Servicios Personalizados
Revista
Articulo
Indicadores
-
Citado por SciELO -
Accesos
Links relacionados
-
Similares en
SciELO
Compartir
Acta Nova
versión On-line ISSN 1683-0789
RevActaNova. v.1 n.2 Cochabamba 2001
El Teorema del Valor Intermedio y la Completitud de los Reales
Primera Parte
Mauricio Navia Lora
Centro de Investigación Matemática
Universidad Católica Boliviana, Regional Cochabamba
e-mail: navia@ucbcba.edu.bo
En matemáticas, a menudo, las verdades más "obvias" o simples de enunciar resultan ser al mismo tiempo las más difíciles de demostrar. De hecho en esta disciplina también se aplica el principio de que "defamiliarizar lo familiar" es aquello que produce mayores avances. Probablemente uno de los avances más significativos de las matemáticas y también de las ciencias en el siglo diecinueve haya sido la formalización del cálculo infinitesimal, lograda por el académico francés Auguste Cauchy. De hecho a partir de su célebre Cours d'Analyse, el cálculo inventado por Newton y Leibniz en el siglo dieciocho, vino a recibir la denominación más usual de hoy en día que es la de "análisis". En la acepción contemporánea, el término análisis (análisis matemático se entiende) involucra un mayor grado de rigurosidad que cálculo, entendiéndose que lo último se refiere sobre todo a las técnicas de derivación e integración, mientras que lo primero tiene que ver, además, con las herramientas conceptuales y la justificación lógica de dichas técnicas.
El cálculo infinitesimal es una de las ramas de las matemáticas que, apenas hecha su aparición, dio más pie a la especulación filosófica, y es asimismo el tema que dio más quebraderos de cabeza a los propios matemáticos, empeñados en defenderlo del ataque de algunos filósofos, en particular el obispo Berkeley1. Esto motivó la búsqueda
1Berkeley, en su obra El analista: o un discurso dirigido a un matemático infiel [The Analyst: a Discourse addressed to an Infidel Mathematician], intentó examinar si es que el "análisis moderno" era más evidente que "el misterio religioso y los puntos de la fé". Según Berkeley las magnitudes utilizadas en el cálculo, los "infinitesimales", o "fluxiones", como eran llamados por Newton eran tan etéreos como los fantasmas y otros ideales.
¿Y qué son estas fluxiones? Las velocidades de cantidades que se desvanecen. ¿Y qué son esas mismas cantidades? No son ni cantidades finitas, ni cantidades infinitamente pequeñas, ni nada de nada. ¿No podríamos llamarles los fantasmas de cantidades que han fallecido?.
[And what are there fluxions? The velocities of evanescente increments. And what are these same evanescent increments? They are neither finite quantities, ñor quantities infinitely small, ñor yet nothing. May we not cali them ghosts of departed quantities?] [1].
de una fundamentación más rigurosa del concepto de la derivada. Sin embargo, como el cálculo devino en una herramienta poderosa para comprender un espectro muy diverso de fenómenos físicos y naturales, no existía un acicate práctico demasiado acuciante para construir un cálculo infinitesimal rigurosamente lógico. El siglo XVIII, y parte del XIX, constituye el período más floreciente de la unión entre física y matemáticas. La matemática no se concebía aún como enteramente separada de las ciencias naturales. El desgaje vino de modo paulatino, y no puede decirse que fue completo hasta principios del siglo XX.
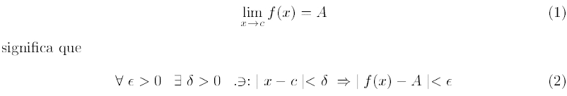
Como se sabe, para definir una derivada hace falta definir el límite de una función, es decir, cuando la variable independiente x "tiende a" un valor fijo dado, cómo se comporta su imagen, f(x), o dicho de otra manera, cuando x está "próximo" (arbitrariamente próximo) a un valor real c, a qué valor se aproxima f(x). Cualquier estudiante está dispuesto a admitir que si, por ejemplo, x >9, x2 > 3, o bien, que si x > 0,1/x tiende a "infinito". Pero, realmente ¿qué se quiere decir con estas palabras, más allá del contenido intuitivo que las hace tan fácilmente aceptables? En verdad, hace falta desglosar y hacer explícito aquello que se da por sentado para acercarse a una formalización del conocimiento. Para empezar, la definición habitual de limite es la siguiente:
Es decir, dado cualquier valor real positivo e (no importa cuan pequeño) x puede aproximarse lo suficiente al valor real c, de modo que f(x) esté a una distancia menor de A que e. Pero en el caso de la función 1/x, esta definición de límite no puede aplicarse. El significado de que su límite, cuando x > 0, es "infinito" está mejor expresado en una primera aproximación en que para cualquier número real positivo, M (no importa cuan grande) siempre nos será posible encontrar un valor positivo x tal que 1/x sea mayor que M, y de la misma manera, un valor negativo x tal que 1/x sea menor a M. Dicho de modo sintético:
En verdad esto no está muy alejado de la formulación intuitiva de que "cuanto más pequeño sea x, 11/x| será correspondientemente más grande". Cauchy inició y popularizó el enfoque de "deltas y epsilones" en el cálculo. De este modo el concepto de lo infinitesimal perdió mucho de su aura de misterio. Leibniz creía en la existencia metafísica de los infinitesimales, y de hecho sus éxitos con la notación fraccionaria dx/dy parecían darle algo de razón. Más aún, en los cursos de cálculo, de ecuaciones diferenciales y de física, es todavía común apelar al recurso de que "un diferencial, df, es una cantidad ínfima que tiende a cero y que, sin embargo, contribuye al integrársela sobre un dominio a encontrar un valor 'macro', real". Pocos libros de los que he visto contienen una explicación completa de por qué el método de separación de variables funciona en la mayoría de los casos. Por ejemplo en uno de ellos dice lo siguiente: "si es posible escribir una ecuación [diferencial] en la forma
El mencionado texto no dice nada sobre si existen algunas condiciones donde esto es o no cierto, y mucho menos intenta dar una justificación del método; no menciona ni siquiera el teorema que permite cambiar de variables en la integración como un esbozo de justificación. Se manejan los diferenciales como si fueran términos de fracciones, con lo cual se sigue inconscientemente rindiendo homenaje a las ideas ya superadas, en este respecto, de Leibniz.
Pero una vez transcendida esta etapa y desmitificado el concepto de "lo infinitamente pequeño" queda uno de fondo en el análisis, que es el de "continuidad". ¿Por qué decimos que cualquier subconjunto finito de los enteros -o de los racionales- es discreto, mientras que el intervalo [0,1] es "continuo"? La respuesta, por una parte, se encuentra en la diferencia entre un conjunto finito y otro infinito y en la diferencia existente entre el "grado de infinitud", por así decirlo, de los números racionales y el grado de infinitud de los números irracionales y reales. Gracias a Cantor se pudo establecer que el conjunto de los racionales es "más pequeño" que el conjunto de los irracionales, pese a ser ambos conjuntos infinitos. Sin embargo, a un nivel aún más fundamental y cercano a nuestro tema -la formalización del cálculo-, la respuesta a nuestra pregunta está ligada al concepto de completitud, plenamente establecido por Richard Dedekind, pero cuyos atisbos ya están presentes en el trabajo de Bernard Bolzano2. Esta contribución pionera es precisamente la materia de este artículo. Pero antes de entrar de lleno en esto, veamos como Cauchy presentó una prueba falaz de un teorema en apariencia simple (el del valor intermedio), por no tomar en cuenta la necesidad de un axioma de completitud. Lo traducimos casi literalmente.
El teorema del valor intermedio según Cauchy
Teorema 1 Sea f(x) una función de la variable x, que es continua con respecto a esta variable entre los límites x = xo, x = X. Si las dos cantidades f(xo), f(X) son de signo opuesto, se podrá satisfacer la ecuación
f(x) = 0 (7)
2 Se trata de Rein analytischer Beweis des Lehrsatzes, dass zwischen je swey Werthen, die ein entgegengesetzes Resultat gewáhren, wenigstens eine relie Wurzel der Gleichung liege (Fragüe 1817). Como se ve, un título digno de una película china de Kung-Fu. Y no sólo esto, el contenido está densamente argumentado; básicamente en este artículo presentamos una "traducción" del lenguaje entre matemático y filosófico de Bolzano a una versión más moderna y compacta. En cuanto a la traducción misma del artículo desafortunadamente tenemos que recurrir a la primera versión inglesa del historiador británico Russ, debido a nuestro desconocimiento de la lengua alemana [2].
para uno o varios valores de x comprendidos entre xq y X.
Demostración.- Sea x0 la más pequeña de ambas cantidades x0, X. Sea h = X x0, y desígnese con m cualquier entero mayor que uno. Como tanto f(x0) como f(X) son de signo opuesto, uno es positivo, y el otro es negativo; si se forma el conjunto:
f(x0),f(x0 + h/m), f{x0 + 2h/m),...,f{X-h/m), f{X), (8)
y si, en este conjunto, se compara sucesivamente el primer término con el segundo, el segundo con el tercero, el tercero con el cuarto, etc., necesariamente se concluirá por encontrar una o varias veces dos términos consecutivos que sean de signo opuesto. Sean f(x1), f(X') dos términos de este tipo, siendo x1 el más pequeño. Evidentemente tenemos
x0 < x1 < X' < X (9)
X' x1 = h/m = (1/m)(X x1). (10)
Habiendo determinado x1 y X' del modo antedicho, se podrá de forma similar encontrar dos valores nuevos entre estos, x2, X" que reemplazados en f(x) den resultados del signo opuesto, y que verificarán las condiciones
estarán cerca del cero por una cantidad tan pequeña como se desee. Se debe concluir que los términos generados por las series 13 y 14 convergen hacia un límite común. Sea a este límite. Dado que la función f(x) es continua desde x = xq hasta x = X, los términos generados por las series
f(x0),f(x1),f(x2),...
f(X),f(X'),f(X"),...
también convergerán hacia el límite común f(a); y, dado que mientras se aproximen a este límite seguirán siendo de signos opuestos, está claro que la cantidad f(a), siendo necesariamente finita, no puede ser distinta de cero. En consecuencia la ecuación
f(x) = 0 (16)
será verificada, y tendrá como raíz x = a.
Comentario.- Aquí vemos que Cauchy primero crea un intervalo anidado, o dicho de otro modo, dos sucesiones mutuamente acotadas. Su primera aserción acerca de la convergencia de estas sucesiones hacia un límite común, con la sola justificación de que el límite de su diferencia tiende a cero, ya es un salto que asume que las sucesiones monótonas y acotadas son convergentes. Sin embargo, como puede verificarse sin mucha dificultad, esto es una consecuencia de la completitud de los números reales. Y la prueba queda completa si se sabe que la sucesión de valores de una función sobre un sucesión convergente debe converger hacia el límite de la sucesión original. Es decir que si n tiende a oo, entonces
f(xn) -> f(x) (17)
cuando
xn-> x (18)
Esto es una consecuencia inmediata de la continuidad de una función, siempre que tengamos una adecuada definición de continuidad y una idea clara de qué significa convergencia. Cauchy en su obra cumple con estas condiciones. Sin embargo, el teorema del valor intermedio en sí, no resulta ser de gran importancia para su construcción del análisis, y por el contrario está en un lugar marginal. A Cauchy le interesaba de él solo garantizar la existencia de raíces para funciones continuas sobre algún intervalo.
Bolzano y el teorema del valor intermedio
En cambio, el caso de Bolzano es distinto. El llega a una conciencia más clara de la necesidad de fundamentar una prueba del valor intermedio por medio de una proposición, que resulta ser un axioma equivalente al de completitud, pese a que Bolzano no tiene claridad sobre esto, y asume que se trata de un teorema demostrable. El inicia su estudio "Una prueba puramente analítica de que entre dos valores cualesquiera que den resultados de signo opuesto yace al menos una raíz real de la ecuación" [3] criticando varias pruebas intuitivas del teorema del valor intermedio, basadas en argumentos físicos (el principio de que un objeto en movimiento "transcurre" por todos los puntos intermedios entre el inicial y el final), o en argumentos geométricos. En efecto él dice:
Nadie negará que los conceptos de tiempo y movimiento son tan extraños a las matemáticas generales así como lo es el concepto de espacio.
Una aseveración bastante fuerte, con la cual Bolzano nos muestra una voluntad de fundamentar las matemáticas solo en la lógica.
Pero antes de continuar sería muy útil en este momento incluir el axioma de completitud de Dedekind:
Axioma de completitud.- Supóngase que el conjunto de los números reales, /R, puede separarse en dos colecciones, X e Y, disjuntas tales que:
1. Tanto X como Y son no-vacíos.
2. Si x X e y
Y, entonces x < y.
Entonces existe un real, c, tal que todos los números menores a c están en X, y todos los mayores a c están en Y. Nótese que c puede pertenecer a cualquiera de los conjuntos, X o Y, dependiendo de cómo se los haya definido. El par ordenado de conjuntos (X,Y) se denomina Corte de Dedekind, y c es el número de corte.
Una consecuencia inmediata es que c es, o bien el supremo (y además máximo) de X o el ínfimo (y además mínimo) de Y. La propiedad arquimediana, de que para dos reales positivos, a < b, existe un natural positivo, n, tal que b < na también sigue del axioma de completitud. Pues, si no es así, entonces na < =b para todo n > 0 . Definir el par ordenado (/, D) como:
I = {x | x < na para algún n N}
D = {y | na <= y para todo n N}
Fácilmente se puede comprobar que (I, D) es un corte de Dedekind. Luego sea c el número de corte. Obsérvese que na I, para todo n natural, pues na < (n + 1)a. También afirmamos que na < =c, para todo n, pues de otro modo, c < na y na
D. Pero, según esto, también tenemos que (n + 1)a <= c. Esto implica que na < =c a, para todo n. Luego c a
D. Pero como c a < c, c a
I, con lo que hemos llegado a una contradicción.
Otra consecuencia, y en ocasiones tomada como una formulación alternativa del axioma de completitud es el hecho de que conjuntos no-vacíos acotados por arriba tienen una cota superior mínima, o lo que se denomina el axioma del supremo. Otros teoremas de mucha utilidad como la convergencia de secuencias monótonas y acotadas, o la propiedad de los intervalos anidados también siguen del axioma de completitud. Pero lo que resulta de interés en este momento es reflexionar como pudo llegarse históricamente a esta piedra angular del análisis matemático. Resulta que el deseo de demostrar un teorema aparentemente inocuo como es el Teorema del Valor Intermedio fue la fuente de motivación para Bolzano, y lo que le condujo muy cerca del axioma de completitud. En la sección 15 de su ensayo de 1817 Bolzano establece el teorema del valor intermedio así:
Si dos funciones de x, f(x) y g(x), varían según la ley de continuidad ya sea para todos los valores de a; o sólo para aquellos que están entre a y b, y si f(a) < g(a), y f(b) > g(b), entonces siempre existe un cierto valor de x entre a y b para el cual f(x) = g(x).
Nota f y g son continuos en todo |R, o al menos en algún intervalo entre a y b.
Esto también puede interpretarse del siguiente modo: si f y g son dos funciones reales continuas en un intervalo, de modo que los valores de la función f g en los extremos sean de signo opuesto. Entonces existirá un valor en el intervalo tal que f se anule en dicho punto. Es decir, sea f continua en [a,b] y f(a) < g(a) y f(b) > g(b) => c
[a,b] .
: f(c) = g(c). Este teorema puede traducirse al lenguaje ordinario por medio de un cuento. Supóngase que un monje madruga a diario, sea a las 6 am, para subir a un monte a meditar, llega allí a las 11 pm, permanece allí toda la noche, y regresa al amanecer (justo o después de las 6 am) del día siguiente, por exactamente el mismo camino. Ahora podemos afirmar que existe alguna hora del día en la cual el monje se encuentra exactamente en el mismo punto, si se comparan dos días consecutivos. El teorema del valor intermedio nos garantiza esto, no importando cuan rápido o cuan lento ande el monje: existe una hora fija correspondiente a ambos días en la cual el monje se halla en el mismo punto, sea de subida o de bajada. Por ejemplo, a las 3 pm del viernes y las 3 pm del sábado, el monje estuvo exactamente en el mismo punto. Intuitivamente se puede ver lo plausible de esto si se piensa que el tiempo en este caso está siendo interpretado como cíclico, es decir, las 3 pm del día viernes y del día sábado, representan la "misma" hora. Entonces, cuando el monje está de bajada en el día sábado, forzosamente ha de encontrarse con su "sombra", o su alma gemela, que está de subida en el día anterior (ver Figura 1). Otra formulación menos divertida pero más usual es que si / es continua en algún intervalo, tal que los valores de la función en los extremos sean de signo contrario, entonces en algún punto el valor de la función es igual a cero. Y para redondear el asunto, Bolzano proporciona una formulación, incorrecta según él, del concepto de continuidad, pero que debería en realidad ser visto como una consecuencia del teorema del valor intermedio.
Una función continua es aquella que nunca alcanza un valor más alto sin atravesar primero todos los valores inferiores; i.e. f(x + n x dx) puede tomar todos los valores entre f(x) y f(x + dx) así como uno toma valores arbitrarios entre 0 y 1. Esto es ciertamente un aserción verdadera, pero no puede ser vista como una definición del concepto de continuidad. En efecto es un teorema que sólo puede ser probado asumiendo la proposición que aquí deseaba probarse con el teorema [aquí se refiere al teorema del valor intermedio!.
De modo que si bien, intuitivamente, el teorema del valor intermedio resulta ser lo mismo que el concepto de continuidad, esto no corresponde al rigor formal que se quiere introducir. Dicho de otra manera, Bolzano critica el hecho de que se tome algo que debiera ser visto como teorema (el del valor intermedio) como la definición de continuidad. Bolzano da una definición de continuidad muy similar a la que dio Cauchy, pero anterior. La "ley" de continuidad citada por Bolzano líneas arriba aparece en el prefacio de su artículo de 1817 y afirma lo siguiente:
Figura 1: El monje vive en un tiempo cíclico, (a) Gráfica de posición vs. tiempo concebido como ciclo; (b) proyección de (a) sobre el plano XY.
Según una definición correcta, la expresión de que una función varía de acuerdo a la ley de continuidad para todos los valores de x dentro o fuera de ciertos limites significa justo esto: si x es algún valor tal, la diferencia f(x + w) f(x) puede hacerse más pequeña que cualquier cantidad siempre que se tome un valor de w tan pequeño como se desee.
Si cambiamos "diferencia" por valor absoluto esencialmente tendremos la definición de continuidad usual en los textos actuales. Bolzano también, en su intento de demostrar este teorema del valor intermedio, formula, en la sección 12 del citado ensayo, algo que podríamos en la jerga actual denominar axioma de completitud. Sin embargo, Bolzano intenta demostrar este teorema, cosa que no es posible sin asumir algún otro teorema equivalente a la completitud. Lo interesante en todo caso es cuan cerca estuvo Bolzano de hallar el concepto de completitud, mucho más que Cauchy, pese a que finalmente no pudo salir de la confusa maraña en la que estuvo metido. Esto ilustraría como el camino del conocimiento está lleno de desvíos y hasta retrocesos, y que muy raramente es una línea recta, o una autopista expedita.
El teorema de Bolzano es el siguiente:
Si una propiedad M no pertenece a todos los valores de una variable x, pero si a todos los valores que son menores a un cierto u, entonces hay siempre una cantidad U que es la más grande de aquellas de las cuales puede aseverarse que todos los x poseen la propiedad M.
Traduzcamos esto a:
Dado un número real u, sea M un subconjunto propio y no-vacío de |R, tal que si x < u => x M, o dicho de un modo más compacto,
para algún u real.
Luego el conjunto M* = {u |R |
} tiene un elemento máximo, U. La última frase se refiere a la frase textual de Bolzano: "la cantidad U que es la más grande de aquellas de las cuales puede aseverarse que todos los x poseen la propiedad M."
I. a,b > 0. Sin pérdida de generalidad, sea b = a + i, i > 0. Dado que f(a) < g(a), si w > 0 denota una cantidad arbitrariamente pequeña, entonces f(a + w) < g(a + w) (debido a la continuidad de f y g). Asimismo para w lo suficientemente pequeño y w < i es cierto que:
f(a + w) - f(a)=e
g(a + w) - g(a)=e'
entonces
g(a + w) - f(a + w) = g(a) - f(a) + e' - e
por hipótesis
g(a) - f(a) =A>0
entonces
g(a + w) - f(a + w) = A + e' - e > 0 (19)
para e y e' lo suficientemente pequeños. Ahora w es una cantidad pequeña correspondiente a estos eje'. La desigualdad de arriba es válida para tal w y todos los valores menores a w. Entonces, se puede definir un conjunto M'
M' = {w > 0 | f(a + w) > g(a + w)} (20)
Querríamos definir M* como lo hemos hecho usualmente, es decir, como aquel conjunto compuesto por los números tales que si alguno es menor que alguno de ellos, entonces este número ha de pertenecer a M. Sin embargo, debido a los w que hemos estado utilizando, hace falta cubrir a los números negativos definiendo M como la siguiente unión:
f(x) = g(x) (26)
En la siguiente parte de este artículo mostraremos cómo el intento de Bolzano de demostrar su teorema de la sección 12 resulta fallido. Pues, pese a todos los recaudos filosóficos y metodológicos que presenta en el prefacio, cae en el error de asumir subrepticiamente algo equivalente a aquello que precisamente quería demostrar. Lo cual no resta validez a su intento que fue el que inspiró a matemáticos posteriores. Esto ilustra que el llegar a la formulación y a la justificación de axiomas y teoremas en apariencia simples y obvios requiere un largo camino de preparación conceptual.
Agradecimientos
Mis más sinceros agradecimientos a Max Phillips, Osear Pino y Davor Pavisic.
Referencias
[1] G. Berkeley. The Analyst: a Discourse addressed to an Infidel Mathematician. http://www.maths.tcd.ie/pub/HistMath/People/Berkeley/Analyst/Analyst.html. [ Links ]
[2] A. Cauchy. Cours d'analyse, Vol. 4, pp 378-380. Ouvres, 1821. Note III, Series 2. [ Links ]
[3] S.B. Russ. A translation of bolzano's paper on the intermedíate valué theorem. En Historia Mathematica, Vol. 7, pp 156-185. 1980. [ Links ]













