remuneradas.
Además, se sugiere la modificación de la estructura normativa laboral actualmente vigente, específicamente en lo que respecta a los permisos de maternidad y paternidad diferenciados13, que influyen en la forma en la que se asumen los roles dentro y fuera del hogar. Siguiendo las buenas prácticas de Islandia y Suecia, la modificación sugerida apunta a un cambio en la estructura legislativa que respalde la igualdad en el cuidado de los hijos e hijas entre varones y mujeres a partir de licencias de paternidad y maternidad iguales, siempre y cuando estas licencias no estén ligadas a las funciones reproductivas biológicas de la mujer. Además, reconociendo la carga económica que implica para las empresas la disposición actual de los permisos de maternidad, desde nuestra óptica se debería repensarla extensión de esta medida a ambos conyugues, a partir de una combinación entre la contribución del empleador y del Estado.
En síntesis, consideramos que es necesario repensar la forma en la cual actualmente se aborda la cuestión de género en el plano laboral, sobre todo respecto al rol que juega el Estado al momento de conciliar la vida familiar y laboral de la mujer. Esto no sólo debido a que la vigencia de oportunidades y resultados desiguales entre varones y muj eres en el plano laboral significa una violación al derecho de la igualdad internacionalmente reconocido, sino también por los potenciales efectos vinculados a la consecución de la igualdad en la participación e ingresos laborales sobre la pobreza monetaria, que se evidenciaron en este trabajo.
Para finalizar, es de nuestro interés motivar a la generación de nuevos trabajos de investigación en el estudio de género en el mercado laboral, con la finalidad de abordar las limitaciones presentes en este documento. Esto particularmente en lo que respecta el análisis causal de las variables estudiadas y en la ampliación del estudio hacia el análisis de la situación de desigualdad sobre indicadores de bienestar no monetarios. Además, resaltamos el interés de abordar el tema de este trabajo a partir de ejercicios de microsimulación paramétrica, con el objetivo de contrastarlos resultados obtenidos en este trabajo, para así abordar con mayor precisión el tema de estudio.
Fecha de recepción: 13 de septiembre de 2017
Fecha de aceptación: 31 de octubre de 2017
Manejado por la A.B.C.E.
Notas
* Asistente de investigación Instituto de Investigaciones Socio-Económicas Universidad Católica Boliviana "San Pablo". Contacto: marion.martineztorrico@gmail.com.
1 Alcanzar la igualdad, implica la modificación en las circunstancias que obstaculizan el ejercicio de derechos, oportunidades y resultados en igualdad de condiciones. Y no así que hombres y mujeres lleguen a ser "la misma cosa"(González, 2010).
2 Se utilizó el concepto de empleo en la economía informal para aproximar la formalidad y la informalidad.
3 Siguiendo a Lay (2010), el comportamiento del mercado laboral puede ser entendido como aquellas decisiones que toman los agentes económicos ante modificaciones de su entorno laboral.
4 El cambio en los parámetros puede ser estudiado de forma aislada y acumulada. Con la finalidad de aproximar el efecto de la igualdad de género en cada etapa y de evitar la presencia del problema de Path Dependence, en este estudio se realizó un análisis aislado de los cambios.
5 En cada simulación se calculó el promedio de los ingresos por cuartil. Estos promedios se asignaron a los nuevos ocupados, o a ocupados existentes que cambiaron de sector laboral.
6 Aplicaciones para América Latina sugieren que basta con repetir 30 veces la selección aleatoria para generar resultados estables (Ganuza etal., 2002; Vos y Sánchez, 2010).
7 Donde ![]()
8 Las otras variables capturadas por el parámetro α son los ingresos laborales de la población no elegible para la simulación y los ingresos no laborales.
9 En las Encuestas de Hogares se considera como miembro del hogar a las trabajadoras del hogar cama adentro y a sus parientes, aun cuando éstos no forman parte del mismo.
10 Este modelo se realizó en base a la adaptación del código libre desarrollado por Cicowiez y Sánchez (2010), y para expandir los resultados obtenidos al área urbana de Bolivia se utilizó el factor de expansión.
11 Dentro de las obligaciones legales se encuentra el pago de subsidios prenatales, natales y de lactancia (art. 32, Ley N° 252; art. 9, Resolución Ministerial N°1 676), descanso remunerado antes y después del parto (arts. 54 y 55, Ley del Trabajo; art. 31, Ley N° 252) y tolerancias remuneradas por motivos de salud y prevención (art. 31, Decreto de Ley N°1 3241).
12 Para una revisión sobre los Convenios y Recomendaciones de la OIT sobre la igualdad de género, ver OIT (2012).
13 De acuerdo a la LGT y DC. 13214, se exigen permisos de maternidad por un lapso 45 días antes y después del parto, mientras que los permisos de paternidad exigidos abarcan un plazo de tan sólo 3 días (DS.1 212).
Referencias
1. Almeida dos Reis J. G. y R. Paes de Barros. 1991. “Wage inequality and the distributionof education: A study of the evolution of regional differences in inequality metropolitanBrazil”. Journal of Development Economics, 36(1), 117-143.
2. Andersen, L. E., y B. Muriel. 2007. “Informality and Productivity in Bolivia: A Gender Differentiated Empirical Analysis” (N° 07/2007). INESAD.
3. Banco Mundial. 2012. “The effect of women’s economic power in Latin America and the Caribbean”. World Bank: Doc. August.
4. Bourguignon, F., F. H. Ferreira y N. Lustig (eds.). 2005. “The microeconomics of income distribution dynamics in East Asia and Latin America”. WB Publications.
5. Bravo, R. 2005. “Las metas del Milenio y la igualdad de género: El caso de Bolivia” United Nations Publications, vol. 71.
6. Castellani, F., y J. Zenteno. 2015. “Pobreza y movilidad social en Bolivia en la última década”. Inter-American Development Bank.
7. CEPAL (s.f.). “Objetivo 3: Promover la igualdad de género y el empoderamiento de la mujer. Objetivos del Desarrollo del Milenio en América Latina y el Caribe”.
8. Cicowiez, M. y M. Sánchez. 2010. “Código de STATA para la aplicación de las microsimulaciones”. Departamento Económico y Social de las Naciones Unidas.
9. Chioda, L. 2011. “Latin American and Caribbean Women in Search of a New Balance”.The World Bank. Washington, USA.
10. Costa, J., E. Silva y F. Vaz. 2009. “The role of gender inequalities in explaining income growth, poverty and inequality: evidence from Latin American countries”. United Nations Development Programme (UNDP). International Policy Centre for Inclusive Growth (IPC-IG).
11. Elborgh-Woytek, K., M. Newiak, K. Kochhar, S. Fabrizio, K. Kpodar, P. Wingender y G.Schwartz. 2013. “Las mujeres, el trabajo y la economía: beneficios macroeconómicos de la equidad de género”. Documento de análisis del personal técnico del FMI.
12. Estrades, C. 2013. “Guide to Microsimulations Linked to CGE Models: How to Introduce Analysis of Poverty and Income Distribution in CGE-based Studies”. AGRODEP technical Note TN-09.
13. Frenkel, R. y M. G. Rozada. 1999. “Liberalización del balance de pagos: efectos sobre el crecimiento, el empleo y los ingresos en Argentina”. Centro de Investigaciones en Economía.
14. Ganuza E., R. Paes de Barros y R. Vos. 2002. “Labour market adjustment, poverty, and inequality during liberalization”. En: R. Vos, R. Paes de Barros y L. Taylor (eds.) Economic Liberalization, Distribution and Poverty. Latin America in the 1990s, Cheltenham (UK),Northampton (MA): Edward Elgar Publishers, 54-88.
15. Gasparini, L. y M. Marchionni. 2015. “Bridging gender gaps? The rise and deceleration of female labor force participation in Latin America”. CEDLAS. La Plata: Universidad Nacional de la Plata.
16. González, P. 2010. “Mujeres y hombres: identidades y relaciones construidas por la sociedad”. En: Desarrollo Humano en Chile. Género: los desafíos de la igualdad, pp. 27-32. Santiago de Chile: Programa de Naciones Unidas para el Desarrollo.
17. Gradín, C., C. Río y O. Cantó. 2006. “Poverty and Women’s labor market activity: the role of gender wage discrimination in the EU”. Society for the Study of Economic Inequality,Working Paper Series, 2006-40.
18. Harkness, S., S. Machin y J. Waldfogel. 1997. “Evaluating the pin money hypothesis: The relationship between women‘s labour market activity, family income and povertyin Britain”. Journal of Population Economics, 10(2), 137-158.
19. Heckman, J. J., J. Stixrud y S. Urzua. 2006. “The effects of cognitive and noncognitive abilities on labor market outcomes and social behavior”. Journal of Labor Economics,24(3), 411-482.
20. Hernani-Limarino, W. L., y G. Mena. 2014. “Entendiendo las desigualdades de género en el mercado laboral. Una aplicación al caso boliviano” Fundación ARU (N°. 03/2014).
21. Klasen, S. y F. Lamanna. 2009. “The impact of gender inequality in education andemployment on economic growth: new evidence for a panel of countries”. Feminist Economics, 15(3), 91-132.
22. Lay, J. 2010. “Sequential macro-micro modelling with behavioural microsimulations”. International Journal of Microsimulation, 3(1), 24-34.
23. Monsueto, S. E., y R. C. S. Simão. 2008. “Impactos de la discriminación por género sobre la pobreza brasileña”. Revista de la CEPAL.
24. Morrison, A. R. 2007. “Gender equality, poverty and economic growth”. World Bank Publications, vol. 4349.
25. Muriel, B. 2005a. “Female labor market conditions in urban Bolivia”. Maestrías para el Desarrollo, Universidad Católica Boliviana “San Pablo”, WP. N° 3.
26. ---------- 2005b. “Female Labor Force Participation in Urban Bolivia”. Maestrías para el Desarrollo, Universidad Católica Boliviana “San Pablo”, WP, Nº 4, 2005.
27. Muriel, B., E. Bernal y G. Olivarez. 2015. “Pobreza, ingresos laborales y trabajo en Bolivia”. Development Research Working Paper Series 09/2015, Institute for Advanced Development Studies.
28. Naciones Unidas. 2015. “The World’s Women 2015, Trends and Statistics”. Departamento de Asuntos Económicos y Sociales. Nueva York, Estados Unidos.
29. Nannesson, F. 2011. “Gender and Income in Bolivia, Economic Development in LatinAmerica”. University of Copenhagen, Department of Economics.
30. OIT. 2012. “Igualdad de género y trabajo decente: Convenios y Recomendaciones claves de la OIT para la igualdad de género”. Ginebra, Suiza.
31. Parada, C. 2016. “Empleo femenino, pobreza y desigualdad. Un análisis de microdescomposiciones. Uruguay (1991-2012)”. El trimestre económico, 83(330).
32. PNUD. 2013. “Perfil de estratos sociales en América Latina: pobres, vulnerables y clases medias”. United Nation Development Program, United Nations.
33. Spadaro, A. (ed.). 2007. “Microsimulation as a tool for the evaluation of public policies: methods and applications”. Fundación BBVA.
34. Uribe, A. y W. Hernani-Limarino. 2013. “Pobreza monetaria. Crecimiento y redistribución”. Revista Latinoamericana de Desarrollo Económico, 11(20), 149-230.
35. Vos, R. y M. V. Sánchez. 2010. “A non-parametric microsimulation approach to assesschanges in inequality and poverty”. UN.
36. Wanderley, F. 2003. “Entre el hogar y el mercado: modelo de división del trabajo porgénero. Inserción laboral y trabajo no mercantil: un abordaje de género desde los hogares” CIDES-UMSA, N°. CD-IICA- E50. M9-W8i.
37. ---------- 2011. “El cuidado como derecho social: situación y desafíos del bienestar social en Bolivia”. OIT, Programa Regional de Género y Trabajo Decente.
Anexo de gráficos
Anexo de cuadros























