Servicios Personalizados
Revista
Articulo
Indicadores
-
Citado por SciELO -
Accesos
Links relacionados
-
Similares en
SciELO
Compartir
Revista Latinoamericana de Desarrollo Económico
versión impresa ISSN 2074-4706versión On-line ISSN 2309-9038
rlde n.5 supl.1 La Paz jul. 2005
New Evidence for Exports-Led Growth, Tradables-Led-Growth and Manufacturing-Led Growth: Causality Test Results for Turkey
Serhan Ciftcioglu*, Ramzi Nekhili
Abstract
Using quarterly Turkish data for the period 1987-2004, we first test the Export-Led-Growth hypothesis in two alternative forms: while the test results are supportive of a bidirectional causal relationship between the "growth of export revenues" and "economic growth", we have not found any evidence of a causal relationship between the "share of exports in GDP" and "economic growth". On the other hand, we found evidence of bidirectional causality between the respective output shares of tradables, in general, and manufacturing, in particular, and economic growth. The Granger causality test results also produced evidence of a unidirectional causality running from the "share of mining in output" and "economic growth". However, there is no evidence of causality between the respective output shares of tradables, in general, and each sub-sector of tradables, in particular, and the share of exports in domestic output.
Resumen**
Utilizando datos trimestrales de Turquía para el periodo 1987-2004, primero testeamos la hipótesis sobre el Crecimiento Orientado a las Exportaciones (ELG) desde dos enfoques alternativos. Por un lado, si los resultados del test corroboran una relación de causalidad bidireccional entre el 'crecimiento de los retornos de las exportaciones' y el 'crecimiento económico', en los resultados no se encontró evidencia en la relación de causalidad entre 'la participación de las exportaciones en el PIB' y el 'crecimiento económico'. Por otro lado, encontramos evidencia de una relación causal bidireccional entre el crecimiento económico y la participación en el producto, de los bienes transables en general y los bienes manufacturados en particular. Los resultados del test de causalidad de Granger también muestran una evidencia de la relación causal unidireccional entre la 'participación de la minería en el producto' y el 'crecimiento económico'. Sin embargo, no existe evidencia de causalidad entre la participación en el producto de los bienes transables, en general, y cada subsector transable, en particular; en la proporción de exportaciones respecto al producto.
1. Introduction
Exports-Led Growth (ELG) hypothesis, which argued that export growth contributes positively to economic growth, has caused great deal of controversy in literature simply because the empirical evidence based on testing causality between exports and output is, at best, mixed and contradictory. Some of the studies approving ELG hypothesis include Michaely (1977), Balassa (1978), Chow (1987), Thornton (1996), Doyle (1998), and Xu (1996). Some other studies, particularly disapproving ELG hypothesis, include Granger (1969), Jung and Marshall (1985), Ahmad and Kwan (1991), Shan and Sun (1998), Cuadros et al. (2001), and Sharma and Panagiotidis (2003). Islam (1998) and Konya (2000) are only two of the studies reporting mixed results for different countries.
The contradictory nature of the empirical results is particularly noteworthy simply because the theoretical justifications that are been put forward for ELG hypothesis have been very convincing. The most important ones among these arguments have been listed by Hatemi and Irandoust (2000) as follows: (a) exports facilitate the exploitation of economies of scale; (b) exports relax the binding foreign exchange constraint to allow increases in imports of capital goods and intermediate goods; (c) exports enhance efficiency through increased competition; (d) exports promote the diffusion of technical knowledge, in the long-run, through foreign buyers' suggestions and learning by doing.
The fact that some of the empirical results have not been supportive of ELG hypothesis for at least some countries suggest that one cannot categorically assume that marginal factor productivities are necessarily higher in export sector relative to non-export sector. In other words, the export promotion strategy may not represent a safe path for achieving higher growth rate for a developing economy. This view is also supported by the results of micro studies that investigated differences in productivity and economic behavior between exporting and non-exporting firms. For example, the basic finding of both Clerides et al. (1998) and Aw et al. (1998) is that individual firms, which choose to export in some sub-sectors of manufacturing industry of selected East Asian countries, were already more productive than non-exporting firms before they started to export. Thus, it may be the case that firms are first productive and then exporting rather than the other way around.
The inability of both macro and micro empirical studies to provide evidence in favor of ELG hypothesis has motivated some researchers to investigate the relationship and the nature of the causality between a particular kind of exports (namely manufacturing exports) and economic growth (see Abu-Qarn and Abubader (2000), Hossain and Karunaratne (2002), Bhattacharyya (2001), and Njikam (2003)). The implicit motivation behind this new line of research must have been the intuition that not all kinds of economic activity (aimed at exporting or not) have identically the same effects on economic growth. One important reason for this is the insight that "Learning Potential" is not the same in all activities. In other words, the marginal contribution of "one unit of learning" to total output, in a certain activity, may be higher than others because economic activities possess a large spectrum of opportunities for learning. Therefore, if exporting firms tend to specialize in performing these activities, which have relatively higher potential than others, aggregate growth rate of the economy is likely to be positively affected.
Bhattacharyya (2001) has shown that, during the last decade, for most of the Asian countries, not only the export composition has been changing in favor of manufactures but also within manufacturing exports, an increasing proportion of the region's exports are being accounted for by products, which have a higher level of technology and science. For Asia as a whole, the export share of technology or science-based product categories rose from 42.5 per cent in 1980 to 59.7 per cent in 1994. However, as noted before, whether this trend is largely responsible or not, for the remarkable growth performance of most of the Asian countries over the same decade is an open question. The role played by manufacturing exports as an engine of growth has been analyzed using Granger causality tests for Bangladesh by Hossain and Karunaratne (2002) and for nine MENA (Middle East and North Africa) countries by Abu-Qarn and Abubader (2000). In the case of Bangladesh, the researchers found that, in addition to total exports, manufacturing exports were causing growth in unidirectional way. However, the results of latter study not only rejected ELG hypothesis, for almost all the countries investigated, but also showed that there is no causality between manufacturing exports and growth for countries with relatively low shares of manufactured exports in total exports and for countries with relatively high shares of manufacturing exports they reported bidirectional causality. These countries included Turkey, Morocco, and Tunisia. Only in the case of Israel, a country with the highest ratio of manufactured exports, they found that causality runs in unidirectional way from manufactured exports to economic growth. Moreover, Abu-Qarn and Abubader (2000) indicated that manufactured exports may have a positive impact on economic growth once a minimal threshold of manufactured exports has been reached. In addition, they argued that their interpretation is in line with the observation that developed countries are characterized by a high share of manufacturing in total exports.
The results regarding the possible impact of manufacturing exports on economic growth can provide important insights regarding the critical role that manufacturing industry could still have in determining the long-run economic growth. A study with U.S. data revealed that the productivity growth has been much faster in manufacturing sector relative to services, which to a large extent represents non-tradable sector of the economy particularly for developing countries (Weil, 2005). Such a study suggests that it could be more beneficial to relate the empirical results, regarding the potential growth enhancing effects of manufacturing exports, to the fundamental insights of growth theory. In fact, the empirical applications of Solow's growth model and most versions of endogenous growth theory have suggested that the technological progress and human capital accumulation are the most important engines of growth in the long-run (Sachs and McArthur (2002), Lucas (2000)) On the one hand, technological progress depends on the rate of innovation of new technologies and the rate of adoption or the rate of diffusion of new foreign technologies. On the other hand, Lucas (2000) argued that "learning on the job" seems to be the most important factor (as a determinant of the rate of human capital accumulation) leading to high rate of growth for a single country. Moreover, he argued that, for "learning on the job" to happen on a sustained basis, it is necessary that workers and managers continue to take on tasks that are new to them. Consequently, we can raise two fundamental questions: What are the sectors that are most likely to have relatively higher rate of human capital accumulation based on the process envisioned by Lucas? And, are these sectors part of tradable sector that produces exportables and importables, or non-tradable sector of the economy?
The work of Rivera-Batiz and Romer (1991) has suggested that integration of an economy with the global economy (defined as knowledge spillovers or trade in goods or both) is likely to have positive effects on growth by increasing the stock of knowledge available to that country. Consequently, this positive effect could be also interpreted as "learning by trading". However, as noted earlier, "learning potential" may not be the same in all activities or sectors of the economy. Therefore, the growth effect of trade will particularly depend on the extent to which it leads to an increase in the relative size of the sector that has relatively high "learning potential" and "spillover effects" for the entire economy. For a typical developing country, which is "technological follower" instead of "technological leader", the rate of technological progress will critically depend on the rate of adoption of new foreign technologies. Consequently, the sector with the highest potential of adoption (or diffusion) of new foreign technologies is likely to have higher rate of technological progress. This in turn means that the aggregate growth rate of the economy will critically depend on the relative size of the sector with the highest "learning potential" in the entire economy.
Balassa (1988) argued that the positive technological effects of competition would be operational not only in case of exporting firms but also the competition created by imports for domestic firms in home markets. This would provide incentives for firms to try to improve their operations and keep up with modern technology. In addition to competitive pressure of imports for cost reduction, quality improvement and efficiency, the mere presence of imported products can simply contribute to the flow of new ideas and stock of accumulated knowledge leading to positive externalities in terms of production of new range of products both for home and global markets Balassa's argument regarding the competitive effect of imports has been supported by two studies for Turkey where the higher import penetration resulting from substantial trade reforms in the 80's were found to be correlated with lower price-cost markups (Foroutan (1992), Levinsohn (1993)). Based on these insights, one can intuitively argue that the degree of integration of an economy with the global economy would be a function of not only the relative output share of its exports (or that of exports plus imports) but also the relative size of its tradable sector. In other words, the sector that produces exportables and importables can be considered to be relatively more integrated with the global economy since, by definition, these are the sectors that are facing the global competitive pressures both in global export markets and at home through the presence of imports. It follows that one can intuitively expect to have a higher rate of flow of international knowledge and creation of new ideas in the tradable sector. And this factor is likely to affect both the rate of technological progress and the rate of human capital accumulation positively for the tradable sector. Hence. this may be one of the important reasons behind the empirical evidence that suggests that productivity growth has been historically higher in tradable sector relative to non-tradable sector (Gehrels, 1991).
The results of the empirical studies investigating the nature of the causality between manufacturing exports and economic growth suggest that manufacturing activity may be the key engine of growth among all tradable sub-sectors. Previous literature on convergence of labor productivity levels of less developed countries to those of developed countries, suggested that the "rate of catching-up" will critically depend on the extent to which specialization structure of the country in question is similar to that of the countries operating at the technological frontier (Pasinetti (1981), Beelan and Verspagen (1994)). Besides, the empirical work of Soete and Verspagen (1993) has shown that, for almost all manufacturing sectors, specialization patterns of countries have been converging. This, in turn, underlines the significance of manufacturing sector in terms of accumulation of "stock of knowledge" of the entire economy through the flow of international knowledge. Beelan and Verspagen (1994) have later shown that Turkey was one of the countries in which manufacturing industry has been the driving force behind the increase in the "degree of specialization of the economy.
The relationship between exports and growth has been tested for Turkey in a number of studies reporting contradictory results. While the empirical results of Xu (1996) and Greenway and Sapsford (1994) have supported the ELG hypothesis for Turkey, more recent studies by Abdulnasser and Manuchehr (2000), and Abu-Qarn and Abubader (2000) have not been supportive of a causal relation running from exports to economic growth. Therefore, the issue of a possible relationship between the "degree of openness" or the "degree of integration" and economic growth can still be taken as an open question for Turkey.
The main motivation of our paper is to build on the insights of the earlier literature regarding not only the ELG hypothesis but also the likely interaction between the degree of integration, the accumulation of stock of knowledge through the flow of international knowledge, and the growth rate of an economy. We postulate that the degree of integration with global economy, which has been traditionally measured by the ratio of exports to domestic output, can be alternatively (or even better) measured by the relative size of the tradable sector in domestic output. As explained earlier, our justification for this assumption is related to the fact that, by definition, this is the sector that is exposed to pressures of global competition both through the presence of imports at home, and export substitutes in export markets. This aspect of the tradable sector is likely to make relatively more dynamic and creative than non-tradable sector. In other words, one can intuitively expect the tradable sector to have relatively faster accumulation of stock of knowledge and therefore relatively faster creation of new ideas, due to the relatively faster inflow of international knowledge in this sector. Therefore, our theoretical expectation is that this sector is likely to have relatively higher rate of technological progress and hence its relative size in the economy could positively affect the aggregate growth rate of the economy.
In light of the above discussion, we now briefly state the main goals of our study that utilizes quarterly data for Turkey spanning the time period 1987-2004: The first goal is to test ELG hypothesis for Turkey using two alternative specifications of the hypothesis; firstly we investigate the nature of the causality between the share of exports in GDP and economic growth (as measured by the growth rate of real GDP) and then do the same for the relationship between the growth rate of export revenues (in dollar terms) and economic growth. Our second goal is to investigate the existence of causality between the relative share of tradable sector in GDP and economic growth. Thirdly, we attempt to find out the direction of causality (if any) between the relative share of each sub-sector of tradables and economic growth. In particular, we are interested in testing our hypothesis that the relative share of manufacturing industry in GDP should be causing economic growth. Naturally, we also carry out the causality tests for the relationship between the respective relative shares of agriculture and mining in GDP and economic growth separately. Finally, we attempt to find out whether or not there is any kind of causality between the share of exports in GDP and the respective relative share of each sub-sector of tradables in GDP.
The organization of the rest of the paper is as follows: In Section 2 we describe the data and the empirical methodology on which we base the causality tests. Section 3 is devoted to the presentation of empirical results. The last section concludes with a summary and policy implications of the results.
2. Data and Methodology
2.1. Data
The data consists of a set of Turkish macroeconomic variables obtained from DATASTREAM database. The dataset includes GDP, agriculture, manufacturing, mining, and exports and are expressed in U.S. dollars. The data are quarterly, seasonally adjusted and cover the period 1987:1 to 2004:1. All data points are transformed into logarithmic scale and used to compute GDP growth, percentage share of agriculture in GDP, percentage share of manufacturing in GDP, percentage share of mining in GDP, percentage share of exports in GDP, and export growth.
Our empirical investigations are mostly related to a large body of empirical work on finding relations between macroeconomic fundamentals in terms of Granger causality. In most of similar works, and to examine the possible causality relations between the variables of interest, the statistical properties of the data must be first checked for stationarity and cointegration. The stationarity is diagnosed by conducting a unit root test and the cointegration is performed using Engle and Granger's (1987) and Johansen (1988) procedures. Our empirical work is organized around these tests.
2.2. Methodology
2.2.1. Unit Root Test
The conventional wisdom tells that a unit root test is often necessary before conducting empirical studies on macroeconomic data. A first visual inspection of the data from Figure 1 shows that GDP growth and Exports growth display stationarity, as the mean is constant throughout the sample period, and a certain trend in the other series suggesting a possible unit root.

In fact, since Nelson and Plosser's (1982) paper, the unit root property of macroeconomic data is proven to be widely accepted. Thus, the Augmented Dickey and Fuller (1979) (ADF) test is generally used as in the following form:

where yt is a macroeconomic variable such as GDP, t is a trend variable, and εt is a white noise term. yt is said to have the unit root property if failing to reject H0: p=1
In Table 1, we show the Augmented Dickey and Fuller unit root test on GDP growth, percentage share of agriculture in GDP, percentage share of manufacturing in GDP, percentage share of mining in GDP, percentage share of exports in GDP, and exports growth. The unit root hypothesis is rejected at 1 per cent level for the GDP growth and Exports growth to confirm their stationarity. At the 5 per cent level, the unit root is rejected for the percentage share of mining and the percentage share of exports in GDP The remaining variables display the unit root property. These results suggest us to correct for such inconvenience by shifting the series to their first difference and hence lead to stationarity.

Figure 2 shows the stationary behavior of the first difference of percentage share of agriculture in GDP, percentage share of manufacturing in GDP, percentage share of mining in GDP, and percentage share of exports in GDP. It is worth to mention that the period of upswing of the growth of the GDP in Turkey is equivalent to the period of downswing of the both the agricultural sector (in % of GDP) and the mining sector (in % of GDP), and the period of upswing of the manufacturing sector (in % of GDP).

2.2.2. Cointegration
To test for possible cointegration effect between the macroeconomic series, we first use the Engle and Granger (1987) cointegration test and then the Johansen (1988) test for confirmatory purposes. The Engle-Granger test involves the regression of one variable, say yt, on another, say xt, to obtain the ordinary least squares (OLS) residuals, such as:
![]()
A test of the null hypothesis of no cointegration is based on testing for a unit root in the regression residuals, ut, using the ADF test and simulated critical values which correctly take into account the number of variables in the cointegrating regression. As in Equation 1, we use a constant, a trend variable, and selected number of augmenting lags based on the AIC + 2 rule, which corresponds to reasonable beliefs about the longest time over which one of the variables could help predict the other (in our case the lag is found to be k = 2). The t-values and the asymptotic p-values are computed using the coefficients in MacKinnon (1991). The ADF statistics of Engle-Granger cointegration test of the residuals are shown in Table 2 and suggest that the null hypothesis of no cointegration between each two variables can be rejected at the 1 per cent level and the 5 per cent level. There is thus strong evidence that we do have cointegrating relation between the variables of interest in our study.

Moreover, we use the Johansen (1988) cointegration test to validate the previous cointegration findings. In Johansen's procedure, we assume no deterministic trend and we first test the hypothesis that there are no cointegrating relations (number of cointegrating vectors r = 0) and then the hypothesis of at most one cointegrating vectors. These hypotheses are tested by comparing the trace statistic with the 1 per cent and the 5 per cent critical values. Table 3 confirms the existence of cointegration between these variables of interest in our study. We have also included the traded good sector, or tradables, as an additional variable. Tradables are defined as the sum of the shares of agriculture (in % of GDP), manufacturing (in % of GDP), and mining (in % of GDP).

Consequently, in order to conduct the Granger causality tests, we need to use a model that introduces an error correction term that accounts for cointegration. This is referred as to use an Error Correction Model (ECM) of Johansen (1988).
2.2.3. Granger Causality
In general, the use of the standard Granger causality test when the series are cointegrated leads to invalid causal information. Therefore, the use of error-correction modeling in testing Granger causality is of paramount interest to get correct assessments.
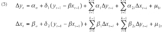
Adopting the bivariate ECM model to test the Granger Causality between and, suggests the use of the following model:

Here δ1 and δ2 denote speeds of adjustment of the variables yt and xt, respectively, to the long-run equilibrium, and μ1t and μ2t are serially uncorrelated errors. In this formulation, failing to reject H01: α21 = α22 = ... = α2k = 0and δ1= 0 implies that yt does not Granger cause xt, while failing to reject H02: β21 = β22= ... = β2k = 0 and δ2=0 indicates that xt does not Granger cause yt.
3. Empirical Results
The results of the pairwise Granger causality test are shown in Table 4. These results stand on their own as empirical facts. We observe that there is evidence of bidirectional causality between GDP growth and manufacturing, and GDP growth and export revenues (in dollar terms). Additionally, the changes in export growth and export revenues lead that in agriculture. Moreover, there is a significant relationship between tradables in general, especially manufacturing and mining, and GDP growth. Thus, it a confirmation of our previous hypothesis that there is a positive relationship running from the relative share of manufacturing in output and the relative size of tradable sector to economic growth. In addition, the ELG hypothesis is supported with export revenues (in dollar terms) but not with export as share of GDP.

These results suggest a number of inferences that could have important implications for policy-makers. First, we notice evidence that growth in the traded good sector has enhanced the growth of the GDP, and that the growth in the agriculture sector has the least possibility of contributing to the growth of the GDP. In other words, a growth propelled by the agriculture sector is the slowest growth possible. Possibly, in the long-run, the Turkish economy is transforming from an agrarian to a service-oriented one. Moreover, any expansion in the traded good sector will produce a growth effect on GDP and vice versa. We can even speculate that the expansion in manufacturing and mining sectors will trigger this effect and can be larger than the growth effect produced by the agriculture sector. However, any expansion in the growth of the GDP will produce an effect of the growth of agriculture. For the Turkish economy, a growth fuelled by the growth in the traded good sector could be seen as a fast growth.
Furthermore, we find that though the traded good sector is a much hyped sector of the economy, yet, it has to be proven whether it has large or very little impact upon the growth of the GDP. The service sector grows along with the growth in the GDP and may have very little potential to accelerate or even to retard the growth of the GDP. In addition, the manufacturing sector is indeed very important, while the non-traded good sector may or may not help in pushing up the GDP. This is merely due to the fact that Granger causality did not provide signs of causality relationships. If the services represent the new economy and the manufacturing represents the old economy, then it is still the old economy that holds things together when the new slip. Services may be the sector where growth is concentrated because the other opportunities have dried up, yet, should growth revive in the manufacturing sector, and then GDP growth will revive too. The industry should look more towards the growth of the manufacturing sector rather than towards the agricultural sector for the revival of the "aggregate demand".
4. Conclusions
One of the goals of our work was to test the ELG hypothesis for Turkey. We tested the hypothesis using quarterly data in two alternative forms. When ELG hypothesis was expressed in terms of the relationship between the share of exports in GDP and economic growth, we found no evidence of causality between the two variables. However, when we investigated the nature of the causality between the growth of export revenues (in terms of U.S. dollars) and economic growth, the causality tests indicated the presence of a bi-directional causality between the two variables and therefore supported the ELG hypothesis.
One of the fundamental insights of our discussion in the first section of the paper was the argument that "degree of openness" of an economy can be alternatively measured by the relative share of tradable sector in economic activity. When we investigated the nature of causality between "openness" and economic growth using this measure of openness. Granger causality tests have produced evidence of unidirectional causality running from the relative share of tradables in GDP to economic growth expressed in terms of growth rate of real GDP. When we investigated the nature of the causality between the relative output share of each sub-sector of tradables and economic growth, the test results have produced evidence of bi-directional causality between the relative output share of manufacturing and economic growth and unidirectional causality running from the relative output share of mining to economic growth. These results are particularly supportive of the argument that the rate of technological progress and therefore growth rate of total factor productivity are likely to be relatively higher in manufacturing sector and that any increase in the relative size of this sector is likely to positively affect the aggregate growth rate of the economy. Even though the relative output share of mining in Turkey is negligible (in the range of 2-3 percent only) and the scope of mining seems to be limited given the known mineral resources of the country, the test results suggest that industrial policies should focus on facilitating the transfer of resources from particularly agriculture and services into not only manufacturing but also mining industries.
Furthermore, our examination of the data produced no evidence about the existence of causality between the share of exports in GDP and the relative share of tradables in GDP in general. Similarly, we found no evidence of the existence of causality between the share of exports in GDP and the respective relative shares of manufacturing and mining in GDP separately. In other words, producing relatively larger share of domestic output in tradable sector in general (or in manufacturing and mining industries separately) does not granger cause bigger share of exports in GDP. Likewise, increasing the share of exports in GDP does not granger cause an increase in the output share of neither tradables in general or that of manufacturing and mining separately. On the other hand, the tests produced evidence of unidirectional causality running from the share of exports in GDP to the share of agriculture in GDP. Similarly, our analysis of the data showed the existence of unidirectional causality running from growth of export revenues to the share of agriculture in GDP. However, we have not found evidence of any kind of causality between the growth of export revenues and the respective relative output shares of tradable sector in general, and manufacturing and mining industries individually. We find this last result particularly peculiar since one would intuitively expect to see some kind of causality particularly between the share of manufacturing in GDP and growth of export revenues. In other words, producing relatively larger amount of tradables and therefore exportables could be expected to have some impact on export growth. However, the Turkish data did not support this argument.
Future research may attempt to investigate the causality between the relative output shares of tradable sector in general and manufacturing in particular, and economic growth for other countries and see whether our results for Turkey can be generalized. If our results are supported by other studies for a variety of countries, which may include cases for which ELG hypothesis has not been supported by the data, this can provide new evidence for the hypothesis that "openness" positively affects economic growth, and provide new insights regarding the best way of measuring the "degree of openness" or "degree of integration of an economy with the global economy" particularly in terms of the "rate of flow of international knowledge and ideas".
Notes
* Faculty of Business Administration. Eastern Mediterranean University; Turkey; Ramzi Nekhili: Faculty of Engineering, Department of Industrial Engineering. Eastern Mediterranean University; Turkey.
** La traducción del resumen del inglés al español es responsabilidad de los editores de la Revista Latinoamericana de Desarrollo Económico.
REFERENCES
Abdulnasser, H. and I. Manuchehr. 2000. "Time Series Evidence for Balassa's Export-Led Growth and Causality in Developing Countries" Journal of International Trade and Economic Development. 9, 355-365.
Abu-Qarn, A. and S. Abubader. 2000. "Export-Led Growth: Empirical Evidence from the MENA Region". Department of Economics, Ben Gurian University of the Neger. Working Paper.
AhmadJ. and A. Kwan. 1991. "Causality between Exports and Economic Growth" Economic Letters 37: 243-248.
Aw, B. Y, S. Chung, and M. Roberts. 1998. "Productivity and the Decision to Export: Micro Evidence from Taiwan and South Korea". NBER Working Paper 6558.
Balassa, B. 1988. "Exports, Policy Choices and Economic Growth in Developing Countries". Journal of Development Economics. 5(2), 181-189.
--- 1998. "Interest of Developing Countries in the Uruguay Round". The World Economy. 11: 39-54.
Beelan, E. and B. Verspagen. 1994. "The Role of Convergence in Trade and Sectoral Growth". In: Jan Fagerberg, Bart Verspagen and Nick Von Tunzelmann (eds.). The Dynamics of Technology, Trade and Growth. England: Edward Elgar Publishing Limited.
Bhattacharyya, B. 2001. "Export Performance". Paper presented at the Expert Group Meeting on Regional Economic Cooperation. Bangkok, 14-16 March 2001
Chow, P.C.Y 1987. "Causality Between Export Growth and Industrial performance Evidence from NICs". Journal of Development Economics. 26(1), 55-63.
Clerides, S., S. Lach and J. Tyboot. 1998. "Is Learning by Exporting Important? Micro-Dynamic Evidence from Columbia, Mexico, and Morocco". Quarterly Journal of Economics. 113:903-947.
Cuadros, A., V. Orts and M.T. Alguacil. 2001. "Re-examining the Export-Led Growth Hypothesis in Latin America: Foreign Direct Investment, Trade and Output Linkages in Developing Countries". Universidad Jaume I de Castellón and Instituto de Economía Internacional, Spain. Working Paper.
Dickey, A. D. and W.A. Fuller. 1979. "Distribution of the estimators for autoregressive time series with a unit root". Journal of the American Statistical Association. 74, 427-431.
Doyle, E. 1998. "Export-Output Causality: The Irish Case 1953-93". Atlantic Economic Journal. 26(2), 147-161.
Engle, R. F. and Granger C. W. J. 1987. "Cointegration and Error Correction: Representation, Estimation and Testing". Econometrica, Vol.55, No. 2 (March 1987), 251-276.
Foroutan, F. 1992. "Foreign Trade and its Relation to Competition and Productivity in Turkish Industry". June. The World Bank.
Gehrels, F. 1991. Essays in Macroeconomics of an Open Economy. New York: Springer-Verlag.
Granger, C. 1969. "Investigating Causal relations by Econometric Models and Cross Spectral Methods". Econometrica. 37, 424-438.
Greenway, D. and D. Sapsford. 1994. "Exports, Growth and Liberalization: An Evaluation". Journal of Policy Modeling 16 (2): 165-186.
Hatemi, A. and M. Irandoust. 2000. "Time Series Evidence for Balassa's Export-Led Growth Hypothesis". Journal of International Trade and Development. 9:3, 355-365.
Hossain, A. M. and N. D. Karuanarate. 2002. "On Export-Led Growth: Is Manufacturing Exports a New Engine of Growth for Bengladesh?". School of Economics, University of Queensland. Mimeo.
Islam, M. N. 1998. "Export Expansion and Economic Growth: testing for Cointegration and Causality". Applied Economics, 30, 415-425.
Johansen, S. 1988. "Statistical Analysis of Cointegration Vectors". Journal of Economic Dynamics and Control. 12(2-3), 231-254.
Jung, W.S. and P. J. Marshall. 1985. "Export, Growth and Causality in Developing Countries". Journal of Development Economics. 14, 241-250.
Konya, L. 2000. "Export-Led Growth or Growth-driven Exports? New Evidence from Granger Causality Analysis on OECD Countries". WP1S/2000, Development of Economies, Central European University, Budapest.
Levinsohn, J. 1993. "Testing the Imports-As-Market-Discipline Hypothesis". Journal of International Economics. 35: 1-22.
Lucas, R. 2000. "Making a Miracle". In: Bardhan and Udry, Readings in Development Economics. Vol. II. MIT Press.
MacKinnon, J. G. 1991. "Critical Values for Cointegration Tests". In: R. F. Engle and C. W. j. Granger (eds.) Long-run Economic Relationships: Readings in Cointegration (Chapter 13). Oxford University Press.
Michaely, M. 1997. "Exports and Growth: An Empirical Investigation". Journal of Development Economics. 4(1), 149-153.
Nelson, C. R., and C.I. Plosser. 1982. "Trends and Random Walks in Macroeconomic Time Series: Some Evidence and Implications". Journal of Monetary Economics. 10, 139-162.
Njikam, O. 2003. "Exports and Economic Growth in Sub-Saharan Africa: Is There a Connection". Faculty of Economics and Management, University of Yaounde, Cameroon. Working Paper.
Pasinetti, L. L. 1981. Structural Change and Economic Growth. A Theoretical Essay on the Dynamics of the Wealth of Nations. Cambridge University Press: Cambridge.












