Servicios Personalizados
Revista
Articulo
Indicadores
-
Citado por SciELO -
Accesos
Links relacionados
-
Similares en
SciELO
Compartir
Revista Latinoamericana de Desarrollo Económico
versión impresa ISSN 2074-4706versión On-line ISSN 2309-9038
rlde n.18 La Paz nov. 2012
ARTÍCULOS CIENTÍFICOS
Perspectivas de inflación en Bolivia
The perspective of inflation in Bolivia
Tirza J. Aguilar*, Dennis Martin**
Resumen
La inflación en Bolivia ha evolucionado de manera creciente a nivel interno durante el último bienio. Una primera explicación sostiene la presencia de una creciente inflación importada, sobre todo en lo que respecta a alimentos. Una segunda explicación radica en las expectativas generadas por los agentes económicos al interior del país, producto de las políticas económicas los últimos años. En este marco, el presente informe busca pronosticar el comportamiento coyuntural de la inflación mediante la aplicación de un Modelo ARIMA.
Palabras clave: Inflación en Bolivia, inflación de alimentos y bebidas, inflación de transporte, Modelos ARIMA, Modelos VAR
Abstract
In Bolivia the inflation has different ways to evolved, it's continued growth has its explanation is in: the imported inflation, (particularly in the food division), the expectative generated in the country as a result of economic policies in the recent last years.
The domestic inflation is explained more for the inflation in food and beverage and transport. The paper describes the behavior and makes a forecast for the first semester of 2012 through Autoregressive Moving Average models and Autoregressive Vector.
Keywords: Bolivia's lnflation, lnflation of food and beverages, Inflation of transportation, ARIMA models, VAr models.
Clasificación/Classification JEL: C32, E31
1. Introducción1
A nivel mundial, la economía en 2011 enfrentó una desaceleración económica, debido principalmente a la crisis de los principales países europeos. En estados unidos la historia no fue muy diferente, pasando de un proceso inflacionario, con la tasa más elevada, en octubre del mismo año, de 3.5%, y declinando hacia finales debido a la moderación de los precios de las materias primas. A pesar de que está desaceleración afecto a Latinoamérica, la región alcanzó una tasa interesante de crecimiento de 4.3 %, aunque inferior a la registrada el año 2010 (5.9%)2.
Este comportamiento no se tradujo de manera uniforme en el crecimiento de cada país; por ejemplo, Argentina logró una tasa de 9%, mientras Brasil solo alcanzo el 2.9%. Por su parte, Bolivia alcanzó una tasa de crecimiento de 5%, reflejando el efecto rezagado que tienen las crisis internacionales en la economía interna. Al mismo tiempo el país logró mantener estable en términos generales su macroeconomía. Sin embargo, dicha estabilidad no se refleja en todos los sectores productivos, pues éstos no han mejorado sus niveles de crecimiento; por el contrario, han provocado presiones sobre los precios de los productos básicos.
A comienzos del año 2011 el superávit público del país se constituyó en un elemento importante para la política monetaria, dado que está acumulación de recursos fiscales redujo el crecimiento de la base monetaria, relajando la inflación; sin embargo, pese a estos esfuerzos, la inflación acumulada hasta finales del 2011 fue de 6.9%3, tasa superior al crecimiento del PIB registrado (5%). Adicionalmente, la inflación importada también contribuyó a incrementos de la inflación. Hasta mediados de 2011 la inflación importada en el área de alimentos fue la más importante, para luego descender gradualmente. Sin embargo, ésta alcanzó un crecimiento de 13.1% en toda la gestión. Los bienes duraderos, por su parte, sufrieron un incremento en los últimos meses del año. El proceso de encarecimiento de los bienes importados tiene un efecto importante en la inflación nacional, ya que un parte de los bienes consumidos en el país son de carácter importado. A nivel doméstico los productos más inflacionarios fueron las bebidas alcohólicas, los muebles y artículos domésticos, los alimentos y el transporte, entre otros.
En este contexto, el artículo tiene el objetivo de pronosticar la inflación para los siguientes trimestres del año, mostrando las posibles causas de dicho crecimiento. En segundo lugar, se plantean escenarios de la posible evolución de la tasa de inflación en Bolivia ante shocks de un incremento en el nivel de precios de los hidrocarburos. El documento está estructurado de la siguiente manera. En la segunda sección se brinda una breve explicación teórica de lo que es la inflación y las causas de la misma. La tercera sección describe las características de la inflación boliviana durante el periodo 1995-2011, abarcando también el primer trimestre 2012; en este apartado se trata de identificar las divisiones que contribuyeron en mayor medida en el alcance de dicha tasa inflacionaria. En la cuarta sección se realiza una breve descripción metodológica de los modelos utilizados para la estimación de la inflación en Bolivia, así como el modelo de simulación/pronóstico usado. Posteriormente se presentan los principales resultados obtenidos y una sección final de conclusiones.
2. Aproximación teórica a la inflación
El término inflación se refiere al aumento sostenido del nivel general de precios de bienes y servicios en un periodo de tiempo determinado. Este fenómeno involucra una disminución del poder adquisitivo del dinero respecto a la cantidad de bienes o servicios que se pueden adquirir con dicho dinero (Mankiw, 2002).
2.1. Causas de inflación
Los procesos inflacionarios han generado a lo largo de la historia múltiples explicaciones, como ser: i) déficits fiscales; ii) presiones de demanda; ii) fenómenos estrictamente monetarios, y iv) expectativas de los agente económicos. En este apartado revisaremos las principales teorías que se han elaborado para explicar el fenómeno inflacionario y en algunos casos v) la inflación importada proveniente del incremento del precio de bienes comprados en el exterior.
Teoría monetaria
Cuando el crecimiento de la cantidad de dinero supera al crecimiento real de la economía, el desbalance termina produciendo un incremento en los precios. Dicho de otra manera, la tasa de crecimiento de la cantidad nominal de dinero iguala a la tasa de crecimiento de la renta real más la tasa de inflación. En este marco se explica la teoría cuantitativa del Dinero, que sostiene que, ante incrementos en la oferta monetaria, la economía se adapta incrementando los precios de los bienes y servicios. Formalmente, podemos decir que aumenta la "velocidad de circulación del dinero", que en esencia mide la velocidad a la que el dinero cambia de mano en la economía.
Donde:
V = la velocidad de circulación del dinero
P= el nivel de precios de la economía
Y= el PIB en términos reales
P*Y= el PIB nominal
M= la cantidad de dinero en circulación
Esta fórmula nos dice que si el PIB de una economía es de 1 billón de pesos (P * Y) y la cantidad de dinero es de 0,1 billón de pesos, éste dinero tendrá que cambiar 10 veces de mano a lo largo del año. Si despejamos de esta fórmula el nivel de precios, tenemos:
Teniendo en cuenta que la velocidad de circulación del dinero suele ser bastante estable en el tiempo y admitiendo, como sostiene la escuela clásica, que el dinero es neutral (no afecta al nivel de producción), se deduce que si aumenta la cantidad de dinero necesariamente esto termina provocando un aumento de precios (inflación).
Teoría keynesiana
La teoría económica keynesiana propone que los cambios en la oferta monetaria no afectan a los precios de forma directa sino indirectamente, a través de diversos mecanismos. La inflación es entonces el resultado de esos procesos económicos que se expresan en los precios. La emisión monetaria es considerada la principal causa de la inflación, pero no la última. La teoría propone otros procesos que se expresan en la inflación. En este marco, esta teoría propone tres causales adicionales de inflación, "el modelo del triángulo".
a) Inflación de demanda, producida cuando la demanda general de bienes se incrementa, sin que el sector productivo pueda adaptar la cantidad de bienes producidos a la demanda existente.
b) Inflación de costos, producida cuando los costos de producción se encarecen y en un intento de mantener la tasa de beneficio los productores incrementan los precios.
c) Inflación autoconstruida, es decir, una inflación inducida por expectativas adaptativas4, a menudo relacionadas con una espiral de ajustes de la relación precios-salarios.
Teoría del lado de la oferta
Esta teoría centra su análisis en las variables del lado de la oferta relacionadas con la disminución de la productividad, donde los costos de producción están compuestos por la retribución del factor trabajo (sueldos y salarios) la retribución del capital (los beneficios) y el precio de los recursos naturales empleados. El origen de la inflación se da a través de la espiral de salarios, donde, si en algunas empresas los incrementos en la productividad laboral permiten conseguir mejoras salariales notables, los trabajadores del resto de las empresas o ramas productivas tratarán de obtener las mismas mejoras mediante presiones.
Los que buscan el origen del desencadenamiento de los procesos inflacionistas en una inicial elevación de los costes del capital ponen el acento en la existencia de muchas grandes empresas con mayor o menor grado de poder monopolístico, capaces de aumentar los precios de sus productos por encima de como quedarían determinados por mercados en libre competencia. En otras ocasiones serán las características específicas de los mercados financieros las que originen subidas en los tipos de interés, con el consiguiente encarecimiento de los costes de las empresas endeudadas, que sólo podrán defenderse mediante el alza de sus precios
3. Antecedentes de la inflación en Bolivia
Según datos presentados por el Fondo Monetario Internacional (FMI), en 2011 el crecimiento general de precios a nivel mundial fue de 4.9 % en promedio, superior al registrado el 2010 (3.7%). Por su parte, las economías avanzadas mostraron un crecimiento de 2.7% frente a 1.6% del periodo anterior - y las economías emergentes y en desarrollo un crecimiento de 7.2% frente a 6.1% del periodo anterior (ver Gráfico 1).

En América Latina5, el comportamiento fue diferente al registrado a nivel global. La tasa registrada del índice general de precios para 2011 fue de 6.9 %, ligeramente superior a la del periodo anterior (en 2010 fue de 6.5%). La explicación para dicha tasa recae básicamente en los precios elevados de las materias primas registrados la primera mitad del año (ver cuadro 1).

Desempeño regional
La inflación en la región mostró un crecimiento en la mayor parte de los países. En Argentina se registró una tasa de inflación de 9.5 %, inferior a la tasa de 10.9% registrada el año anterior; las divisiones más inflacionarias fueron en ese país fueron los alimentos y bebidas (7.5%) y la indumentaria (21.2%), entre otros. Por su lado, Brasil registró una tasa de 6.5 %, superior a la registrada el periodo anterior (5.9%) y la mayor desde 2004 (7.4%), pese a la desaceleración que mostró la demanda agregada en ese país. Aunque la inflación fue elevada, no superó el intervalo de tolerancia (meta fijada en 4.5% más-menos dos puntos porcentuales) establecido, siendo el octavo año consecutivo en el cual no se sobrepasa dicha brecha.
La inflación en Colombia aumentó debido a las presiones de la demanda interna, situándola en 3.73%, superior en 0.65 puntos porcentuales con respecto al periodo anterior (3.17%). Tres grupos de bienes y servicios contribuyeron al crecimiento del IPC: alimentos (5.27%), educación (4.57%) y vivienda (3.78%). Chile alcanzó una tasa de 4.4%, por encima del 3.9% esperado y superior a la tasa registrada en 2010 (3%). Los rubros que más contribuyeron a este incremento fueron el transporte (1.2%), los servicios básicos (1.1%) y los alimentos (0.7%).
En Perú se observó una tasa de inflación de 4.75%, superior a la observada en 2010 (2.07%) y por encima del rango superior de la meta definida por el banco central (de un 2%), con un intervalo de variación de un 1%, donde el rubro de alimentos y bebidas fue el más inflacionario, con una tasa de 6.4%.
Desempeño en Bolivia
El Gráfico 2 muestra la inflación acumulada a diciembre de cada año en el período 1995-2011 ya marzo de 2012. Tal como se puede observar, la inflación acumulada a finales de 2011 alcanzó una tasa de 6.9%, tasa que es menor a la registrada el año anterior (7.2%), pero superior a la esperada por las autoridades a principios de 2011.

El último repunte inflacionario en Bolivia comenzó en el último trimestre de 2010, y estuvo explicado principalmente por el incremento de los precios de la gasolina y el diesel que se dio el 26 de diciembre de 2010, mediante el decreto supremo N° 748, el cual fue abrogado el 31 de diciembre del mismo año, pero que tuvo repercusiones en la inflación que se espera se mantengan hasta junio de 2012 (ver Gráfico 2)
Otros factores que acompañaron este proceso inflacionario fueron, la recuperación de las economías desarrolladas y con ella el incremento de los precios de las materias primas. De acuerdo al Banco Mundial, los precios internacionales de los alimentos se incrementaron en 26.8%.
El sector agrícola por su parte mostró un desempeño malo durante 2010, afectado especialmente por problemas climáticos, que se vieron reflejados en el deficiente abastecimiento de los mercados nacionales, provocando especulación y el incremento de los precios de algunos productos agrícolas de la canasta básica de consumo. Los desabastecimientos y el incremento temporal de los precios de la gasolina generaron un factor adicional que incrementó los precios de los bienes contenidos en la canasta básica, dadas las expectativas de los agentes y los problemas de especulación.
En 2011 las presiones inflacionarias se registraron con mayor fuerza durante la primera mitad del año; los rubros de alimentos, bebidas no alcohólicas, restaurantes y hoteles y bebidas alcohólicas y tabaco mostraron índices de inflación altos, los cuales se redujeron en la según da mitad del año. Los alimentos procesados en la gestión estuvieron acompañados por fuertes procesos de especulación y contrabando, especialmente en el caso del azúcar.
El análisis de los cinco artículos con mayor incidencia inflacionaria pone en evidencia la predominancia en la inflación de los alimentos, tanto los procesados como los de origen agropecuario (Gráfico 3). Factores estacionales, además de los shocks que afectaron el desempeño productivo del sector, explican el recurrente posicionamiento de los productos alimenticios entre los que tienen mayor incidencia en la inflación.

Adicionalmente, los efectos del cambio climático (efecto niño y niña) tienen fuertes impactos en el sector agrícola y en los precios del mercado interno, por ende. Al existir una baja en la productividad a raíz de los fenómenos climatológicos, los bienes producidos son más caros en el mercado interno, lo cual contribuye a la inflación interna.
Los cambios en el sector de transportes y la presión por parte de los sindicatos para un incremento en el precio del transporte urbano tienen unas connotaciones importantes a nivel nacional. Tomando en cuenta la elevada tasa de inflación registrada el último año y siendo uno de los artículos que contribuyó en mayor medida a explicar la inflación nacional, requiere especial atención por los efectos negativos que puede tener sobre otros sectores.

A lo largo de 2011, la inflación importada generada por shocks en los precios de la energía y los alimentos siguió siendo un factor importante para explicar la inflación interna. En la primera mitad del año ésta se explicó por el incremento de los precios de los alimentos, los cuales descendieron gradualmente en la segunda mitad del año. Por su parte, los bienes duraderos sufrieron un incremento en los últimos meses del año, lo cual se reflejó en la cifra de inflación importada, que alcanzó en 2011 a un 13.1%.
Los factores de inflación importada y la inflación de alimentos, acompañada de los factores especulativos generados por el incremento transitorio de los precios del diesel y la gasolina aún mostraron sus efectos sobre las expectativas de los agentes económicos a lo largo de 2011. Sin embargo, el Fondo Monetario Internacional anticipa que en 2012 y 2013 los precios tenderán a caer, debido a la fragilidad de la actividad económica y la menor demanda; hasta marzo de 2012 dicha simulación no se ha materializado.
Las elevadas tasas de inflación registradas durante los primeros meses de 2011 tienen su explicación en:
El efecto que siguió al ajuste, temporal, del precio de los hidrocarburos en diciembre de 2010. El ajuste de los combustibles fue de 83 %, lo cual generó un fuerte impacto político y social negativo por el efecto que tiene dicho sector en la economía interna.
El fuerte ajuste inicial de los anteriores precios tuvo dos efectos: i) permitir un ajuste de precios que antes se encontraban reprimidos, y ii) incrementar las expectativas inflacionarias. Estos efectos perduraron aun después de revertida la medida de ajuste del nivel de precios de los hidrocarburos.
El incremento en los precios de los alimentos a raíz de los efectos climatológicos adversos (efectos niño y niña). Como es de esperar, la evolución del IPC de alimentos está fuertemente relacionada a la situación del clima que ha soportado Bolivia durante los dos últimos años. Los periodos largos de intensas lluvias en unas regiones del país en contraposición a periodos prolongados de sequías y focos de calor en otros han afectado el ciclo de producción de los cultivos, presionando al alza de precios de dichos productos.
Las presiones inflacionarias provenientes de los precios de los bienes importados, acompañadas del incremento de las cotizaciones internacionales de los commodities, tuvieron un efecto importante en la inflación nacional. De acuerdo a Vera y Loza (2009), existe un efecto transmisión rezagado de los precios externos de las commodities sobre los precios domésticos y el nivel general de precios, y la transmisión al IPC es de manera directa e indirecta a través de otros artículos afectados por los shocks externos.
La especulación y el contrabando producidos a raíz de las expectativas generadas en los agentes económicos. Dado que los individuos esperan que los precios de los alimentos y otros bienes sigan incrementando, empiezan a tomar algunas previsiones (no necesariamente legales) frente a dicha evolución; si la inflación ha sido alta en el pasado, los ciudadanos podrían esperar que sea alta en el futuro.
4. Metodología
En esta sección se describen los modelos utilizados para pronosticar la inflación en Bolivia para el periodo 2012 y los diferentes escenarios de comportamiento de la misma. En el presente estudio se utilizan conjuntamente Modelos Autorregresivos de Medias Móviles (ARIMA).
La modelación de la serie de inflación a través de un proceso ARIMA (p,d,q) permite predecir la inflación en cada periodo basándose en la información contenida en la serie de periodos anteriores (los rezagos de la serie) y así se obtienen los errores de predicción para cada periodo. Los métodos usados consideraron los efectos calendario, datos atípicos y la extracción de la tendencia del ciclo; mismos que distorsionan la lectura de las variables en estudio por la correlación que presentan.
El objetivo fundamental de la propuesta es proporcionar una estrategia de modelización que evite la imposición de restricciones en que se apoya la identificación de los modelos econométricos convencionales y de esta forma reflejar lo más fielmente posible las regularidades empíricas e interacciones existentes entre las variables objeto de análisis.
4.1. Metodología ARIMA6
Los modelos de pronostico ARIMA, también conocidos como modelos Box-Jenkins7, usan patrones de datos que, sin embargo, puede que no sean fácilmente visibles en la serie de tiempo. El modelo usa funciones en diferencias, autocorrelación y autocorrelación parcial para ayudar a identificar un modelo aceptable. Es así que el modelo ARIMA representa una serie de pasos de filtraje hasta que solo quede ruido aleatorio.
El modelo ARIMA multiplicativo estacional para series con observaciones mensuales permite;
a) Considerar la relación que puede existir entre las observaciones de meses contiguos dentro de los años.
b) Considerar la relación que puede haber entre años para las observaciones de los mismos meses.
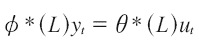
Un modelo ARIMA es un modelo dinámico de series de tiempo, es decir, las estimaciones futuras vienen explicadas por los datos del pasado y no por variables independientes. El modelo ARIMA (p,d,q) se puede representar como:
donde "d" corresponde a las "d" diferencias que son necesarias para convertir la serie original en estacionaria, Φ1,...,Φp son los parámetros pertenecientes a la parte "autorregresiva" del modelo, θ1,...,θp son los parámetros pertenecientes a la parte "medias móviles" del modelo, θ0 es una constante, y εt es el término de error (llamados también innovaciones).
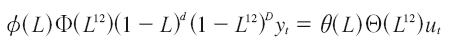
Supondremos que las series de datos vienen generadas por un proceso ARIMA (p, d, q)X(P,D,Q)12) definido como:
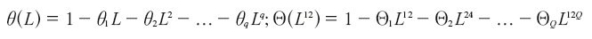
Siendo yt la serie objeto de análisis y L el operador de retardos, tal que Lpxt = Xt-p,Φ(L) y Φ(L12) son los operadores polinomiales autorregresivos regulares y estacionales, respectivamente, cuyas raíces características deben caer fuera del círculo unitario, y que definiremos como:
Donde θ(L) y Θ(L12) son los operadores polinomiales de medias móviles regulares y estacionales, respectivamente, con raíces características fuera del círculo unitario, y que definiremos como:
siendo ut un ruido blanco gaussiano, esto es, ut ~ NID(0, σ2u)
Tal como se mencionó, se sigue la metodología desarrollada por Box y Jenkins, la misma que contempla cuatro etapas: identificación, estimación, chequeo y predicción. En la primera etapa se trata de identificar el modelo susceptible de haber generado la serie yt. Los instrumentos fundamentales que utilizaremos para identificar el modelo son la función de autocorrelación muestral (FACM) y la función de autocorrelación parcial muestral (FAPM).
Una vez identificado el modelo ARIMA, se procederá a estimar los parámetros del mismo (por el procedimiento de máxima verosimilitud exacta) y a efectuar el chequeo del modelo (analizando tanto la significancia individual de los parámetros como el hecho de que pueda aceptarse que los residuos del modelo son ruido blanco). Finalmente se procede a obtener predicciones (puntuales y por intervalo) para valores futuros de la serie modelada.
4.1.1. Consideración de los efectos calendario y datos atípicos
Siguiendo literalmente el enfoque Box-Jenkins, el análisis univariante de series temporales resulta frecuentemente insuficiente en el contexto de series económicas, debido a que elude diferentes distorsiones que pueden afectarlas series objeto de análisis; al ignorarse este aspecto, no sólo se proporciona una comprensión limitada del comportamiento de las mismas, sino que se puede llegar a alterar sustancialmente los instrumentos utilizados en las cuatro etapas descritas en el apartado anterior. Las principales distorsiones se producen como consecuencia de la existencia de efectos externos que conllevan la aparición de observaciones atípicas y de las variaciones de la composición en los diferentes años del calendario. Un tratamiento univariante riguroso de las series temporales debe considerar, por tanto, el análisis adecuado tanto de datos atípicos como de efectos calendario.
Comenzando por los datos atípicos que pueden aparecer en las series temporales, la detección de los mismos parece imprescindible, puesto que, como señalan Chen, Liu y Hudak (1990), un tratamiento adecuado de los mismos puede mejorar la comprensión de la serie objeto de análisis, así como su evolución.
Se han considerado cuatro tipos diferentes de datos atípicos: datos atípicos aditivos (Additive Outlier, AO), el dato atípico innovacional (Innovational Outlier, IO), el cambio de nivel (Level Shift, LS) y el cambio temporal (Temporary Change, TC) (Hillmer, Bell y Tiao, 1983; Chen, Liu y Hudak, 1990; Chen y Tiao, 1990; Chen y Liu, 1993a, 1993b).
Definición de datos atípicos
Podemos definir cada uno de los cuatro datos atípicos mencionados del siguiente modo:
Un dato aditivo (AO) es un suceso (efecto externo) que afecta una serie en un solo instante temporal (t = t0), de manera que podemos expresarlo como:
Donde:
es la variable (impulso) que representa la presencia o ausencia del dato atípico en el periodo t0 y w es el efecto de dicho dato atípico.
Un dato atípico innovacional (IO) es un suceso (efecto externo) que afecta la innovación (ut) del modelo de la serie en un solo instante temporal (t = t0). Se trata, por tanto, de un AO sobre la innovación, cuyo efecto sobre la serie observada no se agota en el periodo de ocurrencia del mismo, sino que se propaga en periodos futuros de conformidad con el modelo ARIMA de la serie. Lo representaremos, por tanto, como sigue:
siendo It0t la misma variable impulso definida en (1A).
Definimos el cambio de nivel (LS) como el suceso que afecta una serie en un periodo, con un efecto permanente sobre la misma. Esto es:
Donde It0t se define como en (1A) y St0t es una variable escalón, que definimos como:
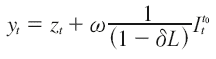
Finalmente, definiremos el cambio temporal (TC) como aquel suceso que tiene un impacto inicial sobre la serie, decayendo el efecto sobre la misma exponencialmente, de conformidad con un factor de amortiguación que denotaremos mediante el parámetro δ, tal que 0< δ < 1. en consecuencia, lo expresaremos como:
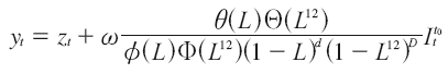
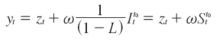
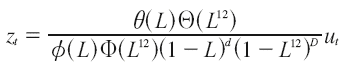
Denotando por yt la serie observada y por zt la serie libre de datos atípicos, que definiremos genéricamente como en (1), esto es:
El procedimiento seguido en este trabajo para detectar los datos atípicos ha sido el desarrollado por Hillmer, Bell y Tiao (1983), y Chen y Liu (1993a), y consta de las siguientes etapas:
Etapa 1. Modelización de la serie suponiendo que no hay datos atípicos y estimación del modelo identificado, obteniendo la serie de residuos del modelo.
Etapa 2. Para cada observación se supone que hay un dato atípico AO (i =1), IO (i = 2), LS (i = 3) y TC (i = 4), estimando el efecto de este dato atípico y su desviación típica; esto es, se obtiene
i(t) y DT [
i(t)] para i = 1,2,3,4 y
t, calculando a continuación los estadísticos:
Etapa 3. Definiendo: ![]()
a) Si
t0 < C, donde C es el punto crítico del contraste, entonces aceptaremos la hipótesis nula de que no hay ningún dato atípico y, en consecuencia, se especificará el modelo ARIMA identificado en la etapa 1 sin datos atípicos.
b) Si
t0 < C, concluiremos que en el periodo t0 hay un dato atípico, dependiendo el tipo del mismo de si el valor máximo del estadístico en el periodo referido corresponde a un AO,IO, LS o TC.
Etapa 4. En el caso de darse (b) en la etapa 3, se trata de obtener una nueva serie transformada, en la que se elimina el efecto estimado del dato atípico detectado en t0, procediéndose a continuación a volver a calcular los estadísticos de la expresión. Las etapas 2 a 4 se repiten hasta que todos los datos atípicos son identificados, esto es, hasta que en alguna iteración nos encontramos con el caso (a) de la etapa 3.
Suponiendo que el proceso finaliza con la detección de k datos atípicos, la especificación del modelo adecuado será:
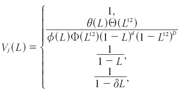
donde zt se define como en, wj es el efecto del dato atípico j-ésimo (j =1,2,...,k) y Vj (L) es un polinomio de retardos que se define, según el tipo de dato atípico que acontece, como:
si el dato atípico j-ésimo es AO
si el dato atípico j-ésimo es IO
si el dato atípico j-ésimo es LS
si el dato atípico j-ésimo es TC
Efectos calendario
Tal como decíamos al principio de este apartado, además de la existencia o no de datos atípicos, las series temporales pueden verse alteradas como consecuencia de las modificaciones que se producen cada año en el calendario. En efecto, cuando trabajamos sobre todo con series mensuales (como las consideradas en este trabajo) y variables flujo (variables cuyos datos mensuales se obtienen por agregación de cifras diarias), resulta obvio que al valor de la serie le va a afectar la composición del calendario, es decir, el número de lunes, martes, etc., que es variable; también puede afectarle la fecha, igualmente variable, de la festividad de la Pascua (semana santa).
A todas estas circunstancias se las denota como efecto calendario, siendo conveniente su tratamiento (cuantificación y eliminación de sus efectos) en el análisis univariante de series temporales, y no sólo para mejorar la comprensión de la serie, sino también porque los mismos pueden llevar, al igual que ocurría con los datos atípicos, a adulterar las diferentes etapas de la metodología Box-Jenkins.
Veamos a continuación cómo podemos incorporar cada uno de estos efectos calendario referidos en el análisis univariante de series temporales.
(1) Efecto días de la semana
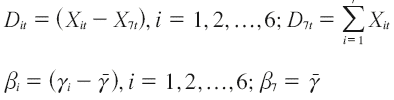
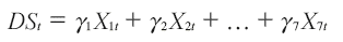
Siguiendo a Cleveland y Grupe (1983) y Hillmer, Bell y Tiao (1983), podemos comenzar ajustando el efecto calendario en el mes t:
Siendo Xit el número de lunes (i = 1), martes (i = 2),..., domingos (i = 7) en el mes t, y siendo γi el efecto de un día tipo i en la variable de interés. La expresión anterior presenta, sin embargo, un problema importante: las estimaciones de los coeficientes tendrán poca precisión como consecuencia de la existencia de multicolinealidad. Para solucionar este problema seguiremos la propuesta de salinas y Hillmer (1987), que plantea la re-parametrización alternativa siguiente:
Donde:
(2) Efecto Pascua
La característica principal de la festividad de Pascua es la movilidad de la misma en el calendario, motivo por el que deben diseñarse variables artificiales que reflejen en cada año el efecto que ejerce sobre la serie objeto de estudio en los meses de marzo y abril. Para modelar el efecto Pascua se hacen las dos hipótesis simplificadoras siguientes: a) suponer un periodo de semana santa fijo igual a τ días, y b) suponer que la incidencia sobre la serie objetivo es la misma durante todo el periodo fijado.
Bajo estos supuestos, la expresión que consideraremos es:
Siendo H = (τ, t) la proporción de días con efecto semana santa anteriores al domingo de Pascua que caen en el mes t.
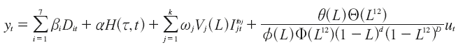
El modelo genérico que especificaremos para una serie temporal, en la que sean significativos los efectos calendario y para la que hayamos detectado k datos atípicos, es, en definitiva, el siguiente:
4.1.2. Extracción de la señal tendencia-ciclo
Toda extracción de señales (Maravall, 1989, 1990; Espasa y Cancelo, 1993) se basa en la definición de un filtro (media móvil) adecuado para resaltarla señal (componente) de interés que debe aplicarse a la serie original (observada). Las formas que adoptan estos filtros originan distintos procedimientos alternativos de extracción de señales, que podemos clasificar en dos grandes grupos: los empíricos y los basados en modelos. En este trabajo utilizaremos el método de extracción de señales basado en modelos de forma reducida, donde se trata de extraer los distintos componentes de la serie analizada del modelo tipo.
Debe observarse que el modelo contiene dos partes bien diferenciadas. Por un lado, una parte aleatoria, constituida por la modelización ARIMA propiamente dicha; y, por otra, una parte determinista, que engloba los efectos de los datos atípicos y del calendario.
La extracción de las señales (componentes) deberá realizarse, por tanto, en dos fases. En una primera, se tratará de extraer las señales de la parte aleatoria por el método de la forma reducida. A continuación, en una segunda fase, se repartirán los elementos de la parte determinista en los distintos componentes identificados previamente.
Para extraer las señales de la parte aleatoria se obtienen los filtros adecuados para estimar los componentes a partir del supuesto de que cada uno de ellos se modela a su vez como un modelo ARIMA. Este método tiene un problema de identificación, como consecuencia de que existen infinitas estructuras (descomposiciones de los componentes de la serie original) igualmente compatibles con el modelo ARIMA de partida, sucediendo, además, que para determinados modelos ARIMA no existe una solución posible de descomposición. Para solucionar el problema de identificación se introduce un supuesto adicional, denominado requisito canónico.
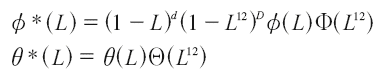
El planteamiento básico de este método8 es el siguiente; sea la serie observada objeto de análisis, cuyo proceso generador de datos viene dado por el proceso:
Donde:
Las raíces de lospolinomios Φ*(L) y θ*(L) se asignan a cada uno de los componentes, tendencia-ciclo (T), estacional (E) e irregular (I), teniendo en cuenta el componente al que teóricamente corresponde. De hecho, se supone que los tres componentes siguen procesos ARIMA de la siguiente forma:
Los polinomios autorregresivos están relacionados mediante la expresión:
De manera que los polinomios de la parte derecha no tienen raíces comunes. Además, se imponen las restricciones de que el orden de los polinomios θT(L) y θE(L) no ha de superar el orden máximo de los polinomios ΦT (L) y ΦE (L), respectivamente, así como la restricción canónica a la que nos referíamos antes, consistente en maximizar la varianza de la innovación del componente irregular (ct), lo que significa que la mayor parte de la variabilidad se concentra en este componente.
Una vez calculados los valores de los parámetros de la expresión anterior, teniendo en cuenta las restricciones que se han señalado, el siguiente paso consiste en aproximar los valores de los componentes correspondientes a la serie objeto de descomposición. Cada uno de estos componentes se aproximará minimizando el error cuadrático medio entre el verdadero componente y la aproximación referida, dando lugar a los siguientes filtros teóricos para cada uno de los tres componentes:
Donde F es un operador de adelantos inverso al de retardos L; es decir:
Una vez efectuada la extracción de señales de la parte aleatoria del modelo, debemos repartir entre los componentes tendencia-ciclo, estacional e irregular, la parte determinista de dicho modelo. En cuanto a la forma de repartir los efectos días de la semana y Pascua hemos seguido el método propuesto por Hillmer, Bell y Tiao (1983) (véase también al respecto Espasa y Cancelo, 1993). Y en cuanto a los efectos de los datos atípicos, debe distinguirse la forma de tratar los AO, IO y TC con los LS.
Por lo que respecta a los tres primeros, cabe recordar que el efecto que los mismos tienen sobre la serie es transitoria (referida al momento único de su ocurrencia en el caso del AO y afectando a periodos posteriores en los otros dos casos, aunque amortiguándose su efecto hasta desaparecer); por ello, estos efectos se asignan directamente al componente irregular, dado que es el que por definición recoge las anomalías que modifican el corto plazo de las series.
En lo que respecta al Cambio de Nivel (LS), dado que el efecto que produce sobre la serie es de carácter permanente, su efecto ha de asignarse en su totalidad a la tendencia, ya que representa un cambio en la evolución a largo plazo de la misma.
Los tres conceptos básicos que permiten configurar el análisis cuantitativo de coyuntura económica son: evolución subyacente, crecimiento sub-yacente e inercia.
La evolución subyacente de una serie es la trayectoria de avance firme y suave de la misma, una vez que a los datos originales se les han extraído aquellas oscilaciones que dificultan el seguimiento del fenómeno de interés. Esta trayectoria es la realmente importante para evaluar la evolución del fenómeno, ya que éste oscila alrededor de ella, de forma que las desviaciones sobre la misma se compensan. Precisamente por ello, en la evolución subyacente se pueden detectar ciertas peculiaridades básicas del fenómeno, que en cambio pueden ser difícilmente perceptibles en la serie original.
En el presente documento se identifica la evolución subyacente de cada una de las series analizadas, como el componente tendencia-ciclo, el cual se obtiene siguiendo la metodología descrita en los epígrafes anteriores. Un elemento primordial para todo análisis de coyuntura es el ritmo de variación (tasa de crecimiento) de las variables analizadas. A este respecto, teniendo en cuenta que las tasas de crecimiento de interés son las anuales, éstas deberán aplicarse sobre el componente tendencia-ciclo de la serie, y resulta conveniente que las mismas estén en fase con los crecimientos9 básicos (entendiendo por tales los crecimientos intermensuales).
Junto a los conceptos de evolución subyacente y crecimiento subyacente, otro especialmente relevante para la evaluación de la situación coyuntural es el de inercia, entendiendo por tal la expectativa de crecimiento a medio plazo de la serie.
A partir de los tres conceptos clave enunciados en el apartado anterior -evolución subyacente, crecimiento subyacente e inercia-, podemos elaborar una estrategia de evaluación de los resultados cuantitativos contenidos en estos conceptos, con el fin de elaborar diagnósticos precisos sobre la inflación boliviana.
Los cinco puntos fundamentales sobre los que se efectuarán los diagnósticos pertinentes son los siguientes:
a) Descripción y valoración de la evolución subyacente
Se trata de determinar si la variable analizada se encuentra en situación de crecimiento acelerado, desacelerado o constante, y a qué tasa de crecimiento avanza en la actualidad. esto se conseguirá analizando la evolución del crecimiento subyacente de la inflación.
b) Análisis respecto a si cabe esperar cambios en el signo de la evolución subyacente
Comparando la situación actual de la evolución subyacente (de crecimiento acelerado, desacelerado o constante) con la expectativa de crecimiento a mediano plazo (inercia), concluiremos respecto a si es probable o no que la situación de la evolución subyacente cambie de dirección y, en caso afirmativo, en qué sentido. Así, si por ejemplo el crecimiento subyacente actual está por encima (por debajo) del valor de la inercia, parece lógico esperar una ralentización (aceleración) de aquél hasta alcanzar el valor de la inercia.
c) Evaluación de la mejoría o empeoramiento de la situación a corto plazo
Se trata de comparar la estimación actual del crecimiento subyacente para el periodo t, con el obtenido con bases informativas anteriores; en concreto, si el crecimiento subyacente que obtenemos para una serie cualquiera en el periodo correspondiente al mes de marzo del año 2012 -tomando como base informativa los datos hasta este meses superior (inferior) al crecimiento subyacente obtenido para la misma serie y la misma fecha -tomando como base informativa los datos hasta el mes de marzo del mismo año-, concluiremos que las perspectivas a corto plazo para la serie objeto de estudio han mejorado (empeorado) en el corto plazo.
d) Evaluación de la mejoría o empeoramiento a mediano plazo
Se trata de comparar las expectativas actuales de crecimiento a mediano plazo con las anteriores, esto es, comparar el valor de la inercia calculado con una base informativa constituida por toda la información disponible, con el valor que se obtenía con una base informativa más reducida. Concluiremos que existe la posibilidad de una mejoría (empeoramiento) a mediano plazo cuando las expectativas actuales de crecimiento a mediano plazo son mejores (peores) que las que se obtenían con anterioridad. En caso de que sean análogas, diremos que a mediano plazo la situación se mantiene estancada.
e) Análisis comparativo de la evolución de las series a nivel regional
Se trata de comparar los distintos aspectos de la serie correspondiente al total nacional (aspectos mencionados en los párrafos anteriores) con los que se obtienen para las diferentes regiones consideradas.
4.2. Modelización
En el modelo se utilizó la descripción y valoración de la evolución de la inflación subyacente, misma que se usó para evaluar la mejora o deterioro de la situación a corto plazo. Lo que se quiere hacer es comparar la estimación actual del crecimiento de la inflación subyacente para el periodo 2012 en base a la información de la inflación de periodos anteriores hasta los datos observados a marzo de 2012; y como año base de referencia el año 200710.
5. Resultados
a) Comportamiento de la inflación (ver cuadro 3)
• La inflación acumulada a 2010 fue de 7.18%, en 2011 fue de 6.90%. Y se espera que la inflación acumulada para fines de 2012 sea de 6.56% (-4.93% respecto al año anterior).
En corte a marzo de 2010, la inflación acumulada fue de 0.22%, en marzo de 2011 fue de 3.89%, y en marzo de 2012 fue de 1.09%, mostrando una fuerte desaceleración de la inflación respecto al mismo periodo el año anterior.
La fuerte inflación acumulada en el primer trimestre de 2011 se explica claramente como efecto de la suspensión (temporal) de la subvención a los hidrocarburos en diciembre de 2010, que incremento el precio de la gasolina en más de 80%.
Esta medida de choque (gasolinazo) fue suspendida casi de inmediato, sin embargo se produjo el fenómeno conocido como "precios pegajosos", es decir, que los precios se incrementaron como consecuencia del aumento del precio de la gasolina; al revertirse la medida, los precios no disminuyeron en la misma medida.
La metodología utilizada permitió detectar que el gasolinazo de diciembre de 2010 introdujo un dato atípico innovacional (IO) que es un suceso (efecto externo) que afecta la innovación del modelo en un solo instante temporal, pero cuyo efecto sobre la serie observada (inflación) no se agota en el periodo de ocurrencia, sino que se propaga en periodos futuros.
Según el modelo estimado, este IO producto del gasolinazo tendrá un efecto positivo sobre la inflación de hasta 18 meses, por lo que cabe esperar que la incidencia del fenómeno se absorba para junio de 2012.
Según, la metodología de descomposición planteada, diversos fenómenos afectaron el comportamiento de la inflación en 2010 en los meses de marzo, agosto, octubre, noviembre y diciembre, de los cuales solo el gasolinazo de diciembre mantiene un efecto vigente sobre el comportamiento corriente de la inflación.
Enero y febrero de 2011 muestran una fuerte tasa de crecimiento de la inflación, debido a la inflación importada y al fuerte desajuste general del mercado causado por el alza de precios de combustibles a fines de 2010.
En 2011 no se detectaron datos atípicos de gran importancia, salvo un moderado efecto aditivo OA en mayo.

b) Análisis respecto a si cabe esperar cambios en el signo de la evolución subyacente
• La inflación acumulada (IT) es 1.780% y su respectiva inercia es de 1.788%; por lo tanto, existe una ligera aceleración de 0.08% en el comportamiento de la inflación.
Podemos concluir que no cabe esperar un cambio de signo en la evolución subyacente de la serie en el primer semestre de 2012.
Sin embargo, se puede esperar un cambio de signo para la evolución subyacente para la segunda mitad del año, dada la absorción del IO producto del gasolinazo de diciembre de 2010 (este resultado es coherente con un inflación esperada para 2012 de -4.93% respecto al año anterior).

c) Evaluación de la mejoría o empeoramiento de la situación a corto plazo (expectativas de los agentes)
• Comparando la actual tasa de crecimiento subyacente de la inflación con distintas bases informativas IT-12 (formación de expectativas), podemos observar que el crecimiento de la inflación a marzo de 2010 fue de 0.90%, y que la misma expectativa se mantuvo estable para 2011 y 2012 (0.88% y 0.89%, respectivamente).
Este resultado es interesante porque muestra que en marzo de 2010 esperábamos una inflación prácticamente similar para marzo de 2011 y lo mismo respecto a 2012. Sin embargo, la inflación acumulada para 2011 fue muy superior y alcanzo el 3.89%; este hecho no se incorporó dentro de las expectativas de los agentes para 2012.
d) Evaluación de la mejoría o empeoramiento a mediano plazo
• La inflación pronosticada para el primer semestre de 2012 es de 2.27%, mientras que la inercia de junio es de 1.788%; este resultado es coherente con la absorción del IO detectado.
El resultado ratifica una desaceleración de la inflación para el segundo semestre de 2012, que se mantendría hasta noviembre, para luego acelerarse como resultado del fenómeno estacional navideño (cuadro 5).
Se establece que el comportamiento de la inflación mensual es bastante cíclica, mostrando una correlación entre la serie IT e IT+12.

6. Conclusiones
El modelo nos permite determinar que para 2012 se espera una inflación acumulada de 6.56% (-4.93% respecto al año anterior). A pesar de ello, los autores de este artículo consideran que, dada la metodología de cálculo que utiliza el INE para el IPC, es de esperar que la inflación centrada en alimentos sea por lo menos de 9%.
La inflación importada ha sido uno de los factores más importantes en la explicación de la inflación, por lo cual se deberá tener cuidado con este indicador que podría seguir generando presiones inflacionarias. Por tanto, las medidas de la autoridad monetaria en materia cambiaria deberán llevarse adelante con la suficiente anticipación, con el objeto de mantener la competitividad y reducir los efectos de la inflación importada en la inflación nacional. Por lo mismo, las políticas monetarias que permiten controlar los grados de liquidez de la economía deberán realizarse con la suficiente antelación, de modo de poder controlar la inflación interna, dado que ésta tiene un rezago en su efecto sobre la inflación.
El efecto del gasolinazo producido en diciembre de 2010 ha incidido en la aceleración de la inflación hasta 18 meses. Los autores de este artículo consideran que el nivelamiento de precios de la gasolina es una medida adecuada, aunque la misma deberá obedecer a algún criterio de focalización, dado su enorme impacto sobre la inflación; además, debería llevarse delante de manera paulatina y no en una sola reforma de precios.
Finalmente, el ejercicio realizado con la metodología planteada muestra de manera inicial que las expectativas inflacionarias de los agentes económicos son estáticas en el último trienio. Sin embargo, los autores han podido evidenciar que estas expectativas se han mantenido altas en 2010 y 2011, generando especulación y contrabando.
Notas
* Investigador Júnior del Instituto de Investigaciones Socio Económicas de la Universidad Católica Boliviana San Pablo. Contacto: tirza@ucb.edu.bo
** Profesora medio tiempo de la Universidad Católica Boliviana San Pablo. Contacto: dennise_martin@hotmail.com
1 El contenido del documento es responsabilidad de los autores y no comprometen las ideas de la institución a la que pertenecen, así como de la Fundación Hanns Siedel. Los autores agradecen especialmente a Raúl Rubín de Celis y Javier Aliaga por los valiosos comentarios y aportes al estudio.
2 Fuente: CEPAL (2011)
3 Fuente página web del Instituto Nacional de Estadística (INE)
4 Se dice que los individuos tienen expectativas adaptativas cuando basan sus expectativas de lo que sucederá en el futuro teniendo en cuenta lo que ha ocurrido en el pasado.
5 Datos obtenidos de: www.indec.gov.ar; www.ibge.gov.br; www.ine.cl; www.dane.gov.co
6 Metodología desarrollada por Trívez, Reyes y Aliaga (2007).
7 Un análisis detallado de esta metodología, bien conocida por los analistas económicos en la actualidad, puede consultarse, además en Box y Jenkins (1970).
8 Para una mayor profundización en el mismo pueden consultarse los trabajos de Burman (1980), Hillmer y Tiao (1982), Bell y Hillmer (1984), Maravall (1987) y Maravall y Pierce (1986 y 1987).
9 Definimos crecimiento subyacente como la tasa de crecimiento anual centrada obtenida a partir de la evolución subyacente de la serie, esto es, obtenida a partir de su componente tendencia-ciclo, y calculada con predicciones al final de la muestra. Se trata en definitiva de la tasa T112, para el momento t.
10 La serie de datos utilizada no contempla datos anteriores a 1990 por la variabilidad de los precios internos posterior a la hiperinflación ocurrida en Bolivia.
Artículo recibido: 14 de mayo de 2012
Manejado por: ABCE
Aceptado: 10 de septiembre de 2012
Referencias
1. Banco Central de Bolivia (2011). Informe de Política Monetaria. Bolivia. [ Links ]
2. Banco Central de Bolivia (2012). Informe de Política Monetaria. Bolivia. [ Links ]
3. Barro, Robert J. (1997). Macroeconomics. Cambridge, Mass:MIT Press.
4. Blanchard, Olivier (2000). Macroeconomics. Englewood Cliffs, N.J.: Prentice Hall.
5. Box, G. E. P. y Jenkins, G. M. (1970). Time Series Analysis: Forecasting and Control. San Francisco, Holden-Day.
6. CEPAL (2011). Balance preliminar de las economías de América Latina y El Caribe. Chile [ Links ]
7. Chen, C.; Liu, L. M. y Hudak, G. B. (1990). "Outlier Detection and Adjustment in time series Modeling and forecasting", Working Paper series. SCA.
8. Chen, C. y Liu, L. M. (1993a). Joint Estimation of Model Parameters and outlier Effects in Time Series. Journal of the American Statistical Association, N° 88,284-297.
9. Chen, C. y Liu, L. M. (1993b). Forecasting Time Series with Outliers. Journal of Forecasting, Nº12, 13-35.
10. Chen, C. y Tiao, G. C. (1990). Random Level-Shift Time Series Models, ARIMA Approximations and Level-Shift Detection. Journal of Business and Economic Statistics, Nº 8,83-97.
11. Cleveland, W. P. y Grupe, M. R. (1983). "Modeling time series when calendar Effects Are Present". en: A. Zellner (ed.), Applied Time Series Analysis of Economic Data, Washington, Department of Commerce, Bureau of the Census, pp. 57-67. [ Links ]
12. Espasa, A. y Cancelo, J. R. (1993). Métodos cuantitativos para el análisis de la coyuntura económica. Madrid: Alianza editorial.
13. Hillmer, S. C.; Bell, W. R. y Tiao, G. C. (1983). "Modeling considerations in the seasonal Adjustment of economic time series". en: A. Zellner (ed.). Applied Time Series Analysis of Economic Data. Washington, Department of commerce Bureau of the census, pp. 74-100. [ Links ]
14. Mankiw, N. Gregory (2010). Macroeconomics. Boston, MA, USA: WH freeman & co.
15. Maravall, A. (1989). La extracción de señales y el análisis de coyuntura. Revista Española de Economia, Nº 6,119-132.
16. Maravall, A. (1990). Análisis de un cierto tipo de tendencias. Cuadernos Económicos de ICE, Nº 44,127-146.
17. Salinas, T S. y Hillmer, S.C. (1987). Multicollinearity Problems in Modeling time series with trading-Day Variation. Journal of Business and Economic Statistics, N° 5,431-436.
18. Sims, Christopher (1980). Macroeconomics and reality. Econometrica, 48(1), 1-48, enero. [ Links ]
19. Trívez, F. J.; Reyes, A. M. y Aliaga, F. J. (2007). Análisis coyuntural y prospectivo de la industria maquiladora de exportación mexicana. Economía mexicana, 17(1), nueva época.
20. Vera Cossío, Diego A. y Loza Paz, Fabián (2009). Un análisis del efecto de los precios externos de las commodities en Bolivia. Segundo encuentro de economistas del BCB. Septiembre de 2009. [ Links ]
Páginas web consultadas:
































