SciELO - Scientific Electronic Library Online

 
vol.30 número1DETERMINACIÓN DE DIFERENTES TIPOS DE ALMIDÓN EN SOLANUM TUBEROSUM, PAPA PROVENIENTE DEL ALTIPLANO DE LA PAZ índice de autoresíndice de materiabúsqueda de artículos
Home Pagelista alfabética de revistas  

Servicios Personalizados

Revista

Articulo

Indicadores

Links relacionados

Compartir


Revista Boliviana de Química

versión On-line ISSN 0250-5460

Rev. Bol. Quim vol.30 no.1 La Paz  2013

 

ARTICULO

 

STUDIES ON BIOLOGICALLY SIGNIFICANT MERCURY (II), NICKEL (II) AND LEAD (II) BINARY COMPLEXES WITH - AMINOBUTENOIC ACID IN SOLUTION

 

 

Oirij 'Rhushan 'Tewari*
Department of Chemistry, Faculty of Natural Sciences, University of Guyana, P. O. Box: 101110, Georgetown, Guyana

 

 


Keywords: Paper electrophoresis, mercury(II) complexes, nickel(II) complexes, lead(II) complexes, a-aminobutenoic acid, stability constaras.

ABSTRACT

Stability constants of binary Hg(II) - a-aminobutenoic acid, Ni(II) - a-aminobutenoic acid and Pb(II) - a-aminobutenoic acid have been determined by paper ionophoretic technique at 0.1 M ionic strength and a temperature of 35° C. The stability constants of Hg(II) - a-aminobutenoic acid, Ni(II) - a-aminobutenoic acid and Pb(II) - a-aminobutenoic acid, ML and ML2 binary complexes were found to be (7.81 + 0.03, 6.50 + 0.05), (6.05 + 0.01, 5.15 + 0.06 and (4.20 + 0.02, 2.55 + 0.07) (logarithm of stability constant valúes), respectively.


 

 

INTRODUCTION

For a mononuclear binary complex, if a central atom (central group) M (the 'metal' and a ligand L have been defined, then in the following expressions Kn is the stepwise formation constant, and is the cumulative formation constant for the complex MLn. They can both be referred to as stability constants (stepwise and cumulative) [1]

A significant development on the determination of stability constants of complexes was made by Jokl [2] in 1964. A theoretical treatment similar to that of Jokl was adopted by Biernat [3] for the study of stepwise complex formation. Banerjea [4] has classified nickel as beneficial and mercury as well as lead toxic metáis, respectively. Beneficial metáis are helpful for healthy life. Toxic metáis are very harmful even at very low concentration. Nickel is an integral component of the enzymes urease, may be involved in the action of hydrogenase. Mercury is extremely harmful, even a concentration of 0.03 ppm in drinking water. Mercury deactivates sulphur containing enzymes with active - SH groups, affects brain cells and the central nervous system. Lead seriously affect the reléase of neurotransmitters which are vital for transmission of nerve impulses. Enzymic conversión of ATP to ADP by the enzyme ATP-ase releasing energy needed for life process is significantly inhibited by lead. Mercury, nickel and lead have several significant applications in biological systems [5-24]. 2-Amino - 3 - butenoic acid is a naturally occurring amino acids which do not occur in protein. It has several significant applications in biological systems [25-33].

Kiso [34] has done comprehensive study on paper electrophoretic migration of metal complexes. The electrophoretic technique usually suffers from numbers of defects, e.g. temperature rise during electrophoresis, capillary flow on paper, adsorption and molecular sizing affect the mobility of charged moieties [35]. The technique described here is almost free from these destroying factors.

Publications [36-40] from our laboratory have described a new method for the study of metal complexes. A search of the literature indicated few reports on Ni(II) - -aminobutenoic acid Pb(II) - -aminobutenoic acid complexes and no report on Hg(II) - -aminobutenoic acid complexes. In view of this, attempts were made to establish the optimum conditions for metal(II) - -aminobutenoic acid complex formation. In addition, the present paper describes a paper electrophoretic method for the determination of the stability constants of Hg(II) / Ni(II) / Pb(II) - oc-aminobutenoic acid binary complexes.

 

RESULTS

Chemical literature [41, 42] confirms that anionic species of amino acids are the solé ligating species for metal ions. The electrophoretic mobility of the metal spot against pH gives a curve with a number of plateaus as is shown in Figure 3. A constará speed over a range of pH is possible only when a particular complex species is overwhelmingly formed. Thus, every plateau is indicative of formation of a certain complex species. The first one corresponds to a región in which metal ions are uncomplexed. In this región of low pH the concentration of the [CH2 = CH - CH (NH3+) COOH] species of oc-aminobutenoic acid is at a máximum and this species is not complexing. Beyond this range, metal ion spots have progressively decreasing mobility, complexation of metal ions should be taking place with anionic species of oc-aminobutenoic acid whose concentration increases progressively with an increase of pH. Figure 3 shows three plateaus in mercury(II), nickel(II) and lead(II). Henee all three Hg(II), Ni(II) and Pb(II) form two complexes with the a-aminobutenoic acid anión. It is therefore assumed that the anionic species [CH2 = CH -CH (NH2) COO] of a-aminobutenoic acid has complexed with the metal ions to form different complexes. Figure 3 reveáis that Hg(II), Ni(II) and Pb(II) form their first complex movement towards the negative electrode. Henee, one [CH2 = CH - CH (NH2) COO] must have combined with Hg(II), Ni(II) and Pb(II) ions to give [Hg {CH2 = CH - CH (NH2) COO}]+ [Ni {CH2 = CH - CH (NH2) COO}]+ and [Pb {CH2 = CH - CH (NH2) COO}]+ complex cations, respectively. With a further increase of pH, mobility in all three metal ions decreases giving rise to a third plateau with zero mobility that indicates its neutral nature. The third plateau in each case is due to a (1:2) metal ligand complex. Henee, two [CH2 = CH - CH (NH2) COO] anions must have combined with Hg(II), Ni(II) and Pb(II) to give the [Hg {CH2 = CH - CH (NH2) COO}2] , [Ni {CH2 = CH - CH (NH2) COO}2] and [ Pb{CH2 = CH - CH (NH2) COO}2] complexes, respectively.

Further, increase of pH has no effect on the mobility of metal ions. In view of the above observations, the complexation of metal ions with -aminobutenoic acid anión [L-] may be represented as:

where M2+ represents the Hg2+, Ni2+ and Pb2+ metal ions, [L-] is the -aminobutenoic acid anión, and K1 and K2 are the first and second stability constants, respectively.

The metal spot on the paper is thus a combination of the uncomplexed metal ions; 1:1 complex, and 1:2 complex. The spot is moving under the influence of the electric field, and the overall mobility is given by the equation of Jokl [43].

where [HpL]x is the concentration of general complex species; is the overall mobility constant of the complex; uxp is the speed of the general complex [M(HpL)x] present in the combination. On taking into consideration different equilibria, the above equation is transformed into the following form:

where u0, ui and u2 are the mobilities of uncomplexed metal ions, 1:1 and 1:2 metal complexes, respectively.

For calculating first stability constant, K1 the región between first and second plateau is pertinent. The overall mobility U will be equal to the arithmetic mean of the mobility of uncomplexed metal ion, u0 and that of the first complex u1, at a pH where K1 = 1/[CH2 = CH-CH (NH2) COO-].

With the help of dissociation constants of puré a-aminobutenoic acid [k! = 10245, k2 = 10925 (paper electrophoretically obtained valué], the concentration of a-aminobutenoic acid anión is determined at the pH of average mobility from which K1 can be calculated.

The concentration of chelating a-aminobutenoic acid species [L] is calculated with the help of equation.

where [LT] is the total concentration of ligand, a-aminobutenoic acid (0.01 M); k1 and k2 are the first and second dissociation constants of puré -aminobutenoic acid, respectively.

The stability constant K2, of the second complex can be calculated by taking into consideration, the región between second and third plateau of the mobility curve. The calculated valúes K1and K2 are given in Table 1.

 

DISCUSSION

It is observed from the Table 1 that the stability constant valúes are approximately similar to literature valúes. The slight deviation in the valúes obtained from different sources is mainly due to the difference in temperature, ionic strength and experimental conditions used by different researchers.

The stability constants of metal complexes can be very easily calculated by this technique. The present technique is limited to charged species and the precisión of the method is not as high as other physicochemical methods. However, uncertainty in the results is 5 %. It is not felt that it can replace the most reliable methods although it is new approach worth further development.

It is observed from Table 1 that stability constants of ML and ML2 complexes follow the order :

The molecular structure of -aminobutenoic acid is given as:

The valúes of second stability constant of ML2 complexes are found to be lower in comparison to first stability constará of ML complexes in each case this may be due to the decrease in coordinating tendency of ligand with the higher state of aggregation. In other words, the metal progressively lesson its tendency of linkage with a ligand on progressive filling of vacant orbitals [44]. Higher stability constant valúes of mercury(II) --aminobutenoic acid indicate greater affinity of mercury(II) with oxygen donor ligands, while lower stability constant valúes of lead(II) --aminobutenoic acid indicate lesser affinity of lead(II) with oxygen donor ligands. The probable structure for general ML2 complex may be given as:

EXPERIMENTAL

Instruments

Electrophoresis equipment from Systronic (Naroda, India), model 604 was used. The equipment has a built - in power supply (a.c - d.c) that is fed directly to the paper electrophoresis tank. The potential in each experiment was kept at 240 V and electrophoresis was carried out for 60 minutes. An Elico (India) model L1-10 with glass and calomel electrodes assembly and working on 220 V /50 Hz established a.c mains, was used for pH measurements. Electrophoresis cell showing sandwiched paper strips and water supply is shown in Figure 1.

Chemicals

Mercury(II), nickel(II) and lead(II) and perchlorate solutions were prepared by preliminary precipitation of metal carbonates from a 0.1 M solution of sodium carbonate (AnalaR grade, BDH, Poole, UK). The precipitates were thoroughly washed with boiling water and treated with calculated amounts of 1 % perchloric acid. The resulting mixture was heated to boiling on a water bath and then filtered. The metal content of the filtrates were determined and final concentration was kept at 0.005 M [45, 46]. The position of the Ni2+ spots on the paper at the end of the experiment was detected using ammonical dimethylglyoxime (DMG), that of Pb2+ detected by 0.1 % solution 1 - (2 -pyridylazo) - 2 - naphthol (PAN) (Merck, Darmstadt, Germany) in ethanol, that of Hg2+ detected using hydrogen sulphide in water. The 0.005 M glucose (BDH, AnalaR) solution was prepared in water and used as an indicator for the correction due to electro-osmosis. A saturated aqueous solution (0.9 mL) of silver nitrate was diluted with acetone to 20 mL. Glucose was detected by spraying with this silver nitrate solution and then with 2% ethanolic solution of sodium hydroxide, when a black spot was formed. Paper strips showing position of metal ions spot after electrophoresis is shown in Figure 2.

Background electrolyte

Stock solution of 5.0 M perchloric acid was prepared from its 70% solution (SDS, AnalaR grade). 2.0 M sodium hydroxide and 0.5 M -aminobutenoic acid (BDH, Poole, UK) solutions were prepared. The background electrolyte used in the study of binary complexes were 0.1 M perchloric acid and 0.1 M -aminobutenoic acid. The system was maintained at various pH by the addition of sodium hydroxide.

Procedure

Whatman No. 1 filter paper for chromatography was used for the purpose of electrophoresis. For recording observation of particular metal ion, two paper strips were spotted with the metal ion solution along with additional two spotted with glucose using 1.0 \\L pipette and then mounted on the insulated píate. Each of the two electrolyte vessels was filled with 150 mL of background electrolyte solutions containing 0.1 M perchloric acid and 0.01 M oc-aminobutenoic acid. The paper become moistened with the background electrolyte solutions due to diffusion. The second insulated píate was placed on paper strips and then thermostated water (35° C) was circulated into the plates to keep the temperature constant. The lid was then placed on the instrument to make it air tight. It was left for 10 minutes to insure wetting the strips. Subsequently a direct 240 V potential was applied between electrodes. Electrophoresis was carried out for 60 minutes after which the strips were removed from the tank and dried. The metal ion and glucose spots were detected by specific reagents. The leading and tailing edges were measured from marked center point and the mean taken. The distance moved by glucose was subtracted (in case of migration toward anode) to obtain correct path length. Migration towards anode and cathode were designated by negative and positive signs, respectively.

Electrophoretic observation of metal ions were recorded at various pH valúes of the background electrolyte, the ionic strength being maintained at 0.1 M. The observed mobility of migrant was calculated by using the formula.

After applying the correction factor the observed mobility is given as:

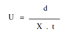
where U = mobility of metal ion / complex ions; d = mean of duplicate distance travelled by metal ion / complex ion; dG = mean of duplicate distance travelled by glucose spot; X = field strength (7.5 V/cm); t = time for electrophoresis.

The speed of the metal ions / complex ions are reported with pH valúes. A plot of mobility against pH curve for metal (II) - oc-aminobutenoic acid is shown in Figure 3. The scheme for paper electrophoresis set up is shown in Figure 4.

 

CONCLUDING REMARKS

The following conclusions can be drawn from the present study.

Mercury(II), nickel(II) and lead(II) are significant but since they are toxic, a-aminobutenoic acid may be used to reduce the level of these metal ions in biological systems. Mercury(II) - a-aminobutenoic acid and Lead(II) - a-aminobutenoic acid complexes were found to have higher and lower stability constant valúes, respectively. The ML2 complexes are found to have low stability constant valúes and are less stable in comparison with the ML complexes in each system. Biologically important mercury(II), nickel(II) and lead(II) complexes with a-aminobutenoic acid can be prepared on a large scale at a particular pH of background electrolyte. Paper electrophoretic technique is very helpful in determining whether a complex system is formed or not and if formed its stability constants can also be determined.

 

NOTAS

*Corresponding author: briitew@vahoo.com

 

REFERENCES

1.               MCNAUGHT, A. D.; WILKINSON, A. (eds.), Compendium of Chemical Terminology (IUPAC Orange Book No. 11), 2da Edition, Royal Society of Chemistry, Cambridge, UK, 1997.

2.               JOKL, V. J. C/iromatogr. 1964,14, 71.

3.               BIERNAT, J. Rocz. Chem. 1964, 38, 343.        [ Links ]

4.               BANERJEA, D. Everyman's Sci. 1995, 29, 176.        [ Links ]

5.               OKORONKWO, N. E.; IGWE, J. C; OKORONKWO, I. J. Afr. J. Biotechnol. 2007, 6(4), 335.        [ Links ]

6.               MORTAZAVI, S., REZAEE, A.; KHAVANIN, A.; VARMAZYAR, S.; JAFARZADEH, M. J. Biol. Sci. 2005, 5(3), 269.        [ Links ]

7.               HOLBACH, S.; VOGT, S.; KOHLER, W., FELGENHAUER, N.; WELZL, G.; KREMERS, L.; ZILKER, T.; MELCHART, D. Environ. Res. 2008,107, 69.        [ Links ]

8.               KHAN, M. A. K.; WANG, F. Environ. Toxicol. Chem. 2009, 28(8), 1567.        [ Links ]

9.               XIE, L.; FLIPPIN, I. L.; FUNK, D. H.; DICKEY, D. A.; BUCHWALTER, D. B. Environ. Sci. Technol. 2009, 43, 934.        [ Links ]

10.             JANA, A.; KIM, J. S.; JUNG, H. S.; BHARADWAJ, P. K. Chem. Commun. 2009, 4417.        [ Links ]

11.             KARTHIKEYAN, J.; PARAMESHWARA, P.; SHETTY, A. N. Indian J. Chem. Technol. 2008,15, 493.        [ Links ]

12.             PAUL, C. C; STONE, J. J. Environ. Eng. Sci. 2009, 26(4), 841.        [ Links ]

13.             BULUT, I. Turk J. Chem. 2009, 33, 507.        [ Links ]

14.             ALLY, A. A. M; OSMAN, A. H.; ELMOTTALES, M; GOUDA, G. A. H. J. Chil. Chem. Soc. 2009, 54(11), 349.        [ Links ]

15.             PRAKASH, A.; GANGWAR, M. P.; Singh, K. K. J. Dev. Biol. Tissue Eng. 2011, 3(2), 13-19.        [ Links ]

16.             MOUNIKA, K.; ANUPAMA, B.; PRAGATHI, J.; GYANKUMARIC. J. Sci. Res. 2010, 2(3), 513.        [ Links ]

17.             GRUBEI, K., FULLER, A. L.; CHAMBERS, B. M; ARIF, A. M; BERREAU, L. M. Inorg. Chem. 2010, 49(3), 1071.        [ Links ]

18.             HASSAN, R. Y. A.; HABIB, I. H. I. HASSAN, H. N. A., Int. J. Electrochem. Sci. 2008, 3, 935.        [ Links ]

19.             LIN, Z., FERNANDEZ-ROBLEDO, J., CELLIER, M. F. M.; GERARDO, R. J. Argentine Chem. Soc. 2009, 97(1), 210.        [ Links ]

20.             SILVEIRA, E. A.; LIZARDO, J. H. F.; SOUZA, L. P.; STEFANON, I.; VARRALLO, D. V. Braz. J. Med. Biol. Res., 2010, 43(5), 492.        [ Links ]

21.             ADEBAYO, O. L.; ADEGBESAN, B. O.; ADENUGA, G. A. Asian J. Biol. Sci. 2009, 2(1), 7.        [ Links ]

22.             CHANDRA, A.; SURTÍ, N.; KESAVAN, S.; AGARWAL, A. ArchMed. Sci. 2009, 5, 528.        [ Links ]

23.             BABALOLA, O. O.; OJO, L. O.; ADEREMI, M. O. Indian J. Biochem. Biophys. 2005, 42, 401.        [ Links ]

24.             MEHRA, R.; JUNEJA M. Indian J. Biochem. Biophys. 2004, 41, 53.        [ Links ]

25.             LAKSHMI KANTAM, M.; RAMANTI, T.; CHAKRAPANI, L.; CHOUDARY B. M. Catalysis Commun. 2009,10(4), 370.        [ Links ]

26.             MARCHALIN, S.; CVOPOVA, K.; KRIZ, M.; BARAN, P.; OULYADI, H.; DAICH, A. J. Org. Chem. 2004, 69(12) 4227.        [ Links ]

27.             CAPITANI, G.; TSCHOPP, M.; ELIOT, A. C; KIRSCH J. F.; GRUTTER, M. G. FEBS Lett. 2005, 579, 2458.        [ Links ]

28.             SAHID, K.; SHAHZADI, S.; ALI, S. J. Serb. Chem. Soc. 2009, 74(2), 141.        [ Links ]

29.             LALITHAMBA, H. S.; NARENDRA, N.; NAIK, S. A.; SURESHBABU, V. V. ARKIVOC, 2010,11, 77.        [ Links ]

30.             COSTERO, A. M.; GIL, S.; PARRA, M.; RODRÍGUEZ, P. Molecules, 2010,15, 9135.        [ Links ]

31.             LEE, X.; FOX, A.; SUFRIN, J; HENRY, H.; MAJCHERCZYK, P.; HASS, D.; REIMMANH J. Bacterial. 2010,192(16), 4251.        [ Links ]

32.             GLAVIN, D. P.; AUBREY A. D.; CALLAHAN, M. P.; SHADDAD, M. H. Meteorites Planetary Sci. 2010, 45(10-11), 1695.        [ Links ]

33.             MITCHELL, R. E. Cell. Mol. Ufe Sci. (CMLS), 2005, 47(8), 791.        [ Links ]

34.             KISO, Y., Electrophoresis, New Attempt s of Ionics, Nankodo, Japan, 1972.        [ Links ]

35.             MCDONALD, H. J. Ionography, Electrophoresis in Stabilized Media, Year Book Publications, Chicago, USA, 1975.        [ Links ]

36.             TEWARI, B. B. J. Chem. Eng. Data, 2010, 55(5), 1779.        [ Links ]

37.             TEWARI, B. B., Rev. Soc. Quim. Perú, 2010, 76(3), 293.        [ Links ]

38.             TEWARI, B. B. Bull. Korean Chem. Soc. 2002, 23(5), 705.        [ Links ]

39.             TEWARI, B. B. Reviews Analyst. Chem. 2001, 20(4), 303.        [ Links ]

40.             TEWARI, B. B. Reviews Inorg. Chem. 2003, 23(4), 349.        [ Links ]

41.             KOLTHOFF, I. M.; BELCHER, R., Volumetric Analysis, Vol. 3, Interscience Publisher Inc., New York, 1957.        [ Links ]

42.             Vogel, A. I., Text Book of Quantitative Inorganic Analysis, including Elementary Instrumental Analysis, 4th edition, Longman's London, 1978.        [ Links ]

43.             CARTY, J. A.; TAYLOR, J. N. Inorg. Chem. 1977,16, 177.        [ Links ]

44.             HOJA, Y.; SUGIURA, Y.; TANAKA, H. J. Inorg. Nucí. Chem. 1977, 39, 1859.        [ Links ]

45.             JOKL, V. J. Chromatogr. 1964, 6, 432.        [ Links ]

46.             JOSHI, J. D.; BHATTACHARYA, P. K. J. Indian Chem. Soc. 1980, 57, 336.        [ Links ]

47.             MARTELL, A. E.; SMITH, R. M., Critical Stability Constants, Vol. 1, Amino Acids, Plenum Press, New York, London, 1974, p. 14.        [ Links ]

 

 

Creative Commons License Todo el contenido de esta revista, excepto dónde está identificado, está bajo una Licencia Creative Commons