Ecología en Bolivia
versión impresa ISSN 1605-2528versión On-line ISSN 2075-5023
Ecología en Bolivia v.45 n.2 La Paz sep. 2010
Artículo
Variación de la diversidad y composición florística en relación a la elevación en un bosque montano boliviano (PNANMI Madidi)
Variation of diversity and floristic composition in relation to elevation in a Bolivian montane forest (PNANMI Madidi)
Isabel Loza1, 2, Mónica Moraes R.1 & Peter M. Jørgensen2
1Herbario Nacional de Bolivia, Instituto de Ecología, Universidad Mayor de San Andrés, Casilla 1007- Correo Central, La Paz, Bolivia email: isarivera23@yahoo.com Autora de correspondencia
2Missouri Botanical Garden, P.O. Box 299, St. Louis, 63166-0299 Missouri, USA
Resumen
La presente investigación analiza la variación de la diversidad y composición florística de plantas leñosas en relación al gradiente de elevación a una escala local. Instalamos 15 parcelas temporales de muestreo de 0.1 ha entre 1.000–1.600 m en un bosque montano pluviestacional, midiendo todos los individuos de DAP ≥ 2.5 cm. Para analizar la relación entre elevación y diversidad calculamos índices de diversidad alfa y beta con los cuales se realizó regresiones lineales simples. Para analizar la composición florística en relación a la elevación realizamos un análisis de ordenación non-metric multidimensional scaling (NMS). La diversidad florística no fue explicada por la elevación, pero la riqueza posiblemente influenciada por el incremento del número de individuos mostró una significativa relación positiva con la elevación. La composición florística si cambió en relación a la elevación, ya que a lo largo del gradiente aparecen y desaparecen familias, géneros y especies, tal como lo reportado en anteriores estudios.
Palabras clave: Bosque montano, Composición, Diversidad, Elevación, Madidi.
Abstract
We analyze the variation in diversity and floristic composition of woody plants along an elevational gradient. A total of 15 0.1-ha plots were installed between 1,000–1,600 m in a seasonal wet montane forest. All individuals with a DBH ≥ 2.5 cm were recorded. Values of alpha and beta diversity were compared through simple linear regression to determine the relationship between elevation and diversity. A non-metric multidimensional scaling (NMS) was performed to detect compositional relationships among plots and to detect the relationship between plots and the most important species within the area surveyed. There were no significant elevational diversity trends, but richness, possibly as an effect of increased number of stems, showed a significant positive relationship with elevation. Floristic composition, however, changed with elevation, so that along the elevation gradient families, genera and species appeared and disappeared, as found in previous studies.
Keywords: Composition, Diversity, Elevation, Montane forest, Madidi.
Introducción
La diversidad botánica que albergan los bosques montanos tropicales ha sido estudiada y documentada por varios estudios durante los últimos años (Valencia & Jørgensen 1992, Gentry 1995, Jørgensen & Ulloa 1994, Jørgensen et al. 1995, Kappelle & Brown 2001). Muchos de los cuales analizaron la influencia de gradientes ambientales o ecológicos en los patrones de diversidad y composición florística en los bosques montanos (Gentry 1992, 1995, Kappelle & Juarez 1995).
Uno de los tópicos centrales en la ecología de comunidades es analizar la diversidad y composición florística en relación al gradiente de elevación (Dobzhansky 1950, Ricklefs 2004, Mittelbach et al. 2007). Estudios anteriores en bosques montanos húmedos muestran que para el rango 1.200-1.500 m. (Navarro 2002) las especies de llanura representan un porcentaje importante de la flora en número de especies, a medida que aumenta la elevación estas se hacen menos frecuentes y desaparecen o se entremezclan con las especies montanas típicas (Gentry 1995, Navarro 2002), se tiene de esta manera una zona de transición donde existen especies de las regiones andina y amazónica y desde los 1.500 m hasta el límite superior del bosque, la composición florística cambia con la elevación mostrando solo especies andinas (Gentry 1995, Vásquez & Givnish 1998).
La diversidad y composición florística son los atributos más importantes para diferenciar o caracterizar cada complejo y/o comunidad vegetal (Matteucci & Colma 1982). Se han definido tres clases de diversidad: diversidad alfa (α) o diversidad intra–habitat a escala menor de 1 km2 (Whittaker 1975, Magurran 1988, Feinsinger 2003), diversidad beta (β) que describe cómo la composición de especies varía de un área a otra (Duivenvoorden et al. 2002) y la diversidad gama (γ) definida como el número de especies en una región amplia (Whittaker 1975). Por otro lado, la composición florística de un bosque es determinada por el conjunto de especies de plantas que lo componen y es tradición medirla considerando la frecuencia, abundancia o dominancia de las especies (Whittaker 1975).
Este estudio presenta los resultados de una investigación llevada a cabo dentro de un bosque montano dentro de la región del PNANMI Madidi (W Bolivia), en la cual nos hemos planteado las siguientes preguntas: 1) ¿Es la diversidad florística influenciada por el gradiente de elevación? 2) ¿Cambia la composición florística en relación al gradiente de elevación?
Área de estudio
Realizamos la investigación entre las localidades de San Juan y San Martín en el Parque Nacional y Área Natural de Manejo Integrado Madidi, al noroeste del departamento de La Paz (provincias Franz Tamayo e Iturralde), dentro de un bosque subandino pluviestacional de Yungas (Navarro 2002, Fuentes 2005). En general, este tipo de bosque se encuentra en fuertes pendientes y quebradas profundas (Montes de Oca 1997), predominando geológicamente rocas de edad Ordovícica que litológicamente son areniscas, limonitas, cuarcitas, pizarras, lutitas y lavas almohadilladas (Suárez 2001).
La meteorización química es fuerte debido a la naturaleza litológica. La elevada humedad y alta precipitación en combinación con altas temperaturas provoca un lavado de nutrientes, resultando en suelos pobres en nutrientes. Los suelos tiene un pH que varía entre neutro a acido (3.7–7.2) con una media y desviación estándar de 6.2 ± 1.1 y las concentraciones de nutrientes disponibles son bajas: Nitrógeno 0.3–0.8 (0.5 ± 0.2) %. sodio 0.01–0.04 (0.2 ± 0.01) cmolc/kg y potasio 0.1–0.7 (0.3 ± 0.2) cmolc/kg. Solamente en algunos lugares la materia orgánica presenta valores relativamente altos (2.3 %) que son característicos de este tipo de bosques (Loza 2008).
Métodos
Fueron seleccionados 15 sitios de 0.1 ha (20 x 50 m) ubicados entre los 1.000-1.600 m, dentro las siguientes coordenadas: 14°08’41.5’’-14°09’39.3’’S y 68°43’01.7’’-68°44’41.8’’W, a una misma exposición (SE) y situación topográfica (ladera), con una distancia de 400–500 m entre ellos, situados en lugares de bosque primario sin perturbaciones antropogénicas o ecológicas recientes (Gentry 1982, Duque et al. 2001).
En cada uno de los sitios se registró y midió el diámetro de todos los individuos ≥2.5 cm de diámetro a la altura del pecho (DAP=1.30 m). Los especímenes colectados en campo siguieron las normas de herborización tradicionales y fueron depositados en el Herbario Nacional de Bolivia (LPB) y el Missouri Botanical Garden (MO).
Diversidad florística
Se calculó el índice de Shannon–Wiener (H’) (Whittaker 1975, Magurran 2004) y el inverso de Simpson (Dinv) (Feisinger 2003, Magurran 2004), ambos son índices de abundancia proporcional pero no responden de la misma manera a los cambios en número de especies o igualdad: El primero asume que los individuos son seleccionados al azar y que todas las especies están representadas en la muestra, además de ser sensible a los cambios en el número de especies; el segundo índice está influido por las especies más dominantes y es sensible a los cambios en igualdad (Magurran 2004). El alfa de Fisher fue calculado porque no depende del área y además no responde al hecho de no contar con el mismo esfuerzo de muestreo entre los sitios (Kempton & Taylor 1976). Se realizó regresiones lineales simples de los índices de diversidad para ver la relación con la elevación, todos estos análisis se los realizó dentro del programa SPSS v15. De la misma manera se hizo el análisis para el número de especies (riqueza) y el número de individuos.
Composición florística
Se obtuvieron los valores de dominancia, frecuencia, abundancia y diversidad relativa para determinar el valor de importancia de cada especie y familia (Müeller -Dombois & Ellenberg 1974). Para ver la agrupación de las parcelas según la composición florística y si estas se agrupaban por la elevación, se realizó un análisis de ordenación non-metric multidimencional scaling (NMS), utilizando la matriz de importancia ecológica de especies (IVI) y la medida de distancia de Sørensen (Bray-Curtis) en la opción de autopiloto. Además, se realizó un análisis de especies indicadoras para cada grupo encontrado con la prueba de significancia de Monte Carlo (1000 aleatorizaciones) para determinar cuáles especies lo caracterizaban (Dufrêne & Legendre 1997). Este método combina la abundancia relativa de las especies con la frecuencia relativa de ocurrencia de los grupos y asigna un valor que aumenta conforme los individuos de las especies se encuentran en más parcelas, calculando un valor indicador que va de 0 a 100% (Dufrêne & Legendre 1997).
La similaridad en la composición de la comunidad fue estimada entre los grupos florísticos hallados en el análisis de NMS usando el coeficiente de similitud de Sørensen (1948) y el índice de Bray-Curtis (CN) (Magurran 1988, Magurran 2004), observando de esta manera el recambio de especies entre estos grupos (diversidad beta).
Se evalúo si la diversidad beta y la composición florística estaban relacionadas o explicadas por la distancia geográfica y/o la elevación, mediante un test de Mantel (Mantel 1967), el cual evalúa la correlación entre matrices de distancia (Sokal & Rohlf 1995). Se elaboró cuatro matrices: abundancia de especies, diversidad beta (Índice de Sørensen), distancia geográfica (distancia en metros entre parcelas) y otra de elevación (distancia de elevación en metros entre parcelas). La dos primera matrices fueron contrastadas con la dos últimas por separado. Estos análisis se los realizó en el programa PC-Ord 4.14 (McCune & Grace 2002).
Familias ecológicamente importantes vs. elevación
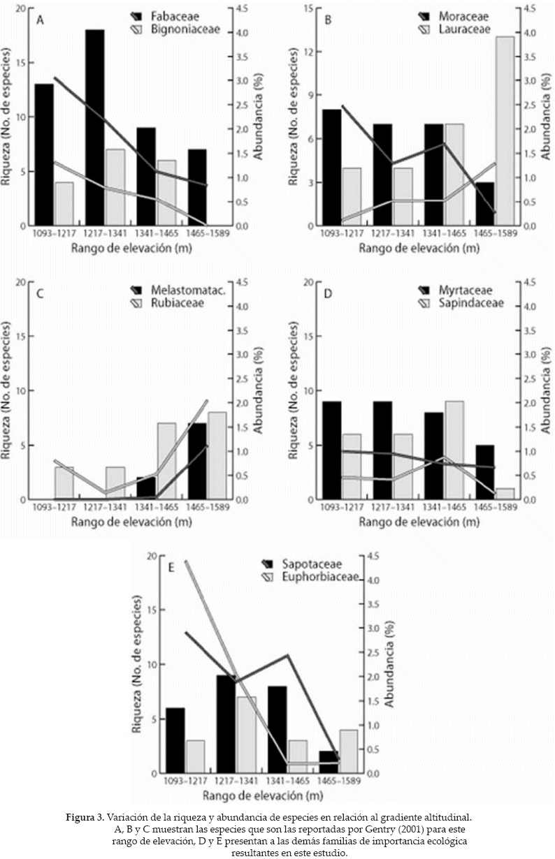
Realizamos un análisis de la variación de riqueza y abundancia de las familias más importantes ecológicamente en nuestro estudio y las reportadas por Gentry (1995) para los bosques montanos en relación a la elevación. Se elaboró un histograma de barras formando intervalos con los datos de elevación tomando en cuenta el valor más bajo y el más alto. También realizamos regresiones lineales simples con la riqueza de especies de estas familias para ver la relación que había con la elevación.
Resultados
Se registraron 4.190 individuos de plantas leñosas en un área de 1.5 ha, donde el 84.5% corresponde a árboles, 8.8% a arbustos, 0.2% hemiepífitas y 6.4% lianas. Se identificaron 73 familias, 171 géneros y 311 especies/morfoespecies. El área basal total fue 37.5 m2/ha (media por parcela 3.7 ±0.7). Los valores de riqueza estuvieron entre 37-73 especies por parcela. La mayor riqueza de especies y géneros se encontró en cuatro familias: Fabaceae (33 sp./17 gén.), Lauraceae (22/11), Myrtaceae (19/7) y Rubiaceae (18/13).
Se obtuvo en promedio 279.3 ±71.9 individuos y 52.2 ±9.6 especies por parcela. El 28% de las especies fue representado por un individuo (especies raras) y el 25% por más de 10 (especies comunes). El número de lianas fue de 17.9 ±12.5 y el de hemiepífitas 0.8 ±1.08.
Diversidad
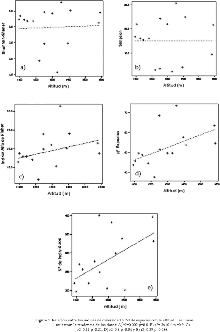
No se observó una relación marcada entre los índices de diversidad con la elevación (Fig. 1), ni una tendencia de la misma con los índices de Shannon-Wiener y Simpson. En el índice alfa de Fisher vemos una leve tendencia directamente proporcional, a medida que aumenta la elevación la diversidad aumenta (Figura 1c), aunque esta no es estadísticamente significativa. Por otro lado, la riqueza (Nº de especies) mostró una relación estadísticamente significativa (p=0.04; r2=0.3) mostrando incremento en el número de especies conforme aumenta la elevación, aunque la variabilidad total explicada por la relación entre el aumento de la altitud y el Nº de especies es bajo (Fig. 1d).Del mismo modo, el número de individuos estuvo relacionado significativamente con la elevación (p=0.036; r2=0.29) (Fig. 1e).

Composición
El análisis de NMS dio como resultado la formación de cuatro agrupaciones: Grupo 1 (parcelas 1–5), grupo 2 (parcelas 6, 7, 9–10), grupo 3 (parcelas 8, 11–13) y grupo 4 (parcelas 14–15). La ordenación mostró 9.5% de estrés final, con una inestabilidad final de 0.00007 después de 67 interacciones, representada en un diagrama de dos ejes, cuya correlación entre las distancias del espacio original n-dimensional y las distancias de ordenación del espacio en total explican el 94.9% de la variación de los datos (Fig. 2) lo que indica que la ordenación es confiable.

Los ejes estuvieron asociados a la variable de elevación separando a los grupos dentro de este gradiente, las elevaciones más bajas se encuentran dentro del grupo 1 y las más altas dentro del grupo 4 (Fig. 2a y b). El grupo 1 tuvo un alto grado de similitud florística (Sørensen ≥45%) entre las parcelas que lo conforman, mientras que en los demás grupos las parcelas estuvieron más dispersas por su variabilidad florística. Sin embargo, los valores de similitud tanto con datos cualitativos (presencia/ausencia de especies) como con los cuantitativos (abundancia), fueron mayores entre los grupos 1, 2 y 3, mientras que el grupo 4 obtuvo los valores más bajos y estuvo más alejado de los grupos porque no compartió ni el 10% de especies con ellos (Fig. 2a, b y tabla 1). Ambos índices mostraron que entre las agrupaciones existe un alto recambio de especies (diversidad beta) aunque una parte de ellas se mantiene, sin embargo sus abundancias son distintas (Tabla 1).

La composición de especies cambio con la elevación, en la figura 2b podemos ver que cada grupo está relacionado a especies diferentes. De la misma manera el análisis de especies indicadoras por agrupación, mostró que las especies que contribuyeron en la diferenciación de los grupos fueron diferentes para cada uno de ellos. Algunas de ellas fueron exclusivas de un grupo en particular obteniendo un valor indicador de 100, las demás especies obtuvieron también valores indicadores altos, sugiriendo un patrón de distribución agregado de estas especies (Tabla 2).

Juglans boliviana (IVI = 4.70) y Capparis coimbrana (IVI = 4.73) fueron especies indicadoras y al mismo tiempo estuvieron entre las más importantes ecológicamente, debido a sus valores altos de frecuencia, dominancia y abundancia.
La distancia geográfica (distancia en metros entre parcelas) no estuvo relacionada con la composición florística (test de Mantel p= 0.09; r=0.22), de manera opuesta si mostró una relación positiva con la elevación (p=0.00008; r=0.6), dando como resultado que el 60 % de la variación en la composición florística está explicado por la elevación. Ambas variables de distancia geográfica y elevación estuvieron relacionadas con la diversidad beta según el test de Mantel (r=-0.25 p=0.0001 y r=-0.73 p=0.0001, respectivamente).
Familias ecológicamente importantes vs. elevación
La riqueza y abundancia de especies de Fabaceae al igual que Moraceae, Sapindaceae y Myrtaceae disminuyeron a medida que la elevación incrementó pero este patrón no fue muy marcado. De manera opuesta, Bignoniaceae tuvo una mayor riqueza y abundancia de especies a bajas elevaciones y desapareció desde los 1.400 m. Lo contrario sucedió con Melastomataceae, esta familia estuvo ausente a elevaciones bajas, apareciendo solo encima de los 1.400 m aproximadamente. Lauraceae y Rubiaceae fueron aumentando en riqueza y abundancia de especies en relación a la elevación; Sapotaceae tuvo una distribución campana porque fue más rica en especies en elevaciones intermedias y menor número de especies a los extremos (Fig.3).

El análisis de regresión lineal dio como resultado que la riqueza de especies solo estuvo explicada por la variable elevación para Lauraceae (r2 = 0.7. p = 0.00009) y Melastomataceae (r2 = 0.7. p = 0.0003), siendo que para ambas familias el 70% de los datos está explicado por la elevación y además existe una relación lineal positiva entre ambas variables, es decir que a medida que la elevación va en aumento, la riqueza de especies de ambas familias también incrementa (Fig. 4).

Discusión
Diversidad
Nuestros resultados mostraron que no existe una relación ni una tendencia marcada entre los índices de diversidad evaluados y la elevación (Figs. 1 a-c) a la escala local en la cual realizamos nuestro análisis. El comportamiento de los índices de diversidad a lo largo del rango fue oscilante, tal vez porque la presencia de otras variables como la topografía, el suelo, la disponibilidad de luz o clima, o la combinación de más de una de estas variables explica algún patrón de diversidad para nuestros datos.
Por otro lado, el número de especies aumentó en relación a la elevación, siendo estadísticamente significativo (Fig. 1d), respaldando lo encontrado en estudios anteriores entre el rango de 1.000-1.500 m (Gentry 1995). Por otro lado, el estudio de Vazquez & Givnish (1998) en la sierra de Manantlán reportó un decremento del número de especies, géneros y familias desde los 1.500 hasta los 2.500 m, aunque nuestro estudio y el de Vazquez & Givnish (1998) no están dentro del mismo rango de elevación ambos muestran que hay una perceptible relación entre la riqueza (número de especies) y la elevación. Posiblemente la riqueza de especies estuvo influenciada por el incremento en el número de individuos, el cual a su vez estuvo significativamente relacionado con la elevación. (Fig. 1e)
La mayoría de las parcelas presentaron índices de diversidad altos, solo algunas presentaron bajos valores (Feinsinger 2003), debido a que los bosques montanos tienen una influencia tanto de especies amazónicas como andinas, llegando a ser un sitio de transición o ecotono (Gentry 1992, Gentry & Ortiz 1993, Gentry 1995, Smith & Killeen 1998) y muchas de nuestras parcelas fueron muestreadas dentro de este tipo de formación 1.000-1.500 m. Encontramos especies de origen amazónico como Trichilia pleana (0.7% de abundancia), Clarisia racemosa (1.9%) y C. biflora (1.7%), mientras que entre los elementos andinos fueron Juglans boliviana (0.3%), Ocotea aciphylla (0.4%) e Inga coruscans (3.6%). Los elementos amazónicos (hasta los 1.500 m) representan un porcentaje importante de la flora tanto en número de especies como en su abundancia y a partir de los 1.500 m de elevación la composición de las especies cambia (Gentry 1992, 1995).
Composición
A medida que aumentó la elevación, la composición florística del bosque cambió gradualmente donde aparecieron y desaparecieron géneros y especies. Encontramos cuatro agrupaciones constituidas según su composición florística y complementariamente en función de la elevación (Figs. 2a y b), la variación en la composición florística está explicada por la elevación pero no por la distancia geográfica entre parcelas (Test de Mantel). Esto sugiere que dentro un rango menor de elevación (en nuestro estudio 1.000-1.600 m), los cambios en la composición florística pueden ser marcados. Por otro lado, una distancia aproximada de 2.5 km (en nuestro estudio) no es suficiente para mostrar cambios florísticos significativos. Desde un punto de vista macro, observamos que la similitud florística entre los grupos 1-3 es mayor entre ellos que con el grupo 4, el cual tuvo una composición en especies completamente diferente separándose totalmente del resto de ellos. Fabaceae, Sapotaceae, Moraceae, Lauraceae, Bignoniaceae y Euphorbiaceae se encontraron presentes en todos los grupos, pero con diferente valor de importancia ecológica y diferente composición de especies, aspecto que fue ampliamente fundamentado por Gentry (1995).
Se registró un recambio de especies considerable (índice de Sørensen) entre los grupos, aun cuando no existan cambios ambientales marcados (Halffter & Moreno 2005). En general algunas especies van sustituyendo a otras muy afines en nichos iguales o muy semejantes (Condit et al. 2002). La distancia geográfica y la distancia en elevación estuvieron relacionadas con este patrón, aunque las distancias máximas fueron muy limitadas (Test de Mantel), ésto tal vez sea una de las razones por las cuales se fundamenta la extraordinaria riqueza de los bosques tropicales (Koleff et al. 2003). Sin embargo, en los bosques tropicales existe una porción de especies consideradas relativamente comunes a medida que el gradiente va avanzando (Pitman et al. 2001), lo que resulta en un porcentaje importante de similitud florística (Araujo-Murakami et al. 2005). Además nuestros resultados respaldan la hipótesis individualista (Gleason 1917, 1926, Vasquez & Givnish 1998), que sostiene que las especies vegetales responden individualmente a la variación de los factores ambientales y esos factores varían continuamente en el espacio y en tiempo. Como resultado de ello, la combinación de especies que encontramos en un área determinada es una combinación única.
Encontramos una dominancia de familias y especies particulares (Tabla 2) a ciertas elevaciones siendo consistente con la idea de que diferentes linajes están adaptados a diferentes condiciones ecológicas (Whittaker 1956, Whitmore 1975, Gentry 1982, Terborgh et al. 1996, Vasquez & Givnish 1998). Este argumento respalda también la hipótesis de la teoría individualista, además la distribución de las especies dominantes en relación a la elevación podría expresar que las especies dominantes son probablemente los competidores más importantes y por lo tanto tal vez son los determinantes en cada una de las distribuciones (Vasquez & Givnish 1998).
Familias ecológicamente importantes vs. elevación
Aunque la riqueza de especies no tuvo una relación bien marcada con la elevación, mostró que hay un cambio del número de especies para estas familias (Fig. 3). Para muchas de ellas, la riqueza disminuyó con la elevación, pero fue lo contrario para Lauraceae, Rubiaceae y Melastomataceae. Esta tendencia también fue reportada por anteriores estudios en bosques montanos en el mismo rango de elevación (Gentry 1995, Macía & Fuertes 2008).
Conclusiones
En nuestro estudio la diversidad florística no fue explicada por la elevación, tal vez porque la combinación de más de una variable ambiental como suelo, clima, topografía es lo que explica las diferencias de diversidad florística de un lugar a otro. Por otro lado, tal vez el rango de elevación analizado en nuestro estudio fue pequeño para detectar un patrón marcado. Sin embargo, la riqueza de especies si mostró una relación positiva con la altitud, debida al incremento en el número de individuos. La composición florística cambia a medida que la elevación incrementa, ya que a lo largo del gradiente aparecen y desaparecen familias, géneros y especies, tal como fue reportado en anteriores estudios.
Agradecimientos
A las instituciones y personal del Herbario Nacional de Bolivia (LPB), Missouri Botanical Garden (MO), al personal del Proyecto “Inventario Florístico de la Región del Madidi”, a Daniel Larrea que colaboró con el asesoramiento científico y a los guías de la comunidad de Azariamas. El estudio fue financiado por la National Geographic Society (Grant Nº 8047-06).

Referencias
Araujo-Murakami, A., P.M. Jørgensen, C. Maldonado & N. Paniagua-Zambrana. 2005. Composición florística y estructura del bosque de ceja de monte en Yungas, sector de Tambo Quemado–Pelechuco, Bolivia. Ecología en Bolivia 40(3): 325–338.
Brown, A. D. & M. Kappelle. 2001. Introducción a los bosques tropicales nublados del neotrópico: una síntesis regional. Pp. 25–40. En: Kappelle, M. & A. D.Brown (eds.) Bosques Nublados del Neotrópico. Instituto Nacional de Biodiversidad (INBio), Santo Domingo de Heredia.
Condit, R., N. Pitman, E.G. Leigh Jr., J. Chave, J. Terborgh, R.B. Foster, P. Núñez V., S. Aguilar, R. Valencia, G. Villa, H.C. Muller-Landau, E. Losos & S.P. Hubbell. 2002. Beta-diversity in tropical forest trees. Science 295: 666–669.
Dobzhansky, T. 1950. Evolution in the tropics. American Scientist 38: 209–221.
Dufrêne, M. & P. Legendre. 1997. Species assemblages and indicator species: the need for a flexible asymmetrical approach. Ecological Monographs 67: 345–366.
Duivenvoorden, J. F., J.-C. Svenning & S. J. Wright. 2002. Beta diversity in tropical forests. Science 295: 636-637.
Duque, A., M. Sánchez, J. Cavelier, J. F. Duivenvoorden, P. Miraña, J. Mireña & A. Matapí. 2001. Relación bosque ambiente en el medio Caqueta Amazonía colombiana. Pp. 120–129. En: Duivenvoorden, J. F. H. B. Balslev, J. Cavelier, C. Grandez, H. Tuomisto & R. Valencia (eds.). Evaluación de Recursos Vegetales no Maderables en la Amazonía Noroccidental. Comisión Europea Investigación Desarrollo Tecnológico y Desarrollo, INCO-DC, Ámsterdam.
Feinsinger, P. 2003. El diseño de estudios de campo para la conservación de la biodiversidad. FAN. Editorial FAN, Santa Cruz. 242 p. [ Links ]
Fuentes, A. 2005. Una introducción a la vegetación de la región del Madidi. Ecología en Bolivia 40 (3): 1–31.
Gentry, A. H. 1982. Neotropical floristic diversity: phytogeographycal connections between Central and South America, Pleistocene climatic fluctuations, or an accident of the orogeny. Annals of the Missouri Botanical Garden 69: 557-593.
Gentry, A. H. 1992. Tropical forest biodiversity: distributional patterns and their conservational significance. Oikos 63: 19-28.
Gentry, A. H. 1993. A field guide to the Families and Genera of woody plants of Nortwest South America (Colombia, Ecuador, Perú) with supplementary notes on herbaceous taxa. Conservation International, Washington D.C. 895 p. [ Links ]
Gentry, A. H. 1995. Patterns of diversity and floristic composition in Neotropical montane forest. pp. 103–126. En: Churchill, S. P., H. Balslev, E. Forero & J.L. Luteyn (eds.) Biodiversity and Conservation of Neotropical Montane Forests. The New York Botanical Garden, Nueva York.
Gentry, A. H. & R. Ortiz. S. 1993. Patrones de composición florística en la Amazonía peruana. pp. 155-166. En: Kalliola, R., M. Puhakka & W. Danjoy (eds.). Amazonía Peruana–Vegetación Húmeda Tropical en el Llano Subandino. Universidad de Turku/ONERN, Lima.
Gleason, H. A. 1917. The structure and development of the plant association. Bulletin of the Torrey Botanical Club. 43: 463-481.
Gleason, H. A. 1926. The individualistic concept of the plant association. Bulletin of the Torrey Botanical Club. 53: 7-26.
Halffter, G. & C.E. Moreno. 2005. Significado biológico de las diversidades alfa, beta y gamma. pp 5–18. En: Halffter, G., J. Soberón, P. Koleff & A. Melic (eds.). Sobre Diversidad Biológica: El Significado de las Diversidades alfa, beta y gamma. SEA CONABIO, Zaragoza.
Jørgensen, P.M. & C. Ulloa Ulloa. 1994. Seed plants of the high Andes of Ecuador – a checklist. AAU Rep. 34: 1–460.
Jørgensen, P.M. & C. Ulloa Ulloa, R. Valencia R. & J.E. Madsen. 1995. A floristic analysis of the high Andes of Ecuador. Pp. 221–237. En: Churchill, S.P., H. Balslev, E. Forero & J. L. Luteyn (eds.).Biodiversity and Conservation of the Neotropical Montane Forests. The New York Botanical Garden, Nueva York.
Kappelle, M. & M. E. Juárez.1995. Agroecological zonation along an altitudinal gradient in the montane belt of the Los Santos Forest Reserve in Costa Rica. Mountain Research and Development 15(1): 19-37.
Kappelle, M. & D. Brown. 2001. Introducción a los bosques neotropicales. Una síntesis regional. pp. 26-40. En: Kappelle, M. & D. Brown (eds.) Patrones de Diversidad y Composición Florística en los Bosques de las Montañas Neotropicales. Bosques Nublados del Neotropico, 1ra Edición. INBIO-FUA-UICN, Santo Domingo de Heredia. [ Links ]
Kempton, R. A. & Taylor, L. R. 1976. Models and statistics for species diversity. Nature 262: 818-820.
Koleff, P. 2005. Conceptos y medidas de la diversidad beta. pp. 19-40. En: Halffter, G., J. Soberón, P. Koleff & A. Melic (eds.). Sobre Diversidad Biológica: El Significado de las Diversidades alfa, beta y gamma. SEA, CONABIO, Zaragoza. [ Links ]
Loza, I. 2008. Relación entre la composición florística con factores edáficos en un bosque pluviestacional montano húmedo (Parque Nacional Madidi La Paz Bolivia). Tesis de licenciatura en biología, Universidad Mayor de San Andrés, La Paz. 90 p. [ Links ]
Macía, M.J. & J. Fuertes. 2008. Composición florística y estructura de los árboles en un bosque tropical montano de la Cordillera Mosetenes, Bolivia. Revista Boliviana de Ecología y Conservación Ambiental 23: 1-14.
Magurran, A. 1988. Ecological Diversity and its measurement. Princeton University Press., Princeton. 179 p. [ Links ]
Magurran, A. 2004. Measuring biological diversity. Blackwell Publishing, Oxford. 265 p. [ Links ]
Mantel, N. 1967. The detection of disease clustering and a generalized regression approach. Cancer Research 27: 209-220.
Matteucci, S.D. & A. Colma. 1982. Metodología para el estudio de la vegetación. Secretaría General de la Organización de los Estados Americanos, Washington. DC. 168 p. [ Links ]
McCune, B. & J.B. Grace. 2002. Analysis of ecological communities. MjM Software desing Oregon. 300 p. Suárez, R. 2001. Mapa geológico de Bolivia. Nacional de Geología y Minería y Yacimientos Petrolíferos Fiscales Bolivianos, La Paz. 118 p. [ Links ] [ Links ]
Mittelbach, G.G., D. Schemske, H.V. Cornell, A.P. Allen, J.M., Brown, M.B. Bush, S.P. Harrison, A.H. Hurlbert, N. Knowlton, H.A. Lessios, T.J. Near, T.D. Price, R.E. Ricklefs, ,K. Roy, D.F. Sax, D. Schluter, J.M. Sobel & M. Turelli. 2007. Evolution and the latitudinal diversity gradient: speciation, extinction, and biogeography. Ecology Letters 10: 315-335.
Montes de Oca, I. 1997. Geografía y recursos naturales de Bolivia. 3ra edición. Editorial EDOBOL, La Paz. 614 p. [ Links ]
McCune, B. & J.B. Grace. 2002. Analysis of ecological communities. Editorial, ciudad. 300 p. [ Links ]
Müeller–Dombois, D. & H. Ellenberg. 1974. Aims and methods of vegetation ecology. John Wiley and Sons, Nueva York. 547 p.
Navarro, G. 2002. Vegetación y unidades biogeográficas. pp. 1-500. En: Navarro, G. & M. Maldonado (eds.). Geografía Ecológica de Bolivia: Vegetación y Ambientes Acuáticos. Centro de Ecología Difusión Simón I. Patiño, Santa Cruz. [ Links ]
Pitman, N.C.A., J.W. Terborgh, M.R. Silman, P. Núlez, D.A. Neil, C.E. Cerón, W.A. Palacios & M. Aulestia. 2001. Dominance and distribution of tree species in upper Amazonian terra firm forests. Ecology 82(8): 2101-2117.
Rickelfs, R. E. 2004. A comprehensive framework for global patterns in biodiversity. Ecology Letters 7: 1-15.
Smith, D.N. & T. J. Killeen. 1998. A comparison of the structure and composition of montane and lowland tropical forest in the Serranía Pilón Lajas, Beni, Bolivia. pp. 681-700. En: Dallmeier, F. & J. A. Comiskey (eds.). Forest Biodiversity in North, Central and South America, and the Caribbean. Man and the Biosphere Series, Smithsonian Institution, Washington DC. [ Links ]
Sokal, R. R. & F. J. Rohlf. 1995. Biometry: The principles and practice of statistics in biological research. 3ra. Edic., W. H. Freeman Nueva York. 887 p. [ Links ]
Sørensen, T. 1948. A method of establishing groups of equal amplitude in plant sociology based on similarity of species content and its application to analyses of the vegetation on Danish commons. Biologiske Skrifter 5(4): 1-34.
Suárez, R. 2001. Mapa geológico de Bolivia. Nacional de Geología y Minería y Yacimientos Petrolíferos Fiscales Bolivianos, La Paz. Páginas totales. [ Links ]
Terborgh, J., R. B. Foster & P. Nuñez V. 1996. Tropical tree communities: a test of the nonequilibrium hypothesis. Ecology 77: 561-567.
Valencia, R. & P. M. Jørgensen 1992. Composition and structure of a humid montane forest on the Pasochoa volcano, Ecuador. Nordic Journal of Botany 12: 239-247.
Vázquez, J. A. & T. J. Givnish. 1998. Altitudinal gradients in tropical forest composition, structure, and diversity in the Sierra de Manantlán. Journal of Ecology 86: 999-1020.
Whitmore, T.C. 1990. An introduction to tropical Rain-forests. Clarendon Press, Oxford. 226 p. [ Links ]
Whittaker, R.H. 1975. Communities and ecosystems. MacMillan Publishing. Nueva York. 385 p. [ Links ]
Whittaker, R.H. 1956. Vegetation of the Great Smoky Mountains. Ecological Monographs 26: 1-80. [ Links ]
Artículo recibido en: Febrero de 2010.
Manejado por: Katya Romoleroux.
Aceptado en: Junio de 2010.











uBio 

