Servicios Personalizados
Revista
Articulo
Indicadores
-
Citado por SciELO -
Accesos
Links relacionados
-
Similares en
SciELO
Compartir
Acta Nova
versión On-line ISSN 1683-0789
RevActaNova. v.6 n.3 Cochabamba mar. 2014
ARTÍCULO CIENTÍFICO
Evaluación de la agrobiodiversidad en los agroecosistemas del PN-ANMI Serranía del Iñao (Bolivia, Chuquisaca)
Evaluation of the agrobiodiversity in the agroecosystems of the PN-ANMI Iñao Hills (Bolivia, Chuquisaca)
Martha Churqui Fuentes, Reinaldo Lozano Ajata, Martha Serrano & Ariel A. Céspedes Llave
Proyecto BEISA3 Universidad Real Pontificia Mayor San Francisco Xavier de Chuquisaca. Casilla de correos 1046, Sucre, Bolivia
e-mail: mar_300389@hotmail.com
Recibido: 26 de septiembre 2013; Aceptado: 27 de enero 2014.
Resumen: Se realizó la evaluación de la agrobiodiversidad presente en los agroecosistemas del área protegida del PN-ANMI Serranía del Iñao, desde diciembre (2012) a abril (2013). Fueron seis las comunidades evaluadas, Potreros, Las Casas, Pedernal, Azero Norte, Zapallar e Iripití, utilizando el método de encuestas (10 familias por comunidad), conteos directos y colectas botánicas de las plantas cultivadas. Las evaluaciones se realizaron en 3 tipos de cultivos: cultivos extensivos, hortalizas y frutales, para ello se utilizaron índices de diversidad y estadísticos descriptivos de tendencia central. Se ha identificado un total de 140 plantas cultivadas, de las cuales 59 pertenecen a cultivos extensivos, 32 son hortalizas y 49 frutales. La comunidad de Las Casas es la que presenta mayor riqueza (95), seguida por Zapallar (80). En otras comunidades como Potreros (68), Iripití (65) y Pedernal (65) la riqueza de cultivos registrada no es tan baja como en la comunidad de Azero Norte (46). Una de las razones por las cuales existe esta agrobiodiversidades que las plantas consideradas se cultivan tradicionalmente desde antes de la creación del área protegida. A partir de la procedencia de semillas de las plantas cultivadas, se han identificado plantas que preceden a los centros de diversidad y plantas cultivadas introducidas por los agricultores. Haciendo énfasis en las especies provenientes de los centros de diversidad, se demuestra que los agroecosistemas del área protegida aún conservan información genética importante y constituyen un depósito importante in situ de germoplasma de plantas tanto cultivadas como silvestres.
Palabras clave: agrobiodiversidad, agroecosistemas, centros de diversidad, PN-ANMI Serranía del Iñao
Abstract: The agrobiodiversity in agroecosystems of the PN-ANMI Iñao Hills protected area was assessed from December, 2012 to April, 2013. Six communities, Potreros, Las Casas, Pedernal, Azero Norte, Zapallar and Iripiti were evaluated using the survey method (taking 10 families into account per community), direct counts, and botanical collections of cultivated plants. Evaluations were performed on three types of crops: extensive crops, vegetables and fruit plants. Diversity indices and descriptive statistics of central tendency were used. A total of 140 cultivated plants were identified, of which 59 belong to extensive crops, 32 are vegetables and 49 belonged to fruit plants. The community of Las Casas presented the highest species richness (95), followed by Zapallar (80). Other communities such as Potreros (68), Iripití (65) and Pedernal (65) presented a species richness that was above that presented by Azero Norte (46). One of the reasons for this agrobiodiversity, is due to the traditionally cultivation of most of these plants since before the creation of the protected area. Through a study of the origin of the seeds of the cultivated plants, the plants preceding the centers of diversity and crop plants introduced by farmers were identified. Making emphasis on species from the centers of diversity, it is demonstrated that the agro-ecosystems within the protected area still retain important genetic information and are an important reservoirs of germ-plasmfor cultivated and wild plants.
Keywords: agrobiodiversity, agroecosystems, centers of diversity, PN-ANMI Iñao Hills
1. Introducción
La agrobiodiversidad es un subconjunto de la biodiversidad natural que incluye los recursos genéticos de plantas y animales usados para alimentación y la agricultura [25], que según la Convención sobre la Diversidad Biológica (Convention on Biological Diversity)[7],abarca la variedad y variabilidad en los niveles genético, de especies y de los ecosistemas que son necesarios para mantener la producción agrícola.
Actualmente existe una creciente preocupación en torno a la pérdida de la agrobiodiversidad, lo cual ha impulsado los esfuerzos globales para mejorar las acciones de conservación [11]. En 9 de los 14 biomas mundiales, de 20 a 50% de la tierra han sido convertidas en áreas de cultivo y pastura, donde la agricultura moderna es causante de una de las mayores amenazas de extinción de la biodiversidad, tanto en los agroecosistemas como en áreas silvestres naturales [14].
Pero los agroecosistemas que no han sido muy influenciados por la agricultura moderna se establecen como centros de origen con información genética importante para defensa contra enfermedades y plagas o constituyen un depósito importante in situ de germoplasma de plantas tanto cultivadas como silvestres [1][2].
En Bolivia dentro este contexto, existe la misma necesidad de recuperar y conservar la agrobiodiversidad, esto a través del incremento del conocimiento sobre plantas cultivadas propias del país. Por ejemplo, investigaciones realizadas para el Departamento de Chuquisaca muestran una diversidad notable, reportando 68 variedades de cultivos propias del departamento, tales como maíz [24][30], ají [13][24][29], maní [24][40], trigo [24], quinua, frijol [40] y papa [10][40]. Según SERNAP[13], en el caso del área protegida del Parque Nacional y Área Natural de Manejo Integrado (PN-ANMI) Serranía del Iñao, se han reportado 37 variedades de plantas cultivadas de ají, maíz, maní, papa y frijol. Entre ellos se destaca al maní, ají, papa, y maíz, que son especies que tienen variedades locales propias. Pero los esfuerzos no han sido suficientes para conocer la variedad de plantas cultivadas, para frutales y hortalizas.
El objetivo de esta publicación es presentar información de la agrobiodiversidad manejada por los agricultores del área protegida Serranía del Iñao. Además, este es un aporte al conocimiento de las variedades que proceden de los centros de alta diversidad, desde un enfoque de cultivos extensivos, frutales y hortalizas. La intención es la de potenciar la conservación de la agrobiodiversidad propia del área protegida que pueda contribuir a la gestión sustentable de los recursos naturales [40] y a la agricultura sostenible en la región.
2. Metodología
2.1 Área de estudio
El estudio se llevó a cabo en 6 comunidades que se hallan en el área de amortiguación y dentro de los confines del PN-ANMI Serranía del Iñao (Fig. 1). Políticamente, el área protegida está ubicada al noreste del Departamento de Chuquisaca, comprende parte de los Municipios de Villa Vaca Guzmán, Monteagudo, Padilla y Villa Serrano. Geográficamente el área protegida se encuentra ubicado en las coordenadas 18°5600,82 a 19°4858,79 latitud Sur y entre 63°4200,03 a 64°1630,71 longitud Oeste, con un rango altitudinal que varía entre los 520 a 3,030 ms.n.m. El Parque Nacional tiene una superficie de 901,24 km2 y el Área Natural de Manejo Integrado 1.736,22 km2[13][20], y la superficie total es 2 637,46 km2.

2.2 Tamaño de la muestra
Para evaluar la diversidad de plantas cultivadas se realizaron encuestas semi-estructuradas a los agricultores de las seis comunidades del PN-ANMI Serranía del Iñao. Para ello se utilizaron datos del tamaño poblacional de Soto [32] e información proporcionada por los dirigentes de cada comunidad. El tamaño de la muestra para la encuestas se calculó usando el estadístico de poblaciones finitas con un nivel de confianza del 95% y 90% (ecuación 1).

Dónde N representa el total de la población, Za2 equivale a valores tabulados de distribución normal 1,962 (95% confianza) y 1,645 (90% confianza), p es la proporción esperada (en este caso 5% = 0,05 y 1% = 0,01), q es la relación de 1 p(en este caso 1 - 0,05 = 0,95 y 1 - 0,01 = 0,99) y d es la precisión (en este caso 3%, proporción esperada). Realizando los cálculos se obtuvo que el número de familias mínimo por cada comunidad es de 10 entrevistados, por tanto, se realizaron encuestas a un total de 60 familias.
2.3 Diseño de las encuestas y planillas
Las encuestas elaboraron para obtener 3tipos de datos, localidad, demografía, y etnobotánica. Dentro de estos últimos, se documentaron los nombres de los cultivos, la procedencia de la semilla, usos y estado de los cultivos.
Además, se utilizó una planilla de conteos directos en los terrenos de cultivo (chaco o huerta), con el fin de complementar y verificar la información recabada con las encuestas. Esta planilla contiene datos que están divididos en dos partes localidad y botánicos. En los datos de localidad se incorporaron datos geográficos (latitud y longitud), altura y fecha, información que también se utilizó para las colectas botánicas. Con respecto a los datos botánicos, el nombre de la comunidad, número de punto y el número de espécimen, permitió generar el código de colecta (p.e., IP101: I = Iripiti; P1= Punto de colectas 1; 01= primer espécimen).Este mismo código sirvió para generar las etiquetas botánicas, junto a la información geográfica, taxonomía y descripción morfológica.
2.4 Identificación taxonómica de las plantas cultivadas
En laboratorio las muestras fueron tratadas usando los métodos botánicos estandarizados de prensado, secado y montaje [28]. Concluida esta fase se procedió a la identificación taxonómica. Para ello se utilizó material bibliográfico de Torre & Cujo[34], Ugarte & Iriarte [36], León [18], Ramírez [29], Ochoa [26], Terrazas & Gonzales [33], Gabriel et al.[10], Sardan[31], Vargas [38]. Para verificar la correcta grafía de los nombres científicos y verificación de las especies se recurrió a la base de datos TROPICOS [36], y por comparación con los ejemplares de la colección científica del Herbario del Sur de Bolivia (HSB). Las muestras finalmente fueron depositadas al HSB, bajo la numeración de Martha Churqui Fuentes (01 a 177 plantas colectadas) y siguiendo los pasos estandarizados del protocolo interno del mencionado herbario[28].
2.5 Análisis de la agrobiodiversidad
Mediante la unión de las bases de datos generadas de las encuestas y planillas se conocieron aspectos cuantitativos de las especies y variedades cultivadas, además de la composición a nivel de familias. Pero, se evitaron confusiones utilizando como único término plantas cultivadas tanto para especies como variedades, para utilizar los índices ecológicos en los análisis de diversidad. Los índices de diversidad se utilizan para medir la diversidad de especies, pero en este estudio se midió la diversidad de plantas cultivadas, donde se incluyen a las variedades como entidades independientes, ya que estas son generadas por la selección y domesticación del agricultor.
2.6 Medición de la riqueza específica (Diversidad Alfa)
A través del inventario obtenido de las seis comunidades evaluadas con las encuestas y el conteo en las parcelas se calculó la riqueza de cultivos o específica en base al número de especies y variedades presentes, sin tomar en cuenta el valor de importancia de las mismas [22][23]. Se utilizó el índice de diversidad de Simpson, para conocer la estructura de las comunidades (especies y variedades en relación con su abundancia)[39]. Además, se elaboraron curvas de rango-abundancia relativa, para las familias registradas, empleando la ecuación 2.

Dónde pi es la abundancia relativa de la especie i, S es el número total de especies en la comunidad, Ni corresponde al número de individuos de la especie.
Además, se elaboraron curvas de abundancia o de rarefacción individual para estimarla riqueza esperada de las plantas cultivadas y para establecer comparaciones entre las seis comunidades evaluadas[5][6][12].
2.7 Análisis de procedencia de la agrobiodiversidad
Para conocer qué plantas son tradicionalmente cultivadas en el área protegida, se realizaron evaluaciones de los datos procedentes de origen o procedencia de la semilla. Se emplearon estadísticos de tendencia central tales como la media y distribución de frecuencias, para comparar entre cultivos locales (plantas cultivadas nativas)versus otros (plantas cultivadas introducidas). Para los tipos de cultivos extensivos, hortalizas y frutales se utilizó el test de Fisher para medias de dos muestras emparentadas, con un nivel de confianza del 95%. Además, con base en la distribución de frecuencias de los datos de procedencia de la semilla, se estimó la cantidad de especies y variedades locales versus introducidas (otros).
3. Resultados
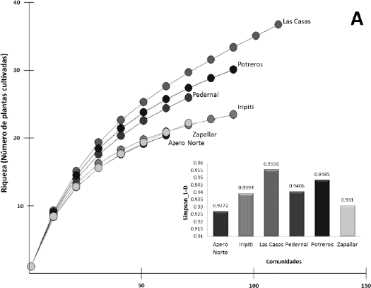
3.1 Riqueza de cultivosSe ha identificado un total de 140 plantas cultivadas en los agroecosistemas del PN-ANMI Serranía del Iñao, de los cuales 59 pertenecen a cultivos extensivos, 32 son hortalizas y 49 frutales (Tabla 1 y Anexo 1). Con respecto a la riqueza de cultivos por comunidad, se registró lo siguiente. La comunidad de Las Casas es la que presenta mayor riqueza de cultivos (95 plantas cultivadas), seguida por el Zapallar (80 plantas cultivadas). En las comunidades como Potreros, Iripití y Pedernal la riqueza de cultivos registrada no es tan baja como en la comunidad de Azero Norte la cual presenta 46 plantas cultivadas (Tabla 1).

Utilizando el índice de diversidad de Simpson se ha encontrado un patrón similar (Fig. 2, recuadro), donde Las Casas es la comunidad que presenta la mayor diversidad (0,9833) y Azero Norte es la comunidad con menor diversidad (0,9665). Para el resto de las comunidades Zapallar (0,9803), Potreros (0,9767), Iripití (0,978) y Pedernal (0,975), no existen diferencias significativas en los valores del este índice.

Las plantas cultivadas identificadas se encuentran agrupadas en 28 familias. De todas ellas, 16 están presentes en todas las comunidades. La familia con mayor riqueza es Fabaceae con 19 plantas cultivadas, seguida de Solanaceae y Poaceae con 17 plantas cultivadas. En cambio las otras familias varían desde 12 a 2 plantas cultivadas: Rutaceae 12, Rosaceae 11, Cucurbitaceae 9, Convolvulaceae 8, Brassicaceae 5, Musaceae y Amaranthaceae con 4, Moraceae, Euphorbiaceae, Asteraceae, Apiaceae y Amaryllidaceae con 3, y Caricaceae y Lamiaceae con 2 (Tabla 2).

Por otra parte la comunidad Zapallar posee la mayoría de las familias registradas (27 familias), siendo Lythraceae la única familia que no se registró en esta comunidad. En Las Casas se tienen registradas 26 familias (Zingiberaceae y Bromeliaceae no han sido reportadas). De manera decreciente, las comunidades de Pedernal (23 familias), Potreros (22 familias), Iripití (21 familias) y Azero Norte (19 familias) presentan menor cantidad de familias registradas. Con base en la relación de familias compartidas, se determinó que existen familias registradas en solo dos comunidades como es el caso de las familias Lauraceae y Passifloraceae, registradas en la comunidad de Las Casas y Zapallar; la familia Lynthraceae en Las Casas y Potreros, y la familia Bromeliaceae registrada en Iripití y Zapallar (Tabla 2). De las familias que se encuentran en todas las comunidades, 10 pertenecen a cultivos extensivos, 16 a frutales y 9 corresponden a hortalizas (Fig. 3). Aunque este análisis es demasiado general, ya que dentro de las familias Fabaceae, Solanaceae, Amaranthaceae y Asteraceae están plantas cultivadas que pertenecen a cultivos extensivos y hortalizas. De la misma manera, en la familia Cucurbitaceaese hallaron frutales y hortalizas.

Por otra parte, se han reportado 3 familias como exclusivas de los cultivos extensivos (Poaceae, Convolvulaceae y Euphorbiaceae). Para frutales también se reportan 3 (Rutaceae, Rosaceae y Caricaceae), y 4 familias solo están presentes en cultivos de hortalizas (Brassicaceae, Apiaceae, Amaryllidaceae y Lamiaceae) (Anexo 1).
3.3 Riqueza de cultivos por tipo de plantas cultivadas
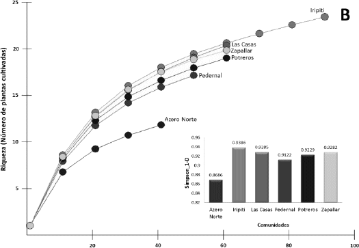
La diversidad de plantas cultivadas en cada comunidad es diferente cuando se analiza por tipos de cultivo (Fig. 4). La comunidad de Las Casas presenta la mayor diversidad en cultivos extensivos y de la misma manera la comunidad de Potreros (Fig. 4A). En cambio, la comunidad de Iripití es la más diversa en los cultivos de hortalizas, aunque no existe mucha diferencia con el resto de las comunidades (Fig. 4B). La comunidad de Las Casas nuevamente es la más diversa en cultivos frutales, como también lo es Zapallar (Fig. 4C). En cambio la comunidad de Azero Norte es la que presentó la menor diversidad en los 3 tipos de cultivos. En la comunidad de Pedernal, la riqueza presentó un valor intermedio.



3.4 Análisis de familia por tipos de cultivo
Son 59 plantas cultivadas que se han identificado para los cultivos extensivos. Según el análisis de rango abundancia, las familias Fabaceae (17 plantas cultivadas) y Poaceae (17 plantas cultivadas) tienen la mayor riqueza (Fig. 5). Esto se debe a que la familia Fabaceae con las 7 especies identificadas influyen en la riqueza, pero son sus variedades las que también aportan a la agrobiodiversidad; este es el caso del maní (Arachishypogaea con 6 variedades) y el frejol (Phaseolus vulgaris con 5 variedades). En el caso de Poaceae, se tiene al maíz (Zea mays, con 9 variedades) y el arroz (Oryza sativa, con 4 variedades). Así mismo, las familias Convolvulaceae (camote, Ipomoea batatascon 8 variedades), Solanaceae (papa, Solanumtuberosumcon 5 variedadesy ají, Capsicumbaccatum can 4 variedades) y Euphorbiaceae (3 variedades de yuca, Manihotesculenta) aportan significativamente a la riqueza de cultivos extensivos. El resto de las familias Amaranthaceae (quinua, Chenopodiumquinoa), Araceae (gualusa, Colocaciaesculenta), Asteraceae (girasol, Helianthusannuus), Cucurbitaceae (joko, Cucurbitamoschata) y Zingiberaceae(palillo, Curcuma longa) contribuyen solamente con una especie.

Para el cultivo de hortalizas, se han reportado 32 plantas cultivadas. Con la curva de rango abundancia se determinó que la familia Solanaceae presenta la mayor riqueza (8 plantas cultivadas), con 5 especies del género Capsicum (pimentón, Capsicumannuum; aribibi, Capsicumbaccatum var. chacoensis; ulupica, Capsicumeximium; cumbaro, Capsicumfrutescens y locoto, Capsicumpubescens) y 2 especies del género Solanum (berenjena, Solanummelongena y tomate, Solanumlycopersicum con 2 variedades). Por otra parte, las familias Cucurbitaceae (zapallo, Cucurbitamaxima; lacayote, Cucurbitaficifolia; angolina, Cucurbita pepo, además del pepino, Cucumissativus y achojcha, Cyclantherapedata) y Brassicaceae (compuesta por el rábano Raphanussativus y las variedades de Brassicaoleracea: repollo, coliflor y brócoli), presentan una mayor riqueza en segundo lugar. Existen familias con número de 3 especies identificadas, entre ellas se encuentran las siguientes familias: Apiaceae (comino, Cuminumcyminum; zanahoria, Daucus carota y perejil, Petroselinumcrispum), Amaranthaceae (acelga, Beta vulgarisvar. cicla; remolacha, Beta vulgaris y espinaca, Spinaceaoleracea) y Amaryllidaceae (cebolla, Allium cepa; cebolleta, Alliumfistulosum y ajo, Alliumsativum).
Y con dos especies identificadas están la familia Lamiaceae (hierba buena, Menthaspicata y orégano, Origanumvulgare), y Asteraceae (alcachofa, Cynarascolymus y lechuga, Lactuca sativa). Por último, con una especie se tiene a la familia Fabaceae con la vainita (Phaseolus vulgaris) (Fig. 6).

En los cultivos de frutales se tienen identificadas 49 plantas cultivadas, de entre las cuales destacan 2 familias que presentan riqueza mayores, Rutaceae (12 plantas cultivadas) y Rosaceae (11 plantas cultivadas) (Fig. 7). Rutaceae está representada por 8 especies del género Citrus (lima, Citrus aurantifolia; quinoto, Citrus japonica; limón criollo, Citrus latifolia; limón, Citrus limon; cidra, Citrus medica; pomelo, Citrus paradisi; mandarina, Citrus reticulata y naranja, Citrus sinensis) y una especie de mandarina japonesa (Fortunella japonica). Por otra parte la familia Rosaceae está compuesta por 3 especies del género Prunus como el ciruelo (Prunus domestica), damasco (Prunusarmeniaca) y durazno (Prunuspersica), esta última tiene 7 variedades registradas. Además se cuenta con el níspero (Mespilus japónica) y la manzana (Malus domestica). Otras familias registradas son Musaceae, como el plátano (Musa paradisiaca)con 4 variedades; con dos especies están Moraceae (mora, Morus alba y2 variedades de higo, Ficus carica), Cucurbitaceae (melón, Cucumismelo y dos variedades de sandía, Citrulluslanatus), Myrtaceae (guayaba, Psidiumguajava y sahuinto, Myrcialeucadendron), Cactaceae (tuna blanca, Opuntia arcei y tuna amarilla, Opuntia ficus-indica) y Caricaceae (papaya, Carica papaya y gargatea, Caricaquercifolia). Además se han identificado 8 familias que tienen una sola especie, como la familia Vitaceae con dos variedades de vid (Vitisvinifera), de la misma manera se registraron dos variedades para Lauraceae(palta, Persea americana), Passifloraceae (maracuyá, Passifloraedulis), Lynthraceae (granado, Punicagranatum), Fabaceae (pacay, Inga spp.), Bromeliaceae (piña, Ananascomosus), Anacardiaceae (mango, Mangifera indica) y Annonaceae (chirimoya, Annonacherimola) (Fig. 7).

3.5 Procedencia de la agrobiodiversidad.
Los diferentes tipos de cultivos, se han evaluado en base a las respuestas de los agricultores sobre la procedencia de la semilla (locales vs. otros). Se hadeterminado que en cultivos extensivos existe el mismo promedio de plantas cultivadas procedentes tanto de las comunidades (locales) y procedentes de otros lugares(ūLocal=4,8; ūOtros=4,2), por lo que no existen diferencias significativas (p = 0,77). Con respecto a cultivos de hortalizas, se ha obtenido un mayor promedio de plantas cultivadas que proceden de otros lugares(ūLocal=0,9; ūOtros=5,5),estimándose que si existen diferencias significativas (p < 0,0001). Y en cultivos frutales, al contrario el promedio de plantas cultivadas que proceden de las comunidades es mayor (ūLocal=4,1; ūOtros=3,0), y se ha encontrado diferencias significativas en las evaluaciones (p=0,0006) (Fig. 8).

En base a los análisis precedentes, se han identificado 17 plantas cultivadas que son locales de los agroecosistemas del PN-ANMI Serranía del Iñao. Desde el enfoque de cultivos extensivos son 16 las plantas cultivadas en el área protegida, las cuales corresponden a 7 familias. Entre estas últimas estánAmaranthaceae (quinua), Convolvulaceae (con 8 variedades de camote), Euphorbiaceae (una variedad de yuca), Poaceae (2 variedades de maíz) y Solanaceae (con 2 variedades de papa). Para cultivos de hortalizas se tiene a la familia Solanaceae, con la ulupica y el ají variedad chacoensis; mientras que para cultivos frutales, solo se registró la gargatea (Caricaceae) (Fig. 9). Sin embargo, también se han identificado 8 plantas cultivadas que al parecer eran locales de los agroecosistemas pero que la bibliografía muestra como externas. La antigüedad de su cultivo en el área protegida sugiere que hayan podido ser naturalizadas o apropiadas por los agricultores; tal es el caso del girasol, caña de azúcar, el palillo, angolina, quinoto, naranja variedad agria y la uva variedad aestivalis.



4. Discusión
Las evaluaciones de agrobiodiversidad usando índices ecológicos, no son totalmente funcionales para la caracterización de la diversidad de los agroecosistemas[19]. En esl presente estudio se tuvieron complicaciones para realizar los análisis, ya que la mayoría de los índices de diversidad, son utilizados para entidades identificadas a nivel de especie [22][39]. Pero como las especies cultivadas han sido seleccionadas y domesticadas por los agricultores, permitiendo la generación de variedades (entidades reconocibles dentro de una especie), existe la dificultad de generar evaluaciones precisas de agrobiodiversidad[3].
A través del inventario generado en este estudio, se tiene una idea más clara sobre qué plantas se cultivan actualmente dentro del área protegida. Debido a que existe un número mayor de plantas registradas en este estudio, comparado a los registrados por SERNAP [13] de 33 plantas cultivadas.
La agrobiodiversidad presente actualmente en la Serranía del Iñaose debe a que muchas plantas ya se cultivaban tradicionalmente desde antes de la creación del área protegida [13]. Con base en la composición de plantas cultivadas, se evidencia que estos agroecosistemas están siendo muy influenciados por la agricultura moderna utilizada para el cultivo de la soya, caña de azúcar, etc., que son cultivos exógenos. Pero, también se han podido identificar especies y variedades que proceden del área protegida, que si bien no se establece como centro de origen, sí se evidencia que son centros de diversidad. Este es el caso del ají [16][40] y como menciona Olivera & García[27], Bolivia es uno de los centros de diversidad de ajíes nativos. Bolivia también es un acervo de parientes silvestres de la yuca, camote, poroto y maní [40].
A pesar que el maní y el poroto no se identificaron como especies locales cultivadas, las fuentes de las semillas en los municipios de Padilla y Monteagudo indica que el poroto está dentro del rango de centros de diversidad. Para Bolivia, estos últimos se encuentran en los valles interandinos de los Andes, desde el norte de La Paz, pasando por Cochabamba y Chuquisaca hasta Tarija [40]. Con respecto al maní, Bolivia se destaca como probable lugar de origen de esta planta cultivada y un centro de variación único en el mundo [4][16]; nosotros registramos en el área protegida seis variedades propias de la región.
Para cultivos frutales podemos afirmar que la gargatea, es la única fruta silvestre comestible nativa, que se encuentra en medio de los campos de cultivos [38], y es propias de los valles de La Paz, Cochabamba, Santa Cruz, Chuquisaca y Tarija [8]. Para otras frutas como la tuna, se tiene a México como probable origen, sin embargo, a la llegada de los españoles ya estaba diseminada por todas las regiones de Sudamérica [38]. La presencia de dos especies de tuna en el área protegida sugiere una diversificación de este género en la región.
Existen muchas especies de plantas cultivadas exóticas que han sido naturalizadas o apropiadas por los agricultores. Históricamente es en el período de colonización Europea cuando América fue escenario de un intenso intercambio de plantas a nivel global y donde convergieron plantas cultivadas originadas en el cercano Oriente, África, China e Indo-Malasia [21]. Es el caso de especies de hortalizas introducidas que se han registrado en el área protegida como: rábano, nabo, lechuga, repollo, pepino, haba, arveja, cebolla, etc., y de la misma manera para cultivos frutales como los cítricos, bananos, etc., que se han diversificado e influyen bastante en la agrobiodiversidad presente actualmente en el PN-ANMI Serranía del Iñao.
5. Conclusiones
La evaluación de la agrobiodiversidad en las seis comunidades del PN-ANMI Serranía del Iñao demuestra que existe una diversidad alta, donde los cultivos extensivos existentes tienen una mayor diversidad con respecto a cultivos de hortalizas y frutales. Aunque los métodos de diversidad ecológicos han posibilitado la caracterización de la agrobiodiversidad, aún representa un desafío el entender las funciones ecológicas y sociales combinadas de la agrobiodiversidad, el determinar su contribución a bienes y servicios y el valor de los ecosistemas para la sociedad, así como también, el evaluar las opciones para el uso sostenible y la conservación de la biodiversidad a través del paisaje agrícola [15].
Con el inventario de las plantas cultivadas que se presenta aquí, se ha sentado la línea base para realizar evaluaciones futuras más precisas de la agrobiodiversidad. Esta información contribuirá a los planes de manejo del área protegida, planes de desarrollo municipal y otros, según las necesidades.
Consideramos que esta alta agrobiodiversidad en el PN-ANMI Serranía del Iñao, se debe a que la mayoría de las plantas se cultivan tradicionalmente desde antes de la creación del área protegida y a partir de la influencia que tienen los municipios de introducir semillas y plantines de diferentes tipos de plantas a las comunidades. Ya que se ha podido identificar bastantes variedades y ecotipos como del maní, el ají, etc., donde sus centros de diversidad proceden de estas zonas, además existen plantas cultivadas introducidas que han sido naturalizadas por los agricultores. Haciendo énfasis sobre las especies provenientes de los centros de diversidad, demuestra que los agroecosistemas del área protegida, conservan con información genética importante y constituyen un depósito importante de germoplasma de plantas tanto cultivadas como silvestres [2].
Referencias
[1] Altieri, M.A.; Anderson M.K. & Merrick L.C. 1987. Peasant Agriculture and the Conservation of Crop and Wild Plant Resources. ConservationBiology, 1(1): 4958. [ Links ]
[2] Altieri, M.A. & Merrick, L.C. 1987. In situ conservation of crop genetic resources through maintenance of traditional farming systems. EconomicBotany, 41(1): 86-96. [ Links ]
[4] Chavez-Tafur, J. 2010. Revalorización y conservación de la diversidad biocultural andina: experiencias y aprendizajes del programa regional BioAndes. AGRUCO, ETC Andes, Eco Ciencia. Agencia Suiza para el Desarrollo y la Cooperación COSUDE. Bolivia. 103 p. [ Links ]
[5] Colwell, R.K. 2005. EstimateS: Statistical estimation of species richness and shared species from samples. Version 7.5. User's Guide and application. Disponible en: http://purl.oclc.org/estimates. Fecha de consulta 21 de agosto del 2013.
[6] Colwell, R.K.; ChangXuan, M. & Jing, C. 2004. Interpolating, extrapolating, and comparing incidence-based species accumulation curves. Ecology 85: 2717-2727. [ Links ]
[7] CBD, Convention on Biological Diversity. 2000. Disponible en: http://www.cbd.int/decision/cop/?id=7147. Fecha de consulta 27 de agosto del 2013. [ Links ]
[9] Fuentelsaz, C. 2004. Cálculo del tamaño de la muestra. Matronas Profesión 5(18): 5-13. [ Links ]
[10] Gabriel, J.; Pereira, R. & Gandarillas, A. 2011. Catálogo de nuevas variedades de papa en Bolivia. Fundación PROINPA. Cochabamba. Bolivia. 60 p. [ Links ]
[11] Galluzzi, G.;Eyzaguirre, P. & Negri, V. 2010. Home gardens: neglected hotspots of agro-biodiversity and cultural diversity. Biodiversity and Conservation 19(13): 3635-3654. [ Links ]
[12] Hammer, Ø.; Harper, D. & Ryan, P. 2008. PAST Palaeontological Statistics. Ver 1.81. User's Guide and application. Disponible en: http://folk.uio.no/ohammer/past. Fecha de consulta 27 de agosto del 2013.
[13] SERNAP. 2011. Plan de Manejo del PN y ANMI Serranía del Iñao 2012 2021. Servicio Nacional de Áreas Protegidas de Bolivia. Parque Nacional y Área Natural de Manejo Integrado Serranía del Iñao. Monteagudo. Chuquisaca. Bolivia. 265 p. [ Links ]
[14] Jackson, L.; Bawa, K.;Pascual, U. & Perrings, C. 2005. Agrobiodiversity: A new science agenda for biodiversity in support of sustainable agroecosystems. DIVERSITAS (4): 1-40. [ Links ]
[15] Jackson, L.; Pascual, U. & Hodgkinc, T. 2007. Utilizing and conserving agrobiodiversity in agricultural landscapes. Agriculture, Ecosystems & Environment 121(3): 196210. [ Links ]
[16] Jäger, M. 2010. Proyecto rescate y promoción de ajíes nativos en su centro de origen. Bioversity International. Disponible en: http://perubiodiverso.pe/. Fecha de consulta 17 de septiembre del 2013.
[17] Krapovickas, A.; Vanni, R.O.; Pietrarelli, J.R.; Williams, D.E. & Simpson, C.E. 2009. Las razas de maní de Bolivia. BONPLANDIA, 18(2): 95-189. [ Links ]
[18] LEÓN, J. 2000. Botánica de los cultivos tropicales. 3°. Ed. IICA. San Jose, Costa Rica. 522 p.
[19] Leyva, Á. & Lores, A. 2012. Nuevos índices de diversidad para la evaluar la agrobiodiversidad. Instituto Nacional de Ciencias Agrícolas, INCA, Gaveta Postal. San José de Las Lajas, Prov. Mayabeque Cuba. [ Links ]
[20] Lozano, R.; Barrientos, M. & Perk, K. 2012. Principales malezas de los agroecosistemas del Parque Nacional y Área Natural de Manejo Integrado Serranía del Iñao. BEISA3. Chuquisaca. Bolivia. [ Links ]
[21] Machuca, P.; Colunga-García M.P. & Zizumbo-Villarreal, D. 2010. Introducción y difusión temprana de recursos fitogenéticos en la región Balsas-Jalisco durante el siglo XVI: una perspectiva agrohistórica. Revista de Geografía Agrícola. 45: 77-96. [ Links ]
[22] Marrugan, A.E. 2004. Measuring Biological Diversity. Blackwell Science Ltda. USA. [ Links ]
[24] MDRyT-INIAF. 2012. Registro nacional de variedades y variedades protegidas. Unidad de Fiscalización y Registros de Semillas. Dirección Nacional de Semillas. La Paz. Bolivia. [ Links ]
[25] Negri, V.; Maxted, N. & Veteläinen, M. 2009. European landrace conservation: an introduction. En: Veteläinen M.; Negri, V. & Maxted N. (eds.) Bioversity Technical Bullettin n. 15. European landraces: On-farm conservation, management and use. Bioversity International, Rome, Italy.
[27] Olivera, M. & García-Yi, J. 2013. Promoción de la conservación de la biodiversidad mediante el aumento de la demanda interna de ajíes nativos en Bolivia. Avances en Investigación Agropecuaria, 17(2): 57-63. [ Links ]
[28] Portal, E. 2012. Colección y manejo de muestras de herbario, Protocolo Interno. Facultad de Ciencias Agrarias-BEISA 3. Chuquisaca, Bolivia. 14 p. [ Links ]
[29] PROINPA. 2007. Catálogo de ají de ecotipos conservados en campos de agricultores. Fundación PROINPA. Cochabamba. Bolivia. [ Links ]
[30] Ramirez, R.T.; David H.; Diaz, E. & Grant, U.J. 1960. Races of maize in Bolivia. National Academy of Sciences National Research Council. Washington, D. C. 147 p. [ Links ]
[31] Sardan, S. 2012. Diagnóstico de variedades o ecotipos cultivadas en el agroecosistema de ají, maní, y papa en la comunidades de Pedernal del municipio Padilla y Acero Norte del municipio Monteagudo. Trabajo de Titulación (Técnico Superior en Agronomía) Sucre, Bolivia. Universidad Mayor, Real y Pontificia de San Francisco Xavier de Chuquisaca. [ Links ]
[33] Terrazas, F. & Gonzales, R. 2011. Catálogo de agrobiodiversidad nativa de Independencia. COSUDE-Gobierno Municipal de Independencia-PROIMPA-BIOCULTURA. Cochabamba, Bolivia. [ Links ]
[34] Torre, F. & Cujo, P. 1989. Compendio de Agronomía Tropical. Instituto Interamericano de Cooperación para la Agricultura y Ministerio de Asuntos Extranjeros de Francia - San José, Costa Rica. [ Links ]
[35] TROPICOS. 2013. Missouri Botanical Garden. Disponible en: http://www.tropicos.org. Fecha de consulta 27 de junio del 2013. [ Links ]
[36] Ugarte, M. & Iriarte, V. 2003. Papas Bolivianas: Catálogo de Cien Variedades Nativas. Entidades Miembros de la Fundación PROINPA. Cochabamba. Bolivia. [ Links ]
[37] Vargas, G. 2012. Diagnóstico de las variedades cultivadas de maíz, maní, ají y papa en las comunidades de San Pedro del Zapallar del municipio de Monteagudo y la comunidad de Iripití del municipio de Villa Vaca Guzmán. Trabajo de Titulación (Técnico Superior en Agronomía) Sucre, Bolivia. Universidad Mayor, Real y Pontificia de San Francisco Xavier de Chuquisaca. [ Links ]
[39] Villarreal, H.; Alvarez, M.; Cordoba, S.; Escobar, F.; Fagua, G.; Gast, F.; Mendoza, H.; Ospina, M. & Umaña, A.M. 2004. Manual de métodos para el desarrollo de inventarios de biodiversidad. Programa de Inventarios de Biodiversidad. Instituto de investigación de Recursos Biológicos Alexander von Humboldt. Bogota. Colombia. 236 p. [ Links ]
[40] VMABCC-BIOVERSITY. 2009. Libro Rojo de Parientes Silvestres de Cultivos de Bolivia. PLURAL Editores. La Paz. Bolivia. 344 p. [ Links ]














