SciELO - Scientific Electronic Library Online

 
vol.66 número1VALOR PREDICTIVO POSITIVO DE LA PROCALCITONINA SÉRICA COMO MARCADOR DE INFECCIÓN VESICULAR E INICIO DE TRATAMIENTO ANTIBIÓTICO EN PACIENTES CON COLECISTITIS AGUDA LITIÁSICA.ANÁLISIS EPIDEMIOLÓGICO DE LA TUBERCULOSIS EXTRAPULMONAR DIAGNOSTICADA POR qPCR EN EL INSTITUTO SELADIS: IMPACTO DE LA PANDEMIA COVID-19 índice de autoresíndice de materiabúsqueda de artículos
Home Pagelista alfabética de revistas  

Servicios Personalizados

Revista

Articulo

Indicadores

Links relacionados

Compartir


Cuadernos Hospital de Clínicas

versión impresa ISSN 1562-6776

Cuad. - Hosp. Clín. vol.66 no.1 La Paz jun. 2025  Epub 23-Sep-2025

 

ARTÍCULOS ORIGINALES

ELABORACIÓN Y ESTANDARIZACIÓN DE LA SOLUCIÓN ALSEVER MODIFICADA PARA LA CONSERVACIÓN DE ERITROCITOS HUMANOS EN CONDICIONES DE ALTITUD EN LA CIUDAD DE LA PAZ, BOLIVIA

ELABORATION AND STANDARDIZATION OF THE ALSEVER SOLUTION FOR THE PRESERVATION OF HUMAN ERYTHROCYTES UNDER ALTITUDE CONDITIONS IN LA PAZ, BOLIVIA

MA Chávez Ramos1  * 

KG Urbano Yucra2 

JJ Rossel Paniagua3 

PM Villarroel Solares4 

EM Márquez Villarroel5 

M Sánchez Chávez6 

ML Trigo Orsini7 

JE Dulon Tarqui8 

1 Bioquímico especialista en Inmunohematología, Docente Hematología y Bancos de Sangre FCFB - UMSA.

2 Química Farmacéutica especialista en Control de calidad de medicamentos y cosméticos del Instituto SELADIS

3 Bioquímica Magister, docente UNIFRANZ y UPEA.

4 Jefe a.i. Laboratorio HAIG Obrero N°1 Caja Nacional de Salud.

5 Docente Hematología Facultad Medicina, Carrera tecnología médica UMSA.

6 Bioquímica Magister en Hematología.

7 Magister y jefa del Laboratorio de Control de calidad de medicamentos y Biodisponibilidad del Instituto SELADIS

8 Médico especialista en Hematología y hemoterapia sub especialidad trasplante de células progenitoras hematopoyéticas


RESUMEN

En el laboratorio de inmunohematología, la preparación de glóbulos rojos es crucial para validar diversos procedimientos de fenotipificación de grupos sanguíneos. La conservación de eritrocitos en solución fisiológica puede reducir el ATP en un 80-90%1, lo que provoca cambios morfológicos y el aumento la fragilidad osmótica. La solución Alsever, un anticoagulante y conservante salino isotónico, utilizado en diversas disciplinas, pero por su alto costo y falta de disponibilidad en el país motivan la necesidad de su preparación y estandarización en los laboratorios locales.

OBJETIVOS: Preparar y evaluar la efectividad de la solución Alsever modificada en la conservación de eritrocitos humanos de distinto grupo sanguíneo en condiciones de altitud en La Paz, Bolivia.

MATERIALES Y MÉTODOS Se realizó un estudio de serie de casos con 10 donantes de sangre aleatorios del grupo sanguíneo A, B y O con grupo de control.

Se evaluó la supervivencia de eritrocitos en dos grupos: uno en solución Alsever modificada y otro en solución fisiológica al 0.9%. Los paneles se prepararon a una concentración de eritrocitos al 3% en ambas soluciones. Se llevaron a cabo pruebas fisicoquímicas, hematológicas, de hemólisis, hemaglutinación y pH, utilizando equipos automatizados y analizando los resultados a diferentes tiempos de conservación.

RESULTADOS Y CONCLUSIONES: Los resultados mostraron que la solución Alsever modificada conserva los eritrocitos por hasta 42 días, superando el tiempo de conservación de la solución fisiológica. Además, se estableció un protocolo para la preparación de células eritrocitarias de fenotipo conocido, lo que mejora los procedimientos de hemaglutinación. Este estudio respalda la efectividad de la solución Alsever modificada en regiones de gran altitud.

PALABRAS CLAVE: Inmunohematología; Alsever; fenotipo; aglutinación; gran altitud

ABSTRACT

In the immunohematology laboratory, red blood cell preparation is crucial to validate various blood group phenotyping procedures. Preservation of red cells in physiological solution can reduce ATP by 80-90%1, leading to morphological changes and increased osmotic fragility. Alsever solution, an anticoagulant and isotonic saline preservative, is used in various disciplines, but due to its high cost and lack of availability in the country, it is necessary to prepare and standardize it in local laboratories.

OBJECTIVES: To prepare and evaluate the effectiveness of modified Alsever solution in the preservation of human erythrocytes of different blood groups under altitude conditions in La Paz, Bolivia.

MATERIALS AND METHODS: A case series study was conducted with 10 random blood donors with blood types A, B, and O, with a control group.

Erythrocyte survival was evaluated in two groups: one in modified Alsever solution and the other in 0.9% physiological solution. Panels were prepared at a concentration of 3% erythrocytes in both solutions. Physicochemical, hematological, hemolysis, hemagglutination and pH tests were carried out using automated equipment and the results analyzed at different storage times.

RESULTS AND CONCLUSIONS: The results showed that the modified Alsever solution preserves erythrocytes for up to 42 days, exceeding the preservation time of physiological solution. In addition, a protocol for the preparation of erythrocyte cells of known phenotype was established, which improves hemagglutination procedures. This study supports the effectiveness of the modified Alsever solution in high altitude regions.

KEYWORDS: Immunohematology; Alsever; phenotype; agglutination; high altitude

INTRODUCCIÓN

En el laboratorio de inmunohematología, la preparación de paneles de glóbulos rojos es crucial para validar diversos procedimientos de fenotipificación de grupos sanguíneos, además de la preparación de células caseras (In House) (p. ej., para pruebas inversas de células tipo A1 y tipo B). También podemos preparar células de fenotipos conocidos y poco comunes en nuestra población como: Kell, Duffy, Kidd, Diego, Dombrock2, 3, 4 entre otros.

Cuando estos glóbulos rojos se almacenan en solución fisiológica según la práctica diaria en nuestro país desde la antigüedad hasta nuestros días, provoca una disminución del ATP hasta en un 80-90%1, generando cambios morfológicos y aumentando la fragilidad osmótica. La solución Alsever, es una solución salina equilibrada isotónica que se utiliza habitualmente como anticoagulante y conservante de la sangre, no solo en la inmunohematología humana, sino también en diversas disciplinas como la botánica, veterinaria, biología molecular y la biología celular; Esta solución al ser de elevado costo y hasta la fecha no poderse comercializar en nuestro país; como alternativa planteamos la opción de preparar y estandarizar la solución de Alsever en nuestros laboratorios.

La solución de Alsever fue creada por Alsever John Bellows un Hematólogo estadounidense (1908 - Phoenix, Arizona, 1978). Solución que es un conservador utilizado para prevenir la coagulación de la sangre, compuesto inicialmente de 2,05% de dextrosa, 0,8% de citrato sódico, 0,055% de ácido cítrico y 0,42% de cloruro sódico, mismo que a la fecha tuvo muchos cambios en función a las necesidades de cada investigador.

Para su uso, se mezcla suavemente un volumen igual de sangre con la solución, siendo igual de efectiva para diluciones menos concentradas; esta también se utilizó para estudiar la actividad antiinflamatoria in vitro de fármacos crudos mediante el método de estabilización de glóbulos rojos humanos, también se utiliza para conservar células sanguíneas de otras especies como ovejas, carneros, ratones, cobayos, caballos, entre otros, siendo de amplio uso en investigación veterinaria. 5, 9

Las condiciones de presión atmosférica y de oxígeno hacen que nuestro medio de hábitat sea muy exigente y diferente a las condiciones fisiológicas a nivel del mar, según estudios reportados por Moya;6 por tal motivo hace imperante la necesidad de conocer las características fisicoquímicas, pH, presión parcial de oxígeno y dióxido de carbono a fin de comprender la condición real de supervivencia de los eritrocitos conservados en solución Alsever; así de este modo poder ser analizados a condiciones reales de altitud a 3600 metros sobre el nivel del mar.

El presente trabajo tiene como objetivo evaluar la efectividad de la solución Alsever modificada en la conservación de eritrocitos humanos en condiciones de altitud en la ciudad de La Paz, Bolivia.

MATERIALES Y MÉTODOS

Se realizó un estudio de serie de casos con 10 donantes de sangre aleatorios del grupo sanguíneo A, B y O con grupo de control.

La preparación de la solución de Alsever en el laboratorio de Inmunohematología del Banco de Sangre tuvo varios contratiempos, en varias oportunidades las células conservadas según la formula original y formulas modificadas se hemolizaron en el mismo día de ser preparados, motivo por el cual, luego de analizar las posibles causas e intentar estandarizar el método se determinó que la Solución Alsever preparada en el laboratorio, presentaba un pH alcalino de 8.2; este simple hecho, producía cambios en la membrana eritrocitaria llevando a una hemólisis en las células preparadas.

Por consiguiente, revisando una mayor cantidad de referencias bibliográficas, se encontró que varios investigadores sugerían tamponar la solución con ácido cítrico a distintos pH: 5.8, 6.1, 6.5. 1,2, 3, 4, 7.

Para la preparación y estandarización de la solución Alsever, se solicitó apoyo al Laboratorio de control de calidad de medicamentos y biodisponibilidad del Instituto de Servicios de laboratorio y diagnóstico en salud (SELADIS) de la Facultad de Ciencias Farmacéuticas y Bioquímicas de la Universidad Mayor de San Andrés, quienes prepararon la solución con el material provisto y ajustado a tres mediciones de pH solicitados.

Tabla 1 Solución Alsever preparada en el Instituto Seladis en tres pH diferentes para su evaluación, tamponados con ácido cítrico. 

Luego de preparar y evaluar tres soluciones a diferente pH, se concluye que la solución de 6.1 se ajusta más al requerimiento y es la que conserva los eritrocitos por mayor tiempo y tardo más en generar hemolisis.

Tabla 2 Solución Alsever modificada, preparada por LCCM y BD del instituto SELADIS de la UMSA 

Una vez preparada la solución Alsever, para este estudio se trabajó con 10 donantes de sangre elegidos de forma aleatoria del Grupo A, grupo B y grupo O entre varones y mujeres todos ellos de 18 a 60 años de edad que asisten a donar sangre regularmente al Banco de Sangre de la seguridad social en la ciudad de La Paz Bolivia.

Para el uso experimental de su sangre, se firmó un consentimiento informado y antes de los exámenes de Inmunoserología e inmunohematología se evaluaron los criterios de inclusión y exclusión siguientes.

CRITERIOS DE INCLUSIÓN

Los criterios de inclusión fueron los básicos a la donación de sangre considerando:

Aceptar y firmar el consentimiento informado

Donantes de sangre de ambos sexos

Edad entre 18 y 60 años de edad

Donantes de sangre que hayan pasado el tamizaje laboratorial y clínico demostrando

buena salud física y estar sanos al momento de la donación.

Con un hematocrito mayor a 45%

Ser donante de sangre voluntario, de reposición solidaria o exigida

- Si tienen tatuajes o piercings, debe pasar un año luego de habérselo realizado

CRITERIOS DE EXCLUSIÓN

Padecer una infección como VIH, HBsAg, HCV, HTLV I y II, Chagas y Sífilis.

Estar tomando medicamentos como los Anti inflamatorios no esteroideos y esteroideos, Antibióticos.

Estar embarazada o en periodo de lactancia.

Padecer alguna enfermedad inmunológica.

Tener alergias con presencia de síntomas en el momento.

Haber consumido bebidas alcohólicas 24 horas antes de la donación de sangre.

Muestra sanguínea lipémica o con hemolisis visible.

Se utilizaron muestras sanguíneas del Grupo A, grupo B y grupo O colectadas preferentemente el mismo día de la preparación.

Se evaluó la supervivencia de los eritrocitos en dos grupos, uno conservado en solución Alsever modificada y otro en solución fisiológica, estos paneles se prepararon a una concentración del 3% en solución Alsever de los grupos sanguíneos A, B y O para su posterior evaluación.

Así mismo se preparó una solución al 3% de células O en solución fisiológica 0.9% como un control de comparación. mediante pruebas fisicoquímicas, hematológicas, hemólisis, hemaglutinación y pH de ambas soluciones a diferentes tiempos de conservación.

Figura 1 Viales preparados para la posterior evaluación de los cambios 

MEDICIÓN DE PARÁMETROS FISICOQUÍMICOS

Los parámetros físico-químicos se midieron utilizando la solución de las células preparadas tanto del grupo Alsever como del grupo control fisiológico, estos incluyeron determinación de pH, concentración de potasio, presión parcial de oxígeno, presión parcial de dióxido de carbono, prueba de hemólisis, prueba de aglutinación de sensibilidad y especificidad de antisueros vs paneles celulares.

Para el reporte de los cambios producidos en el tiempo se utilizó una lista de verificación de resultados en los que se evaluó los cambios más significativos medidos por el lector de gases de la marca TECHNO MEDICAL, MODELO GAS TAT 735 AQL del fabricante MT PROMET CONSULTING GMBH.

RESULTADOS

Figura 2 Evaluación del PH de la preparación de eritrocitos en solución ALSEVER y en solución fisiológica de los grupos sanguíneos A, B, O Y O FIS. 

En esta figura podemos observar que el pH de las soluciones preparadas en Alsever se mantuvieron relativamente constantes en un pH de 6.1 promedio.

El panel preparado en solución fisiológico daba un pH de 7.2 promedio, puesto que este es que se obtiene del envase mismo provisto por la farmacia clínica; dándonos una idea de que el tamponamiento de la Solución Alsever con ácido cítrico mantuvo el pH de la solución óptimo hasta las últimas mediciones, esto favoreciendo a la conservación de los eritrocitos.

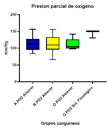
Figura 3 Evaluación de la presión de oxígeno de la solución ALSEVER y solución fisiológica de los grupos sanguíneos 

En esta figura, podemos observar que la presión de oxígeno tiende a disminuir, producto de la degradación, hemólisis y la glucólisis de los eritrocitos en el tiempo; tanto en los eritrocitos conservados en solución Alsever como en fisiológico, pero haciéndose más evidente en los eritrocitos conservados en solución fisiológica.

La hemólisis fue determinada en función a la recomendación de Lugo 8 definiendo según el grado de hemólisis:

Este grado se midió cuando los frascos de paneles de eritrocitos eran sacados del refrigerador y antes de mezclarlos para las posteriores mediciones. Si se apreciaba un halo de hemolisis por encima de la capa de eritrocitos.

Figura 4 Evaluación de la hemólisis producida en el tiempo transcurrido 

Los resultados registrados dan cuenta que la hemólisis fue producida en las células preparadas con solución fisiológica en un tiempo menor con relación a las células preparadas con solución Alsever modificado.

En esta figura podemos observar que la prueba de hemólisis resultó negativa hasta el día 28; posteriormente, expresó un grado de hemólisis de I y II con relación al grupo con solución fisiológica que empezó a hemolizar al día 14.

Figura 5 Eritrocitos del grupo sanguíneo "A" en solución alsever en la primer, tercera y sexta semana de evaluación. 

En el objetivo 1 correspondiente a la semana 1, se puede observar la conservación en cuanto a la forma de los eritrocitos. Alguno que otro crenocito, pero en general muchos normocitos.

En el objetivo 3 correspondiente a la semana 3, puede observarse la presencia de mayores crenocitos y macrocitos, lo cual indica que los eritrocitos están en un periodo previo a la hemolisis, aunque conservan en su mayoría su forma y coloración.

En el objetivo 6 correspondiente a la semana 6, se aprecia mayor producción de crenocitos y la proliferación de bacterias que consumen el citrato de sodio y la glucosa.

Los resultados de esta investigación mostraron que la solución Alsever modificada conserva los eritrocitos por hasta 42 días en comparación a la solución fisiológica que conserva solo 7 días.

Por tanto, esta solución puede ser utilizada por los laboratorios de Bancos de sangre, servicios de transfusión y laboratorios clínicos en zonas altas para mejorar la conservación de, por ejemplo: paneles de eritrocitos A1 y B, células control Coombs y otros tipos de células de fenotipos raros para estudios inmunohematológicos.

Este estudio respalda la efectividad de la solución Alsever modificada en regiones de gran altitud.

DISCUSIÓN

En un estudio realizado por Ritchie7, en Indonesia, el pH de los glóbulos rojos analizados almacenados en solución de Alsever fue estable hasta el día 14, mientras que en solución fisiológica solo hasta el día 9 y la morfología de los glóbulos rojos de prueba en solución de Alsever fue estable hasta el día 12 y en solución fisiológica al 0,9% fue estable hasta el día 6, consideramos importante reproducir este tipo de ensayos en las distintas regiones del país, puesto que el pH podría ser un factor importante en la estabilidad de la solución.

En un estudio realizado por Chávez10, se encontró que el grupo sanguíneo A y B son muy poco frecuentes en una ciudad de 4100 metros 3.5 % respectivamente, por lo que preparar estos paneles para las pruebas inversas se hace complicado el poder conseguirlas en el laboratorio, con la solución Alsever podríamos consérvalas por un mayor tiempo mejorando el procedimiento y la validación del método.

La solución Alsever desde su creación, ha sufrido muchísimos cambios y modificaciones, desde nuestra evaluación intentamos utilizar reactivos sencillos y fáciles de conseguir, pero si queremos obtener mejores resultados, podemos agregar Azida Sódica y cloranfenicol a fin de evitar la proliferación de hongos y bacterias respectivamente.

CONCLUSIÓN

La solución Alsever tiene una mayor capacidad de conservación que la solución fisiológica. Por tanto, sugerimos una muestra más amplia para profundizar en los estudios sobre la conservación en otras regiones de altitud o de llano. Este trabajo es importante para mejorar la conservación de células y puede tener alta relevancia para los bancos de sangre, servicios de transfusión y laboratorios clínicos en el país; Sin embargo, es importante tener en cuenta que las estrategias creadas en este documento no fueron probadas en otras ciudades del país donde la altura sea menor a 3600 msn. motivando a seguir esta misma línea de trabajo en las diferentes ciudades del País.

Lugares donde se realizó la investigación:

Laboratorio de Inmunohematología - Banco de Sangre Materno Infantil Caja Nacional de Salud.

Laboratorio HAIG Obrero N°1 Caja Nacional de Salud.

Laboratorio de Control de Calidad de Medicamentos y Biodisponibilidad del Instituto de Servicios de laboratorio y diagnóstico en salud (SELADIS) de la Facultad de Ciencias Farmacéuticas y Bioquímicas de la Universidad Mayor de San Andrés.

CONFLICTO DE INTERESES:

Los autores declaran no tener ningún conflicto de interés

REFERENCIAS

Fauziyah Z, Hayati E, Nurhayati B, Marliana N. STABILITAS PRC DALAM LARUTAN ALSEVER BUATAN TERHADAP MORFOLOGI ERITROSIT DAN FRAGILITAS OSMOTIK. JOURNAL RISET KESEHATAN POLTEKKES DEPKES BANDUNG [Internet]. 2019;11(1):277-84. Disponible en: http://dx.doi.org/10.34011/juriskesbdg.v11i1.779Links ]

Brecher ME, editor. American Association of Blood Banks. AABB 19th ed. Maryland: Bethesda; 2023. Technical Manual. [ Links ]

Geoff Daniels, Human Blood Groups [Internet]. Google Books. 2025. Available from: https://books.google.co.cr/books?id=CHT_-c45qQcC Edición 3 Editor John Wiley & Sons, 2013 ISBN 1118493540, 9781118493540 N.º de páginas 560 páginas [ Links ]

Cortés Buelvas A, Muñiz-Díaz E, León de González G, INMUNOHEMATOLOGÍA BÁSICA Y APLICADA Primera edición. Santiago de Cali, Colombia, marzo de 2014. [ Links ]

Alsever, J. B., & Ainslie, R. B. (1941). A new method for the preparation of dilute blood plasma and the operation of a complete transfusion service. NY State J. Med, 41, 126-131. [ Links ]

Moya, L. (s. f.). VIDA EN LA ALTURA. Recuperado 21 de agosto de 2021, de Organización Panamericana de la Salud-Bolivia website: http://www.ops.org.bo/altura/doc1.htmLinks ]

Ni Ken Ritchie, Shaffa Auliya Hawwa UJI STABILITAS pH DAN MORFOLOGI SEL DARAH MERAH UJI PADA LARUTAN ALSEVER DAN NaCl 0,9% DI UNIT DONANTE DARAH PUSAT PMI. Ensiklopedia of Journal [Internet]. Marzo 2022 4(3):127-131 Disponible en 10.33559/eoj.v4i3.311 [ Links ]

Luberta Lugo A, Leyva Torres JL, Gallardo Rodríguez E. Conservación de células rojas reactivas en dos soluciones de resuspensión: AS-1 y AS-2. [ Links ]

Schjerning-Thiesen, K. Experiments on the stability of sheep erythrocytes stored in Alsever’s solution. Acta Pathologica et Microbiologica Scandinavica, 32(1), 198-203. https://doi.org/10.1111/j.1699-0463.1953.tb00242. [ Links ]

Chávez-Ramos Mario A, Carrillo-Segales Juan E, Franco Cordero-Velásquez, Montero-Garrido Janinne A, Copaña-Machaca William O, Meliza Sacaca-Lipe et al. Frecuencia de grupos sanguíneos ABO y RhD, en universitarios de El Alto - Bolivia. Cuad. - Hosp. Clín. [Internet]. 2022 Jun [citado 2024 Oct 15] ; 63( 1 ): 34-38. Disponible en: http://www.scielo.org.bo/scielo.php?script=sci_arttext&pid=S1652-67762022000100005&lng=es. [ Links ]

*Autor para correspondencia: Dr. Mario Chávez, Cátedra de Hematología y Bancos de Sangre, Facultad de Ciencias Farmacéuticas y Bioquímicas, Universidad Mayor de San Andrés Av. Saavedra N ° 2224 piso 3, La Paz Bolivia e-mail: mario_chavez777@hotmail.com, mariochr78@gmail.com

Creative Commons License Este es un artículo publicado en acceso abierto bajo una licencia Creative Commons