Servicios Personalizados
Revista
Articulo
Indicadores
-
Citado por SciELO -
Accesos
Links relacionados
-
Similares en
SciELO
Compartir
Gaceta Médica Boliviana
versión On-line ISSN 1012-2966
Gac Med Bol vol.39 no.1 Cochabamba jun. 2016
Artículo Original
Tablas de normalidad de la población en Cuba para los test psicométricos utilizados en el diagnóstico de la encefalopatía hepática mínima
Normality tables of the population in Cuba for the psychometric tests used in the diagnosis of minimal hepatic encephalopathy
Maykel Alain Padilla Ruiz1,a
1Hospital Universitario “Arnaldo Milián Castro”. Santa Clara, Villa Clara, Cuba.
aEspecialista de Primer Grado en Gastroenterología. Máster en Procedimientos Diagnósticos
*Correspondencia a: Maykel Alain Padilla Ruiz .Correo electrónico: padillagastrohepatol@gmail.com
Recibido el 3 de mayo de 2016.
Aceptado el 28 de mayo de 2016.
Resumen
Objetivo: la encefalopatía hepática mínima constituye el estadio subclínico previo al desarrollo de encefalopatía hepática clínica en el paciente cirrótico, además de asociarse a un deterioro de la calidad de vida de estos pacientes y a un riesgo incrementado de accidentes laborales e incapacidad de conducción de vehículos. El Psychometric Hepatic Encephalopathy Score es considerado actualmente el método diagnóstico de elección en el diagnóstico de la EHM. El objetivo de este trabajo fue diseñar las tablas de normalidad del PHES para la población cubana.
Métodos: se estudió una muestra conformada por 520 personas sanas de las provincias de Villa Clara, Sancti Spíritus y Cienfuegos. Las mismas realizaron los cinco tests incluidos en el PHES. Se analizaron las variables edad, sexo, años de escolarización, procedencia, y consumo diario de alcohol. Mediante la prueba de la t de Student, ANOVA y el coeficiente de correlación de Pearson se realizó el análisis univariante. Se efectuó un análisis de regresión lineal múltiple para cada test y se construyeron las tablas de normalidad.
Resultados: en el análisis multivariante (regresión lineal múltiple) la edad y los años de escolarización fueron las dos variables independientes relacionadas con el rendimiento en cada uno de los cinco test.
Conclusiones: la disponibilidad de las tablas de normalidad del PHES permitirá contar con un método diagnóstico de referencia aplicable a los pacientes con cirrosis hepática cubanos, sin la necesidad de configurar grupos controlados por edad y nivel de escolaridad regionalmente.
Palabras claves: cirrosis, encefalopatía hepática mínima, test neuropsicológicos, test de conexión numérica.,test de símbolos y números
Abstract
Objective: minimal hepatic encephalopathy (MHE) is the subclinical stage pre-clinical development of hepatic encephalopathy in cirrhotic patients, in addition to associated with impaired quality of life of these patients and an increased risk of accidents and disability of driving. The Psychometric Hepatic Encephalopathy Score (PHES) is currently considered the diagnostic method of choice in the diagnosis of MHE. The objective of this work was to design tables PHES normality for the Cuban population.
Method: a sample composed of 520 healthy people in the provinces of Villa Clara, Sancti Spiritus and Cienfuegos were studied. They made the five tests included in the PHES. The variables age, sex, years of education, origin, and daily alcohol consumption were analyzed. By t test of Student, ANOVA and Pearson correlation coefficient univariate analysis. an analysis of multiple linear regression for each test was performed and normal tables were constructed.
Results: in the multivariate analysis (multiple linear regression) age and years of schooling were the two independent variables related to performance in each of the five tests.
Conclusions: the availability of tables PHES normality will provide a diagnostic method applicable reference to patients with liver cirrhosis Cubans, without the need to configure controlled for age and education level regional groups.
Keywords: cirrhosis, minimal hepatic encephalopathy, neuropsychological tests, psychometric hepatic encephalopathy score, number connection test, digit symbol test.
nnii
La Encefalopatía Hepática Mínima (EHM) y la Encefalopatía Hepática encubierta son definidas como alteraciones detectadas a través de test específicos o la presencia de signos clínicos de disfunción cerebral en pacientes con enfermedad hepática crónica que no muestren desorientación o asterixis. El término “encubierta” engloba tanto a la EHM como a la Encefalopatía Hepática Grado I 1.
La EHM puede ser definida como la presencia de defectos cognitivos medibles en pacientes con enfermedad hepática, shunts portosistémicos o ambos, que no son identificados a través de una historia clínica detallada y un examen neurológico completo, que incluye la entrevista a familiares cercanos, pero que sí son detectados por anormalidades en pruebas neuropsicométricas o neurofisiológicas que se pueden realizar en la cabecera del paciente y en el contexto ambulatorio, en ausencia de otras causas conocidas de anormalidades en las pruebas cognitivas. Entre el 60-80% de los pacientes con cirrosis presentan evidencias de EHM2-5 .
El diagnóstico de la EHM se basa en: (I) La presencia de una enfermedad que puede causar EHM, como por ejemplo, la cirrosis, la presencia de una derivación portosistémica o ambas, (II) Un estado mental normal en el examen clínico, (III) La demostración de las anomalías del estado cognitivo, variables neurofisiológicas o ambas, y (IV) la exclusión de trastornos neurológicos concomitantes.
Las pruebas diagnósticas para EHM han sido dividas en dos categorías fundamentales: pruebas neuropsicológicas y pruebas neurofisiológicas.
Encontrándose dentro de ellas: La prueba de frecuencia de parpadeo crítico, la medición del tiempo de reacción continuo, el test de control inhibitorio, así como pruebas electroencefalográficas y el SCAN test6-15 .
La Prueba del Síndrome de Encefalopatía Portosistémica, más conocido como el test psicométrico para encefalopatía hepática (PHES) del inglés Psychometric Hepatic Encephalopathy Score, evalúa la esfera cognitiva, y psicomotora, así como la velocidad y la coordinación visual y motora. La prueba es fácil de administrar y presenta una buena validez externa1 .
Aunque la mayoría de los clínicos están de acuerdo que la EHM es un problema significativo que requiere un diagnóstico ambulatorio, existen muchos factores que atentan en contra de la aplicación de estas pruebas de forma rutinaria, como son: el tiempo de aplicación, la ausencia de parámetros de normalidad poblacionales para referencia, la interpretación de los resultados, así como el costo de su aplicación.
En 2001 Weissenborn y cols. comunicaron la utilidad de una serie de cinco pruebas psicométricas: test de símbolos y números (TSN), test de conexión numérica tipo A (TCNA-A) y tipo B (TCN-B), test del marcado seriado (TMS) y el test de la línea quebrada (TLQ) en el diagnóstico de la EHM, tras comparar los resultados obtenidos en pacientes cirróticos sin encefalopatía, con un grupo de pacientes cirróticos con encefalopatía hepática de grados I-II, así como frente a controles sanos y pacientes con enfermedades no hepáticas16.
Se han observado grandes variaciones geográficas en la realización de las pruebas psicométricas, de forma que los valores de normalidad en Alemania son diferentes a otros países donde se ha llevado a cabo la investigación como España, Italia, México, Polonia, Korea y China. El rendimiento en la realización de estas pruebas psicométricas se ve influido por la edad y el nivel de escolaridad; de ahí que sean necesarios los datos de un grupo control sano, ajustado por edad y escolaridad, para comprobar la existencia o no de alteraciones en la ejecución de dichas test17-22 .
Por todo ello, dada la utilidad de esta serie denominada PHES en el diagnóstico de la EHM, hemos realizado este estudio a fin de diseñar las tablas de normalidad de la población cubana en la realización de estos cinco tests que conforman la batería PHES, lo que permitirá diagnosticar la presencia de EHM en pacientes con cirrosis hepática en esta población.
Materiales y métodos
Se incluyeron en el estudio 520 personas “aparentemente sanas”, mayores de 18 y menores de 80 años, acompañantes de los pacientes de las consultas del Hospital Universitario “Dr. Celestino Hernández Robau” pertenecientes a las provincias de Villa Clara, Santi Spíritus y Cienfuegos. Se incluyeron personas que no presentaran las siguientes condiciones: Antecedentes referidos de alteración de la función hepática o renal, enfermedades neurológicas o psiquiátricas, u otras que pudiesen afectar su función cognitiva, abuso de consumo de alcohol (> 60 g/día para los hombres y > 30 g/día para las mujeres) en los últimos tres meses o consumo de drogas psicotrópicas.
Los sujetos seleccionados fueron estratificados en cuanto a edad y escolaridad. Se obtuvo el consentimiento informado por escrito de cada uno de los mismos. Fueron obtenidos los datos para conocer la edad, sexo, años de escolarización, procedencia y provincia de residencia. El consumo diario de alcohol también fue registrado. Los tests se realizaron siguiendo las recomendaciones del autor, utilizando papel y lapicera.
Test neuropsicométricos
La traducción al español de la batería compuesta por los cinco tests neuropsicométricos fue la misma utilizada para realizar similar estudio en España y México, que fue cedida gentilmente por uno de los autores de estas investigaciones, el Dr. Juan Córdoba a quien deseo expresar una vez más mi agradecimiento. Los cinco test neuropsicométricas que componen el PHES: TSN, TCN-A, TCN-B, TMS y TLQ fueron completados por todos los pacientes en una secuencia similar. Las instrucciones para la realización de los tests se resumen brevemente a continuación17,19.
Test de símbolos y númerosCada cuadrado muestra un número en la parte superior y un símbolo en la inferior y cada símbolo conecta con un número. En la línea de ejercicios de abajo, en los primeros cinco cuadrados los símbolos que pertenecen a los números están ya rellenos. La prueba consiste en rellenar con símbolos los cuadrados vacíos, completando tantos símbolos como se pueda en 90 segundos, sin cometer errores ni saltarse ningún cuadro.
Test de conexión numérica A
En una hoja se exponen, dispersos por el papel, 25 círculos numerados desde el 1 hasta el 25. Se deberán unir los números en el menor tiempo posible y sin cometer errores. En caso de equivocación, se interrumpirá inmediatamente al sujeto, éste corregirá el error y luego deberá continuar, sin parar el cronómetro. Se valora el tiempo (en segundos) necesario para completar la prueba.
Test de conexión numérica B
En esta versión los 25 círculos contienen 13 números (del 1 al 13) y 12 letras (de la A a la L). La tarea consiste en conectar números y letras alternándolos, en el menor tiempo posible y sin cometer errores. Al igual que en el TCN-A, si se detecta una equivocación el sujeto ha de rectificar sin que se detenga el cronómetro. Se valora el tiempo utilizado en completar la prueba.
Test del marcado seriado
En una hoja con 10 filas de círculos, el sujeto ha de puntear el centro de cada círculo y completar la hoja en el menor tiempo posible. Se valora el tiempo (en segundos) necesario para completar la prueba.
Test de la línea quebrada
En esta prueba la persona ha de dibujar una línea continua entre las dos líneas dadas. Al hacerlo, no deberá tocar ni cruzar las líneas pintadas. Se valoran el número de errores y el tiempo (en segundos) requerido para completar la prueba.
El TLQ genera dos resultados: el tiempo de ejecución y el número de errores. Estos resultados suelen ser complementarios, de forma que los sujetos que realizan el test rápidamente cometen muchos errores, mientras que los sujetos cuidadosos apenas cometen errores pero tardan mucho tiempo. Por ello decidimos utilizar el mismo parámetro que el utilizado por Romero en su investigación, resultado de la suma de ambos17.
Este nuevo parámetro se relaciona con la edad y los años de escolarización y además evita, por ejemplo, que un paciente presente –3 desviaciones estándar (DE) en el tiempo y +1 DE en el número de errores.
Análisis estadístico
El número de pacientes requerido para determinar los “valores normales de referencia“ del PHES fueron determinados a través de la edad y el nivel de escolaridad creándose varias categorías para estas variables: ≤ 29, 30-39, 40-49, 50-59 y ≥ 60 años para la edad y ≤ 6, 9, 12 y > 12 años de estudios terminados para el nivel educacional. Consecuentemente una tabla de 5 x 4 fue construida con la intención de incluir al mínimo 20 personas en cada una de las veinte celdas, lo que requería al menos de 400 voluntarios (fueron incluidos 520 personas).
Es de señalar que no se lograron completar las celdas correspondientes a los menores de 39 años de edad y con una escolaridad menor de 6 años, debido el alto nivel general de escolaridad de nuestra población, fundamentalmente en edades más jóvenes. Se analizó la distribución de las variables mediante un análisis de gráficas de distribución, dado el número de casos incluidos, se consideró que los resultados de los 5 tests presentaban una distribución normal.
Se analizó la influencia de la edad, sexo, consumo de alcohol (mayor o menor de 10 g al día), la procedencia, provincia de residencia y los años de escolarización en el rendimiento en cada uno de los cinco tests, para lo cual se utilizaron el test de ANOVA, la prueba de la t de Student o la regresión lineal de Pearson.
El paso inicial fue identificar las variables que afectaban cada uno de los test del PHES realizando un análisis bivariante de los efectos de la edad, sexo, educación, provincia de residencia, procedencia y consumo de alcohol.
Las variables que afectaban el resultado de los diferentes test del PHES fueron incluidas en un modelo de regresión lineal múltiple analizándose la magnitud de este efecto y aquellas con un mayor efecto fueron incluidas en el análisis de este modelo de regresión lineal múltiple.
Con los resultados de la regresión lineal múltiple se construyeron las ecuaciones de distribución de cada test según las variables independientes detectadas relacionadas con cada uno de los test: La edad y los años de escolarización. Por último, se calculó la DE de cada test, esto permitió confeccionar las tablas de normalidad de cada test psicométrico según la edad y años de escolarización. El coeficiente beta no estandarizado fue utilizado en este análisis en la fórmula final para la corrección de estos factores. El valor de p se consideró estadísticamente significativo < 0,05.
El análisis estadístico se realizó utilizando el paquete estadístico SPSS versión 19,0; (Chicago, IL, USA). En un grupo de 200 casos extraídos al azar se comprobó que los resultados de los tests oscilaban entre –2 y +5 puntos, de forma que ningún control presentó datos de EHM.
Resultados
520 voluntarios fueron finalmente incluidos, pues 20, de los 540 incluidos inicialmente, no fueron capaces de completar el TCN-B. La edad y el nivel educacional de los 520 voluntarios fue de 46,83 ± 16,1 (rango 18-73) y 11,2 ± 3,9 (rango 6-17) años respectivamente y 240 (46,1%) fueron hombres.

Figura 1. Distribución de los voluntarios de acuerdo a edad y sexo.
La distribución de los sujetos de acuerdo a la edad se muestra en la Figura 2.

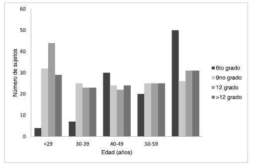
Figura 2. Distribución de los voluntarios de acuerdo a escolaridad y edad.
En el análisis univariante los resultados de los cinco test presentaron relación significativa con dos de las variables estudiadas: la edad y la escolaridad, el coeficiente de correlación de Pearson para estas variables se muestra en la Tabla 1.
Tabla 1. Correlación entre los test psicométrico, la edad y escolaridad

El resultado de los tests no se relacionó significativamente con el sexo, procedencia ni provincia de residencia. El consumo de alcohol influyó solamente en el resultado del TSN y TMS. En el análisis multivariante mediante regresión lineal múltiple, siendo las variables dependientes los resultados de los cinco tests, se comprobó que las variables independientes que influían en los resultados de todos los tests fueron la edad y escolaridad. Tal como se muestra en las Figuras 3 y 4 edades más jóvenes y mayores niveles de escolarización se relacionaron con mejores resultados del TSN.
Figura 3. Correlación entre los resultados del test de símbolos y números (TSN) y la edad (n=520).

Figura 4. Correlación entre los resultados del test de símbolos y números (TSN) y la escolaridad (n=520).
Se procedió a extraer las diferentes ecuaciones que permitían calcular los resultados esperados y la DE para cada edad o años de escolarización, obteniéndose las fórmulas finales tal como se muestran en la Tabla 2.
Tabla 2. Ecuaciones de regresión lineal múltiple para el cálculo de la puntuación en los tests psicométricos incluidos en el PHES. La suma final de puntos permite el diagnóstico de encefalopatía hepática mínima si es inferior a –4.

Discusión
Las actividades de la vida diaria se ven afectadas en la EHM debido a un deterioro cognitivo que puede tener un efecto perjudicial sobre la calidad de vida. Afecta principalmente a las actividades complejas relacionadas con la atención, procesamiento de la información y habilidades psicomotoras, tales como conducir un coche, planificar un viaje, ir de compras, entre otras.
Estudios realizados han demostrado que pacientes con EHM presentan un deterioro significativo del funcionamiento diario como: la interacción social, el estado de alerta, la conducta emocional, el sueño, el trabajo, la administración del hogar, el ocio y los pasatiempos en comparación con los pacientes cirróticos que no tenían EHM, además de un incremento significativo del riesgo de accidentes automovilísticos relacionados con el deterioro de la función cognitiva. El tratamiento con lactulosa mejora las funciones afectadas 23,24.
La frecuencia de la EHM aumenta proporcionalmente a la severidad de la enfermedad hepática. Es necesario tener en cuenta la alta frecuencia de la EHM en los pacientes con enfermedad hepática, para comprender su impacto en la aparición de EH clínicamente manifiesta, y que el tratamiento de la EHM puede inducir mejoras en estos resultados5, 7,25-27.
La realización del PHES requiere unos 15 min por paciente y ha sido objeto de debate si debe estudiarse a todos los pacientes cirróticos, a candidatos a trasplante hepático, o solo a aquellos con factores de riesgo, tales como: datos indicativos de deterioro cognitivo, pacientes que conducen o desarrollan tareas laborales peligrosas o aquellos con pérdida importante de rendimiento en el trabajo.
La Sociedad Internacional para Encefalopatía Hepática y Metabolismo del Nitrógeno (ISHEN, por sus siglas en inglés) en sus guías prácticas recomienda el PHES, debido a que puede ser aplicado transculturalmente, además de requerir una traducción mínima para su aplicación; sin embargo los valores de normalidad deben ser establecidos independientemente para cada país28.
Estrategias diagnósticas
Aún con los avances en el diagnóstico de la EHM la pregunta permanece: ¿Cuáles y con qué frecuencia los pacientes deben ser pesquisados para EHM?
Los pacientes con cirrosis hepática, aún con capacidad de mantener una vida independiente son los más afectados de EHM. Si existe se sospecha, deben ser aplicadas las pruebas neuropsicométricas (PHES), u otras pruebas como la Prueba de la Luz Oscilante o la Prueba de Control Inhibitorio.
Aunque no existe un consenso de la frecuencia de aplicación de las mismas, algunos estudios sugieren, en ausencia de sucesos agudos, aplicarlos cada 6 meses; aunque varios autores sugieren su repetición en 1-3 meses después del inicio del tratamiento1,28.
Futuros estudios y documentos de consenso definirán los métodos diagnósticos de la EHM y en qué grupo de pacientes investigar su presencia.
La cirrosis hepática y sus complicaciones asociadas se encuentran en estos momentos dentro de las 10 principales causas de mortalidad en Cuba, con incremento de las tasas de mortalidad en los últimos años por esta enfermedad. Siendo la encefalopatía hepática una de las complicaciones más frecuentes y graves de la cirrosis, resulta de importancia su diagnóstico precoz y tratamiento oportuno.
Mientras tanto, ya disponemos de una nueva herramienta que permitirá una evaluación correcta de la existencia de EHM utilizando la serie PHES en pacientes con cirrosis hepática aplicable en nuestra población29.
Conflictos de interés: los autores declaramos que no existe conflicto de intereses.
Referencias bibliográficas
1. Hendrik Vilstrup, Piero Amodio, Jasmohan Bajaj, Juan Cordoba, Peter Ferenci, Kevin D. Mullen, Karin Weissenborn and Philip Wong. Hepatic Encephalopathy in Chronic Liver Disease: Practice Guideline by AASLD and EASL.The American Association for the Study of Liver Diseases. 2014:12-14.
2. Guerit JM, Amantini A, Fischer C, Kaplan PW, Mecarelli O, Schnitzler A, et al. Neurophysiological investigations of hepatic encephalopathy: ISHEN practice guidelines. Liver Int 2009;29:789-796.
3. Randolph C, Hilsabeck R, Kato A, Kharbanda P, Li YY, Mapelli D, et al. Neuropsychological assessment of hepatic encephalopathy: ISHEN practice guidelines. Liver Int 2009;29:629-635.
4. Bajaj JS, Wade JB, Sanyal AJ. Spectrum of neurocognitive impairment in cirrhosis: implications for the assessment of hepatic encephalopathy. Hepatology. 2009;50:2014-21.
5. Sharma P, Sharma BC, Puri V, Sarin SK. Natural history of minimal hepatic encephalopathy in patients with extrahepatic portal vein obstruction. Am J Gastroenterol. 2009;104:885-90.
6. Aguilar J, Serrano P. Tratamiento de las enfermedades hepáticas y biliares. [CD-ROOM]. España: Asociación española para estudio del hígado; 2007.
7. Radha K, Dhiman RK, Chawla YK. Minimal hepatic encephalopathy. Indian J Gastroenterol. 2009 Jan.-Feb.;28:5-16.
8. Bajaj JS, Hafeezullah M, Franco J. Inhibitory control test for the diagnosis of minimal hepatic encephalopathy. Gastroenterology. 2008;135:1591-600.
9. Review Article: The Modern Management of Hepatic Encephalopathy. J.S. Bajaj. Aliment Pharmacol Ther. 2010;31(5):537-547.
10. Kircheis G, Wettstein M, Timmermann L, Schnitzler A, Haussinger D. Critical flicker frequency for quantification of low-grade hepatic encephalopathy. HEPATOLOGY 2002;35:357-366.
11. Romero-Gomez M, Cordoba J, Jover R, del Olmo JA, Ramirez M, Rey R, et al. Value of the critical flicker frequency in patients with minimal hepatic encephalopathy. HEPATOLOGY 2007;45:879-885.
12. Lauridsen MM, Thiele M, Kimer N, Vilstrup H. The continuous reaction times method for diagnosing, grading, and monitoring minimal/ covert hepatic encephalopathy. Metab Brain Dis 2013;28:231-234.
13. Bajaj JS, Hafeezullah M, Franco J, Varma RR, Hoffmann RG, Knox JF, et al. Inhibitory control test for the diagnosis of minimal hepatic encephalopathy. Gastroenterology 2008;135:1591-1600.
14. Bajaj JS, Thacker LR, Heumann DM, Fuchs M, Sterling RK, Sanyal AJ, et al. The Stroop smartphone application is a short and valid method to screen for minimal hepatic encephalopathy. HEPATOLOGY 2013;58:1122-1132.
15. Amodio P, Del Piccolo F, Marchetti P, Angeli P, Lemmolo R, Caregaro L, et al. Clinical features and survivial of cirrhotic patients with subclinical cognitive alterations detected by the number connection test and computerized psychometric tests. Hepatology 1999;29:1662-1667.
16. Weissenborn K, Ennen JC, Schomerus H, Ruckert N, Hecker H. Neuropsychological characterization of hepatic encephalopathy. J Hepatol 2001;34:768-773.
17. Romero Gómez M, Córdoba J, Jover R, del Olmo J, Fernández A, Flavià M, Compañy L,Poveda MJ, Felipo V. Tablas de normalidad de la población española para los tests psicométricos utilizados en el diagnóstico de la encefalopatía hepática mínima. Med Clin (Barc). 2006;127(7):246-9.
18. Amodio P, Campagna F, Olianas S et al. Detection of minimal hepatic encephalopathy: normalization and optimization of the Psychometric Hepatic Encephalopathy Score. A neuropsychological and quantified EEG study. J. Hepatol. 2008; 49: 346–53.
19. Duarte-Rojo A, Estradas R ,Hernández-Ramos R , Ponce de León S, Córdoba J, Torre A. Validation of the Psychometric Hepatic Encephalopathy Score (PHES) for Identifying Patients with Minimal Hepatic Encephalopathy. Dig Dis Sci (2011) 56:3014–3023.
20. Ewa Wunsch, Dorota Koziarska, Katarzyna Kotarska, Przemysław Nowacki, Piotr Milkiewicz. Normalization of the psychometric hepatic encephalopathy score in Polish population. A prospective, quantified electroencephalography study. Liver Int. 2013: 33: 1332–1340.
21. Yeon Seok Seo, Sun Young Yim, Jin Yong Jung, Chang Ha Kim, Jin Dong Kim, Bora Keum, et al. Psychometric Hepatic Encephalopathy Score for the detection of minimal hepatic encephalopathy in Korean patients with liver cirrosis. Journal of Gastroenterology and Hepatology 27 (2012) 1695–1704.
22. Su-Wen Li, Kai Wang, Yong-Qiang Yu, Hai-Bao Wang, Yuan-Hai Li, Jian-Ming Xu. Psychometric hepatic encephalopathy score for diagnosis of minimal hepatic encephalopathy in China. World J Gastroenterol 2013 December 14; 19(46): 8745-8751.
23. Zhou YQ, Chen SY, Jiang LD. Development and evaluation of the quality of life instrument in chronic liver disease patients with minimal hepatic encephalopathy. J Gastroenterol Hepatol. 2009;24:408-15.
24. Kim Y, Park G, Lee M, Lee JH. Impairment of driving ability and neuropsychological function in patients with MHE disease. Cyberpsychol Behav. 2009;12:433-6.
25. Sharma P, Sharma BC, Puri V, Sarin SK. An open-label randomized controlled trial of lactulose and probiotics in the treatment of minimal hepatic encephalopathy. Eur J Gastroenterol Hepatol. 2008;20:506-11.
26. Mittal VV, Sharma P, Sharma BC, Sarin S. Treatment of minimal hepatic encephalopathy: A randomised controlled trial comparing lactulose, probiotics and l-ornithine l-aspartate with placebo. Hepatology. 2009;50(Suppl.):4-7.
27. Sharma BC, Sharma P, Agrawal A, Sarin SK. Secondary prophylaxis of hepatic encephalopathy: an open-label randomized controlled trial of lactulose versus placebo. Gastroenterology. 2009;137:885-91.
28. Montgomery JY, Bajaj JS. Advances in the Evaluation and Management of Minimal Hepatic Encephalopathy. Curr Gastroenterol Rep. 2011:13:26-33.
29. Anuario Estadístico de Salud 2014. Dirección de Registros Médicos y Estadísticas de Salud. Ministerio de Salud Pública de Cuba: 30-32.













