Servicios Personalizados
Revista
Articulo
Indicadores
-
Citado por SciELO -
Accesos
Links relacionados
-
Similares en
SciELO
Compartir
Temas Sociales
versión impresa ISSN 0040-2915versión On-line ISSN 2413-5720
Temas Sociales no.20 La Paz 1998
ESTUDIOS TEÓRICOS
LA EXPRESION MONETARIA DEL TRABAJO Y LA BAJA TENDENCIAL DE LA TASA DE GANANCIA
Alejandro Ramos M. (*)
El dinero es el tiempo de trabajo como objeto universal, o la objetivación del tiempo de trabajo universal, el tiempo de trabajo como mercancía universal.
Grundrisse, I, p. 97
Y no es cierto que la finalidad de la producción capitalista sea "la posesión de otros bienes", sino la apropiación de valor, de dinero, de riqueza abstracta.
Teorías, II, p. 464
La publicación en 1905 de la obra de Mijail Tugan-Baranowsky Theoretische Grundlagen des Marxismus ha tenido una influencia profunda y duradera en la interpretación de la obra económica de Marx. En este libro Tugan propone, entre otras cosas, un método de cálculo de la tasa de ganancia cuando se adoptan innovaciones que elevan la productividad del trabajo. De acuerdo con ese método, dichas innovaciones provocarían un aumento de la tasa de ganancia, un resultado contrario a la ley de baja tendencial en la tasa de ganancia enunciada por Marx en el tomo III de El Capital. El método de Tugan fue retomado, entre otros autores, por Moszkowska y Shibata y formalizado por Nobuo Okishio en 1961, Actualmente esta proposición, dominante en la literatura, se conoce como el teorema de Okishio1.
Según esta corriente, el efecto del cambio técnico que eleva la productividad del trabajo es una mayor tasa de ganancia. la cual sólo podría descender debido a aumentos "exógenos" en el salario real. De este modo, a diferencia de lo aducido por Marx. no habría ningún factor "interno" en el proceso de reproducción capitalista tal y como el crecimiento en la productividad que genere una reducción de la tasa de ganancia.
Sin embargo, en años recientes, se ha puesto de manifiesto la fragilidad de este enfoque2. Dentro de esa línea, este artículo desarrolla un procedimiento alternativo al de Tugan y Okishio para calcular la tasa de ganancia cuando se introduce una innovación que ahorra trabajo vivo. manteniendo col/stal/te el salario real. Se muestra, en panicular. cómo la interpretación dominante es una formalización parcial y errónea del pUlll aue vista de Marx. Al igual que en los trabajos de Tugan y Okishio, el análisis se limita al efecto de la innovación en un período.
Si se introduce una innovación que ahorra trabajo vivo, no puede usarse el mismo método empleado para calcular la tasa de ganancia cuando la tecnología es constante. Por otra parte, la presencia de cambio técnico requiere la consideración del dinero no sólo como un simple numerario o dinero-signo sino, también, como reserva de valor como una cosa adecuada para conservar en forma objetiva a lo largo del tiempo una cantidad dada de trabajo social es decir, como dinero-reserva o, en términos de Marx, "dinero como dinero". Por el contrario, el enfoque de Tugan y Okishio no modifica el cálculo de la tasa de ganancia cuando hay cambio técnico e ignora la existencia del "dinero como dinero".
Como se verá, un concepto clave para analizar el efecto de innovaciones ahorradoras de trabajo sobre la tasa de ganancia es la expresión monetaria del trabajo (EMT), definida como la relación cuantitativa entre la forma del valor (específicamente, su forma de dinero-signo) y la sustancia del valor (el tiempo de trabajo social)3. Al analizar la dinámica de esta relación, el teorema de Okishio aparece claramente como una formalización unilateral de la teoría de Marx.
El enfoque de rugan y Okishio puede explicarse del siguiente modo: Supongamos una economía en dos períodos temporales distintos en los cuales las mercancías circulan, y su valor se mide, por medio de un dinero-signo, como el papel moneda. En el segundo período, se introduce una innovación, reduciéndose el tiempo de trabajo vivo necesario para producir las mercancías. De acuerdo con el teorema, la innovación aumentaría la tasa de ganancia. Sin embargo, ésta es únicamente fina consecuencia de la innovación ya que también se verifica un aumento de la EMT. Este crecimiento significa que cada unidad de papel moneda representará menos tiempo de trabajo social en relación al período precedente. En otras palabras, la innovación provoca una inflación del papel moneda. Como el efecto inflacionario endógeno de la innovación supera al aumento de la tasa "okishiana" de ganancia, se produce una reducción de la tasa real de ganancia, medida en tiempo de trabajo social. Así, la tasa "okishiana" puede interpretarse como una tasa nominal de ganancia, medida en términos de algún dinero-signo4.
Con el fin de desarrollar esta argumentación. en las secciones 1 a 3 se presenta un ejemplo numérico en el que los capitalistas introducen una innovación que ahorra tiempo de trabajo vivo. Se supone que los precios = valores y se establece un sistema monetario similar al considerado por Marx en El Capital. tomo 1. capítulo 3. De manera muy simplificada, en la sección 4 se analiza el efecto monetario de la innovación, consistente en la intlación del dinero-signo que, eventualmente, se devalúa en relación al dinero-reserva. Esta crisis monetaria es el fenómeno que expresa de manera externa la baja en la tasa de ganancia causada por la innovación. En la última sección se analizan brevemente factores que compensan o agudizan la caída en la tasa de ganancia.
1. Una economía estacionaria
En este artículo se supondrá que los precios = valores debido a que la consideración de las divergencias entre ambas magnitudes complicaría el ejercicio sin agregar nada a los resullados básicos. Además, eSIO permite ver que el cálculo de la tasa de ganancia propuesto por Tugan y Okishio no represenla su dinámica por razones distintas del llamado "problema de la transformación".
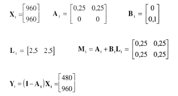
Imaginemos, entonces, una economía formada por dos sectores, medios de producción y medios de consumo, en estado estacionario, es decir sin cambio técnico. Los datos fundamentales de dicha economía están contenidos en las siguientes matrices y vectores5:

Xt es el vector de la producción física total, medido en unidades apropiadas;
At es la matriz de coeficientes de insumo por unidad de producto; Lt es el vector de coeficientes de trabajo vivo (jornadas) por unidad de producto, y Bt es el vector de salario real, la cantidad de medios de consumo recibidos por jornada de trabajo. La matriz irreducible Mt está formada por los coeficientes de insumo (primera fila) y salario real por unidad de producto (segunda fila). En condiciones estacionarias, el producto neto físico es el vector Yt.
Es sabido que la tasa estacionaria de ganancia (
t) está dada por
t= (1/
t ) -1, donde
t es el autovalor máximo de la matriz Mt6. En el ejemplo,
t = 1/2, (< 1; la economía es "viable") y, por tanto,
t = 100%. Los precios (= valores) se obtienen mediante el siguiente sistema homogéneo de ecuaciones:
![]()
donde Pt es el vector de precios que se normaliza, por ejemplo, mediante la ecuación adicional P2 = 1. Se define así la proporción de intercambio físico entre ambas mercancías, medida en unidades del medio de consumo:
![]()
Es importante mencionar que el procedimiento utilizado para calcular la tasa de ganancia por medio de
t así como el cálculo de los precios mediante la ecuación [1.], no son métodos generales para obtener dichas magnitudes. Pueden aplicarse sólo bajo dos condiciones muy restrictivas: ausencia de cambio técnico o, habiendo cambio técnico. igualdad entre precios y valores a lo largo del tiempo. El ejercicio abstracto desarrollado en este artículo supone esto último7.
2. El sistema monetario y la tasa nominal de ganancia
En la sociedad capitalista el intercambio se lleva a cabo por medio del dinero, no mediante las relaciones de trueque sugeridas por la ecuación [2.]. En el tomo I de El Capital, Marx distingue tres funciones del dinero: medida de los valores, medio de circulación (de donde surge el dinero-signo o moneda), y "dinero como dinero"8. Bajo esta última categoría. el dinero funciona como medio de atesoramiento, medio de pago y dinero mundial. Estas funciones son llevadas a cabo dentro de un conjunto de reglas e instituciones socialmente vigentes. es decir dentro de un sistema monetario.
En este artículo se considera un sistema monetario en el que la forma del valor está compuesta por dos tipos o aspectos del dinero estrechamente vinculados: el dinero-signo (o moneda) y el dinero-reserva. Así, las mercancías se intercambian forzosamente mediante el dinero-signo (el peso, $). un papel moneda sin valor intrínseco emitido por una autoridad monetaria nacional, que tiene una "vigencia socialmente objetiva... [obtenida] mediante el curso forzoso estatal"9). Junto con este dinero-signo existe también un dinero-reserva (el oro). con una paridad con el peso sancionada por la autoridad monetaria. Se supone pues que el dinero-reserva es una mercancía con valor intrínseco que contiene, representa y puede conservar una cantidad dada de tiempo cIe trabajo social10. Una característica esencial de este sistema monetario extremadamente simplificado es que el dinero-reserva no puede ser emitido por la autoridad monetaria, cuya única función es la emisión de papel moneda, careciendo de influencia en otras variables monetarias tales como la tasa de interés.
Debe subrayarse que, como Marx no tiene una visión "metalista" del dinero, el anterior es el sistema monetario más simple que puede concebirse dentro de su teoría. Algunos autores imaginan11 que, para Marx, el dinero es unilateralmente "oro", interpretando su teoría monetaria como "metalista". Esto olvida que ya en el análisis más abstracto del dinero en el capítulo 1 del tomo I12, el oro recibe una "denominación monetaria" social (la libra esterlina), que lo convierte en algo distinto que una simple mercancía. Más aún, en el capítulo 3 de ese tomo, es claro cómo la función de medio de circulación conduce necesariamente al desarrollo del dinero-signo. Por tanto, el sistema monetario presentado en el tomo I está integrado por dos formas dinerarias, el dinero-signo y el oro, la "mercancía general" o dinero-reserva.
El hecho de que en su presentación Marx también describa un sistema monetario específico el patrón oro induce la difundida y unilateral interpretación "metalista" de su teoría. En efecto, en el patrón oro el dinero-signo mantiene una relación de cambio fija con el dinero-reserva por lo que, en la práctica, la forma dineraria parece reducirse exclusivamente al oro. Sin embargo, Marx considera ocasionalmente la posibilidad de una modificación en la relación entre ambas formas del dinero, aunque sólo como un fenómeno puramente monetario, no inducido, por ejemplo, por el proceso innovativo del capitalismo13.
El sistema monetario está, por tanto, organizado por medio del papel moneda de curso forzoso, garantizado por medio del oro, el dinero-reserva. Bajo ciertas circunstancias, el dinero-signo puede realizar cualquier función monetaria. La mercancía dineraria (el "oro") puede actuar "como dinero" ya sea "en persona o a través de un representante"14, lo que implica que el dinero-signo puede atesorarse o servir como medio de pago. En particular, la posibilidad de una sustitución permanente del oro por dinero-signo depende de la estabilidad en la paridad $/oro. Un aumento en esta relación provocaría, por el contrario, la pérdida de funciones monetarias del papel moneda y su reemplazo por oro.
La primer relación del sistema monetario es, entonces, la paridad peso/oro (Gt). definida como la cantidad de pesos que pueden cambiarse libremente por una onza de oro en un período dado. La dimensión de esta relación es la siguiente:
![]()
donde o.o. significa "onzas de oro". Se supondrú que, en el período t, la paridad peso/oro sancionada por la autoridad monetaria es de $1 = 1 onza de oro.
Como ya se dijo, en este sistema monetario, el dinero-reserva es una mercancía (oro) que contiene y representa una cantidad dada de tiempo de trabajo social. Ahora bien. se supondrú que el dinero-reserva es "exógeno" a la economía, en el sentido de que no es producido en ella. El tiempo de trabajo contenido y representado por el dinero-reserva es la segunda relación de la estructura monetaria, la paridad tiempo de trabajo/oro (
t), cuya dimensión es:
![]()
donde j.t. significa "jornadas de trabajo".
t es una relación entre la sustancia del valor tiempo de trabajo social— y un aspecto específico de la forma del valorel dinero-reserva. Marx la denomina con frecuencia "valor del dinero", una expresión ambigua por dos razones: (i) se trata de una relación entre el tiempo de trabajo y el dinero-reserva, no entre el "valor" y el "dinero"; (ii) puede confundirse con la relación existente entre el tiempo de trabajo y el dinero-signo, que será examinada más adelante. Para evitar confusiones, se propone, entonces, una designación especial para
t la relación entre el tiempo de trabajo y el dinero-reserva. Con respecto a
t se supondrá, en primer lugar, que en el período t el tiempo de trabajo contenido en una onza de oro es igual al contenido en cada una de las mercancías producidas y, en segundo lugar, que esta relación sea constante durante los dos períodos considerados:
t =
t+1. Este último es un importante supuesto explícito de Marx en el tomo III de El Capital: "Primero, el valor del dinero. Podemos considerarlo siempre constante."15
En el capítulo 13 de ese tomo, como supuesto previo al análisis de la baja tendencial de la tasa de ganancia, Marx incluso asume una relación numérica que mantiene constante,
2/semana-obrero16.
La consideración explícita del dinero-signo permite establecer una tercer relación del sistema monetario: la expresión monetaria del trabajo (EMTt), una relación entre el peso y la sustancia del valor (tiempo de trabajo social), cuya dimensión es:

Debe notarse que, debido al curso forzoso del papel moneda, el trabajo social se expresa necesariamente por medio del peso. La EMT, puede definirse, pues, como la cantidad de pesos que representan una unidad de tiempo de trabajo social en un período determinado17. (Se verá en la sección 4 que la ecuación EMTt = Gt/
t, es válida sólo en condiciones estacionarias.)
El vector de precios medidos en pesos esto es, el valor de cambio de las mercancías [2.] expresado en papel moneda es Pt$ = [$1 $1]. Esto se debe a que, en el período t, el tiempo de trabajo contenido en una onza de oro es igual al contenido en las mercancías producidas y Gt = $1/1 onza de oro. Con este vector puede construirse el siguiente esquema de reproducción:
Los números de la primer línea de cada sector del cuadro 1 están medidos en pesos, mientras que aquéllos entre paréntesis están medidos en jornadas de trabajo, (El cálculo de estos últimos se expondrá más adelante). Nótese que, como los precios = valores. en cada sector el plusvalor (PY) producido es igual a la ganancia apropiada (GA), y el valor objetivado (YA) es igual al precio de producción (PP). La tasa estacionaria o nominal de ganancia es
t= 100%, Y la tasa de plusvalor es
t = 200%.
Ahora bien, para llevar a cabo la reproducción debe ponerse en circulación una masa de papel moneda (
t). Si suponemos que sólo se intercambia la producción anual, dicha masa se define mediante la siguiente ecuación18:

donde el escalar Vt es la velocidad de circulación del papel moneda. Se supondrá que Vt = 1, de manera que la masa
t, emitida por la autoridad monetaria es t = $ 1.920.
La EMT correspondiente al trabajo vivo puede definirse como la relación entre el producto de valor (precio en pesos del producto neto Yt) y el trabajo vivo total LtXt. En condiciones estacionarias, este cociente es igual a la EMT correspondiente al tiempo de trabajo total objetivado en la economía. Por tanto, la EMTt puede calcularse del siguiente modo:

(Un método más general de cálculo de la EMT se expondrá en la sección 3.) De acuerdo con la fórmula anterior, tenemos que, en el período t, una jornada de trabajo se expresa a través de $0,3, o, en otras palabras, $1 representa 1/0,3 = 3,33 jornadas de trabajo.
Siempre tomando en cuenta que en el período t prevalecen condiciones estacionarias y que los precios = valores, el vector del tiempo de trabajo contenido en las mercancías se obtiene por medio de P
t= P$t,(1/EMTt) = [3,33 j.t. 3,33 j.t.], o bien, mediante P
t = Lt [ I-At]. Con el vector P
t se calculan las magnitudes de tiempo de trabajo total contenido en las mercancías (números entre paréntesis del cuadro 1). Por ejemplo, el tiempo de trabajo contenido en los medios de producción es igual a (P
tAt)j(Xt)j; para el sector I, 3,33*0,25*960 = 800 j.t.
Como el tiempo de trabajo contenido en una onza de oro (relación [4.]) se supuso igual al contenido en cada una de las mercancías producidas, la paridad tiempo de trabajo/oro es
t = 3,33 jornadas de trabajo por onza de oro.
3. La dinámica de la tasa real de ganancia
El teorema de Okishio establece que la tasa de ganancia varía inversamente con los cambios en el uso de cualquier insumo por unidad de producto. Por tanto, cualquier innovación que ahorre insumos, reduciendo la intensidad de los medios de producción o del trabajo vivo implicaría un aumento de la tasa de ganancia.
Este enfoque es particularmente problemático para la teoría de Marx en relación a los efectos sobre la tasa de ganancia de una reducción del trabajo vivo. Si una innovación que disminuye el trabajo vivo utilizado provoca un aumento en la tasa de ganancia, la ganancia misma no sería una forma del trabajo explotado y surgiría, entonces, de una fuente distinta que el trabajo humano apropiado.
Como el principal problema generado por el enfoque de Tugan y Okishio es el efecto sobre la tasa de ganancia de una disminución del trabajo vivo utilizado, el siguiente ejercicio considerará sólo una innovación de esa índole. Se mantendrá constante la cantidad de medios de producción por unidad de producto, mientras que se reduce el trabaju vivo utilizado19. De acuerdo con el teorema de Okishio, esto implicará un aumento en la tasa de ganancia mientras que, de acuerdo con Marx, se producirá una reducción.
Así, en el período t+1, los capitalistas adoptan de manera uniforme en ambos sectores una innovación ahorradora de trabajo vivo20. El producto físico y el uso de medios cle producción se duplican, pero sólo se ocupa un 90% del trabajo vivo del período t: Lt+1Xt+1 = 4.320, en lugar de LtXt = 4.800 jornadas de trabajo. Por otra parte, el salario real se mantiene constante. Las matrices y vectores que describen la economía en t+1 son, entonces, los siguientes:

Una vez introducida la innovación, el autovalor máximo de Mt+1 es
t+1 = 0.3625 <
t = 0.5, lo que implica que
t+1>
t, 176% > 100%. Este es el resultado de Tugan en 1905, reproducido por Okishio en 1961. A diferencia de Marx, una innovación que ahorre trabajo vivo elevará no reducirá la tasa de ganancia. Se trata simplemente de una aplicación de un teorema de Perron-Frobenius: "El autovalor máximo e es una función continua y creciente de los elementos de M."21 En este caso, como los números de la segunda fila de Mt+1 son menores que los de Mt,
t+1<
t y, por tanto,
t+1>
t.
En un primer momento, el cálculo de
propuesto por Tugan y Okishio parece significar únicamente que la reducción en la cantidad de trabajo vivo tiene una influencia opuesta a la sugerida por Marx. En realidad, en esta formalización el tiempo de trabajo no tiene ninguna influencia real sobre la tasa de ganancia. Esto es claro cuando se imagina una reducción continua del tiempo de trabajo utilizado, lo cual disminuye el salario real por unidad de producto (matriz BL) hasta cero. Esta dinámica implicaría un crecimiento continuo de
, resultante en una economía que sin trabajo humano tiene una
> 0, paradoja formulada ya en 1904 por Dimitrie22 Sin embargo, esta paradoja surge únicamente porque el cálculo de
por medio de
es una formalización parcial de la teoría de Marx, limitada a condiciones estacionarias y en la cual el dinero es reducido a un numerario.
El ejemplo numérico para el período t+1 se completa del siguiente modo. El vector de intercambio físico entre ambas mercancías se obtiene de la ecuación [1.] y la normalización P2 = 1:
![]()
Este vectores igual a [2.] porque la innovación se adoptó de manera uniforme en ambos departamentos. Además, como no ha habido cambios en el sistema monetario, los precios expresados en papel moneda son también iguales que en t: P$t+1= [$1 $1].
El cuadro 2 contiene el esquema de reproducción para t+1; los números entre paréntesis son magnitudes en tiempo de trabajo cuyo cálculo se explicará más adelante.
La tasa nominal de ganancia es
t+1= $2.448/$ 1.392 = 176% y la tasa de plusvalor es
t+1= $2.448/$432 = 567%. Ahora bien, como el producto físico aumentó, la reproducción en términos monetarios encuentra una restricción: "a la par de la masa [física] tendrá que aumentar la masa de dinero [-signo] ".23 En el período t, la masa de papel moneda emitido era de
t = $1.920, cifra insuficiente para permitir la circulación mercantil en t+1. De acuerdo con la ecuación [6.], esta restricción podría superarse mediante un aumento en Vt+1, o una elevación de
t+1. Se supondrá que Vt+1 permanece constante y la autoridad monetaria emite más papel moneda, elevando
t+1 a $3.840.
¿Cómo se calculan las magnitudes en tiempo de trabajo en el período t+1? De acuerdo con el cuadro 2, al inicio del período t+1, los capitalistas adelantaron $ 1.392. En la teoría de Marx, el dinero desde su forma más simple hasta la más compleja es esencialmente una representación del tiempo de trabajo social. Así, "el dinero es el tiempo de trabajo como objeto universal, o la objetivación del tiempo de trabajo universal, el tiempo de trabajo como mercancía universal."24 Es decir, el dinero-signo adelantado es simplemente la representación de cierta cantidad de trabajo social. Cabe preguntar entonces, ¿cuántas jornadas de trabajo representaban $1.392 al inicio de t+1? En ese momento la innovación no se había adoptado y, por tanto, la relación dinero-signo/tiempo de trabajo era la vigente en el período t: $1 = 3,33 jornadas de trabajo. Es decir, como al inicio de t+1 la EMT es necesariamente igual a la EMT al final de t, las $1.392 representaban $1.392*3,33 =4.640 jornadas de trabajo.
Este es el tiempo de trabajo correspondiente al precio de costo. ¿Cuál es el plustrabajo explotado en t+1? En este período, el trabajo vivo total es de Lt+1Xt+1 = 4.320 jornadas. El plustrabajo es la diferencia entre el trabajo vivo total y el trabajo necesario, es decir, el trabajo representado por los $432 adelantados como salario. Como el trabajo necesario es $432*3,33 = 1.440 jornadas, el plustrabajo es 4.320-1.440 = 2.880 jornadas. Naturalmente, el tiempo de trabajo total objetivado en t+1 es igual al tiempo de trabajo representado por el precio de costo + el plustrabajo: 4.640 + 2.880 = 7.520 jornadas.
Con estos datos se deriva la tasa de ganancia en términos de tiempo de trabajo,
*t+1:
![]()
Puede verse, entonces, que
*t+1= 62% es menor que la tasa nominal de ganancia
t+1 = 176%. Como en el período t prevalecen condiciones estacionarias,
t =
*t = 100%, lo que significa que la tasa de ganancia en términos de tiempo de trabajo bajó en el período t+1. La tasa de explotación es 2.880 j.t./1.440 j.t. = 200%, menor que la tasa nominal de plusvalor
t+1 = 576%, e igual a la del período t,
t. Este último resultado depende fundamentalmente de que el cálculo del trabajo necesario se haga por medio de la EMTt. Si se utiliza la EMTt+1 en lugar de la EMTt, tendríamos que
* y
* serían mayores. El primer cálculo implica que la relación entre el trabajo necesario y la jornada laboral total se mantiene constante, lo que equivale a la suposición de una tasa constante de plusvalor, mantenida por Marx en el capítulo 13 del tomo III de El Capital25. El segundo cálculo del trabajo necesario (con EMTt+1) supone que sólo el salario nominal es constante, lo que implica una reducción en la proporción trabajo necesario/jornada laboral total y un aumento consecuente en
*. No obstante ello, se verá en la sección 5 que la subida resultante en la tasa de explotación no compensa por completo la caída en
*.
La EMTt+1 correspondiente a la producción total se calcula mediante la siguiente fórmula:

La ecuación [10.] relaciona la producción total. medida en pesos, y el tiempo de trabajo total objetivado en el período t+1, dado por la suma del trabajo pasado (transferido del capital constante), y el trabajo vivo agregado. El precio de los medios de producción utilizados en el período t+1 se determina al final del período t, por lo que, al iniciarse t+1, los capitalistas ya han pagado dicho precio. Por tanto, el trabajo pasado correspondiente a t+1 está dado por PStAt+1Xt+1(1/EMTt)26.
Como se dijo en la sección 1, al introducir una innovación ahorradora de trabajo, la EMTt+1 correspondiente a la producción total (ecuación [10.]) difiere de aquella correspondiente al trabajo vivo. Esta última (EMTLt+1) está dada por:

Esta fórmula relaciona el producto de valor, medido en pesos, con el trabaio vivo. El producto de valor es la diferencia entre la producción total y el capital constante, determinado por el precio de los medios de producción prevalecientes al inicio de t+127.
Gracias a la EMTt+1 (ecuación [10.]) puede calcularse el vector de trabajo social contenido en las mercancías en el período t+1: P
t+1 = Pst+1* (1 /EMTt+1) = [ 1,9583 j.t. 1,9583 j.t.]. Este vector también se obtiene por medio de la ecuación P
t+1 = P
tAt+1 + Lt+1. Una consecuencia lógica de la innovación ahorradora de trabajo es que P
t+1 < P
t = [3,33 j.t. 3,33 j.t.]. Por ello, a diferencia de la situación estacionaria, ahora no puede calcularse el vector de trabajo mediante P
t+1 = Lt+1 [I-At+1]-t, fórmula que arrojaría un resultado absurdo según el cual, dada una innovación ahorradora de trabajo, el tiempo de trabajo contenido en las mercancías al final de t+1 es igual al contenido al inicio de dicho período. Debe subrayarse, entonces, que el dinero adelantado al inicio de t+1 es un costo irreversible formado por el tiempo de trabajo social que se representa en el precio de costo monetario de las mercancías adquiridas. Este costo real es, por otra parte, el que debe compararse con el plustrabajo explotado en t+1.
¿Cuál es el efecto de la innovación sobre 1/EMTt+1, el tiempo de trabajo representado por $1? De acuerdo con la ecuación [10.], en t+1, $1 representa 1/0,5106 = 1,9583 jornadas de trabajo, mientras que, en el período t, $1 representaba 3,33 jornadas. Es decir, la innovación provocó una disminución del tiempo de trabajo social representado por el papel moneda; específicamente, ahora $1 representa sólo 1,9583/3,33 = 0,5875 de lo que representaba en el período t. Visto de otra forma, ahora son necesarios más signos monetarios (1/0,5875 = 1,702) para expresar externa y objetivamente una jornada de trabajo social. Esta es, pues, una medida de la inflación endógena del dinero-signo generada por la innovación.
Es claro, entonces, que la innovación ahorradora de trabajo tiene dos efectos: Por una parte, aumenta la tasa nominal de ganancia pero, por otra, incrementa la EMT, reduciendo la capacidad del dinero-signo para representar tiempo de trabajo social. El teorema de Okishio toma en cuenta sólo el primer efecto, haciendo caso omiso de la elevación de la expresión monetaria del trabajo. Sin embargo este doble resultado está implícitamente formulado por Marx:
En sí y para sí, una cantidad mayor de valor de uso constituirá una riqueza material mayor; dos chaquetas, más riqueza que una. Con dos chaquetas puede vestirse a dos hombres, mientras que con una sólo a uno, etc. No obstante, a la masa creciente de riqueza material puede corresponder una reducción simultánea de su magnitud de valor.28
El doble resultado de la innovación corresponde a este "movimiento antitético" de la riqueza mercantil. En efecto,
describe la "tasa material de ganancia"29 que, ceteris paribus, aumenta al expandirse la "riqueza material". Sin embargo, este es sólo un resultado de la innovación, que también provoca una "una reducción simultánea de [la] magnitud de valor", la cuál no está formalizada en
, sino por el aumento en la EMT. Por ello,
expresa sólo de manera unilateral la dinámica de la riqueza capitalista.
La reducción en la cantidad de sustancia del valor el trabajo social objetivado hace que una cantidad dada de dinero-signo uno de los aspectos de la forma del valor represente menos tiempo de trabajo social. El valor es la unidad de sustancia y forma, es una cantidad de tiempo de trabajo social que debe expresarse a través de una cantidad de dinero30. Por tanto, es la modificación de la EMT la relación cuantitativa entre ambos polos del valor la que expresa la "reducción simultánea de [la] magnitud de valor" provocada por la innovación. Ahora bien, en la sociedad capitalista, el aumento en la riqueza material no es un fin en sí mismo: "no es cierto que la finalidad de la producción capitalista sea 'la posesión de otros bienes', sino la apropiación de valor, de dinero, de riqueza abstracta."31
La innovación implica, entonces, una baja de la tasa real de ganancia, medida en tiempo de trabajo, tal y como fue calculada aritméticamente en [9.]. La correspondiente fórmula algebraica de dicha tasa es la siguiente:

Si se multiplican el numerador y el denominador por EMTt, y se cancela la expresión del precio de costo, se obtiene32:

Es claro que
*t+1 =
t+1 sólo cuando EMTt/EMTt+1 = 1, es decir, en una situación estacionaria33. Una fórmula alternativa para
*t+1 es:

donde
t+1 es la tasa nominal de plusvalor ($2.448/$432 = 567%), Kt+1 es la composición nominal del capital ($960/$432 = 2.22)34, y
t+1 es la relación entre la EMT correspondiente al trabajo vivo (ecuación [11.]) y la EMTt:
t+1 = EMTLt+1/EMTt = 0,67/0,3 = 2,22.
En la ecuación [13.], el efecto inflacionario de la innovación está dado por la relación EMTt/EMTt+1 = 0,5875 < 1. En la [14.] es la relación
t+1> 1 la que cuantifica este efecto. Ambas ecuaciones tienen una propiedad importante: un proceso innovativo que ahorre continuamente tiempo de trabajo vivo provocará una elevación también continua de la EMT. Si la cantidad de tiempo de trabajo tiende a cero, la EMT tenderá a infinito, y la
* tenderá a cero, lo cual elimina la paradoja de una economía sin trabajo vivo con
> 035.
Los dos efectos causados por la innovación (aumento en
y en la EMT) pueden formalizarse mediante las siguientes desigualdades:

Esto significa que un proceso innovativo que ahorre tiempo de trabajo vivo provoca un aumento en la EMT mayor que el correspondiente a la tasa nominal de ganancia. Además, teniendo en cuenta que, en el período t,
t =
*t y utilizando la ecuación [13.], es claro que:
![]()
Es decir, la innovación provoca una reducción de la tasa real de ganancia.
4. La crisis monetaria
Se ha visto que, al considerar una situación dinámica, existen dos tasas de ganancia, una nominal,
t+1 = 176%, y otra real,
*t+1 = 62%. Según la ecuación [13.], la relación entre ambas tasas está dada por el recíproco de la variación de la expresión monetaria del trabajo entre ambos períodos, EMTt/EMTt+1. Es decir, la diferencia entre
t+1 y
*t+1 surge del aumento en la EMT generado por la innovación, fenómeno que disminuye la capacidad del dinero-signo para representar tiempo de trabajo social.
Ahora bien, aunque
*t+1 es la tasa real de ganancia, ésta debe expresarse de algún modo a través de la medida externa del valor, el dinero36. La expresión monetaria de
*t+1 puede efectuarse en términos del dinero-signo o del dinero-reserva. Consideremos, en primer lugar, como el dinero-signo permite expresar
*t+1.
Es claro que, aunque la innovación ha reducido la capacidad cuantitativa del dinero-signo para representar el tiempo de trabajo, esto no afecta su función cualitativa. Así, las magnitudes de tiempo de trabajo en la tasa real de ganancia pueden convertirse en magnitudes de dinero-signo por medio de la simple operación de multiplicarlas por una EMT constante, por ejemplo por EMTt = $0,3/j.t. El precio de costo es, entonces, 4.640 j.t.*0,3 = $1.392, y el plustrabajo 2.880 j.t.*0,3 = $864; la tasa de ganancia es $864/$1.392 = 62%. Sin embargo, estas cifras medidas en dinero-signo son ideales debido a que, en realidad, la EMT no ha permanecido constante. Es claro que los capitalistas no percibirían la baja en la tasa de ganancia si el dinero fuera sólo un signo. La expresión real de este resultado sólo aparece cuando se toma en cuenta el otro aspecto del dinero, el dinero-reserva, el oro.
En el período t la paridad tiempo de trabajo/oro,
t (relación [4.]) era de 3,33 jornadas de trabajo por onza de oro. Como se supuso que el oro no es producido en la economía, la innovación no lo afectó y, por tanto, el tiempo de trabajo que contiene y representa permaneció constante en t+1,
t+1 = 3,33 jornadas de trabajo por onza de oro. Si el plustrabajo y el trabajo contenido en los elementos del precio de costo se multiplican por
t+1 se obtiene, evidentemente, la misma tasa real de ganancia calculada anteriormente con una EMT constante.
La devaluación del peso en relación al oro induce una crisis monetaria debido a que éste no ha mantenido su capacidad de conservar valor a lo largo del tiempo. Surge entonces una contradicción entre ambos aspectos del dinero: el dinero-signo y el dinero-reserva. Como la innovación ahorradora en trabajo "destruyó la confianza" en el peso como instrumento adecuado para conservar el valor, los capitalistas comienzan a medir sus activos en términos del dinero-reserva (o de otro dinero-signo), haciendo que el peso pierda con rapidez sus funciones monetarias. Lo que era dinero en el período t pasa a ser, en t+1, un simple papel, no-dinero. Pero la autoridad monetaria está constreñida a "restablecer la confianza" en la moneda que emite. Como su única facultad es la emisión de un dinero-signo, se ve forzada a llevar a cabo una "reforma monetaria", creando el "nuevo peso" ($*) con paridad $*1 = 1 onza de oro, igual a la que tenía el peso en el período 1. Los viejos pesos dejan de ser dinero de circulación legal y se canjean por pesos nuevos en proporción $*1 = $2.8337. De este modo, al final de t+1, los capitalistas están obligados a deflactar (con un factor 1/2.83) sus ganancias de $2.448 que se convierten, entonces, en $*864 (= 864 onzas de oro). Como adelantaron $ 1.392 (= 1.392 onzas de oro), su tasa real de ganancia es de 62%.
No se discuten aquí las complejidades reales del concepto de dinero-reserva. ni la dinámica de la tasa de ganancia cuando se considera el sistema de crédito, la deuda estatal, el mercado de valores. etc. Es evidente, por tanto, que la baja de la tasa de ganancia se produce a través de un mecanismo mucho más complejo que el sugerido en el presente ejercicio. Se quiere subrayar aquí tan solo la importancia del supuesto de Marx relativo a la constancia del "valor del dinero" al analizar la baja tendencial de la tasa de ganancia38. Este supuesto significa que el análisis de la dinámica de la tasa de ganancia en presencia de innovaciones que ahorran trabajo vivo debe considerar el dinero en su aspecto de reserva del valor. Es decir, en el cálculo de la tasa de ganancia debe eliminarse el efecto inflacionario endógeno que surge del proceso innovativo. aspecto metodológico ignorado por la tradición basada en Tugan y Okishio.
5. Factores que contrarrestan y agudizan la baja de la tasa de ganancia
No puede desarrollarse aquí un análisis sistemático de los factores que contrarrestan o agudizan la tendencia a la baja de la tasa de ganancia. Para considerar el abaratamiento de los elementos del capital constante y variable, la economía de medios de producción. la depreciación moral de los equipos y otros factores que afectan la dinámica de la tasa de ganancia es necesario analizar una sucesión de períodos39. No obstante ello, en el marco simple ya presentado pueden analizarse tanto un aumento en la tasa de explotación (factor contrarrestante) como la presencia de capital fijo (factor que agudiza la baja de la tasa de ganancia).
5.1 Aumento en la tasa de explotación
En la ecuación [12.], para calcular
*t+1 el capital total se expresó en tiempo de trabajo mediante la EMT, Esto significa que el capital constante y el variable fueron adelantados al inicio de t+1. Como se explicó en la sección 3, este procedimiento implica que en t+1 la tasa de explotación es igual que en el período t (200%), correspondiendo siempre el trabajo necesario a un 1/3 de la jornada laboral total.
Sin embargo, los trabajadores reciben su salario en papel moneda que al final de t+1 representa menos tiempo de trabajo40. Es claro, por tanto, que si la EMT cambia durante t+1, el mismo salario en papel moneda pagado al final de t+1 representará una cantidad de tiempo de trabajo distinta que la que hubiera representado al inicio de ese pen ado. Como los trabajadores son pagados normalmente al final del período, se deduce que el capital variable debería convertirse en unidades de tiempo de trabajo mediante la EMTt+1 no mediante EMTt. Dicho cálculo puede realizarse con los datos del cuadro 2. Así, el capital variable representa $432/0,5106 = 846 jornadas de trabajo y, por tanto, el plustrabajo es de 4.320-846 = 3.474 jornadas. En este caso, los trabajadores se apropian de un equivalente aproximado a 1/5 de la jomada laboral, elevándose la tasa de explotación a 411%. Naturalmente, esto compensa la caída en la tasa real de ganancia. De acuerdo con este cálculo, el precio de costo en términos de tiempo de trabajo es de 3.200c+846v = 4.046 jornadas. La tasa resultante de ganancia es de
**t+1 = 3.474/4.046 = 86%. Puede verse que, a pesar del aumento en la tasa de explotación, la tasa real de ganancia
**t+1 es menor que
t = 100%41.
Marx considera este tipo de efecto en una carta a Engels del 22 de Abril de 1868:
Si, al bajar el valor del dinero, el precio del trabajo no aumenta en la misma proporción, sino que de hecho baja, la tasa de plusvalor aumentaría, por lo cual, permaneciendo constante todo lo demás, la tasa de ganancia aumentaría igualmente. El alza en esta última... se debe únicamente a una caída del salario y la misma proviene del hecho de que la variación, en materia de salarios, se ajusta sólo lentamente al cambio que se efectúa en el valor del dinero.42
Lo que en este pasaje Marx denomina "baja del valor del dinero" corresponde, en este artículo, a un "aumento de la EMT" que reduce el trabajo social representado por el dinero-signo. Es importante destacar que, en la carta de Marx, no se distinguen los cambios en la EMT (correspondientes al dinero-signo) de los cambios en la paridad tiempo de trabajo/oro (correspondientes al dinero-reserva). De todas formas, en un análisis de la caída en la tasa de ganancia que considere períodos sucesivos a t+1, el supuesto de constancia en la tasa de plusvalor implica que, eventualmente, los salarios se elevan, anulando el aumento inflacionario de la EMT y preservando la fracción de la jornada laboral por la cual los trabajadores reciben un equivalente43.
Sin embargo, aun suponiendo que la elevación de la tasa de explotación contrarreste permanentemente la baja de la tasa de ganancia, éste factor resulta a su vez compensado por la pérdida de importancia relativa del trabajo vivo en el capital total adelantado. La especificación algebraica de
**t+1 aclara el punto:

donde
t+1 es la relación entre la EMTLt+1correspondiente al trabajo vivo (ecuación [11.])— y la EMTt+1 de manera que
t+1 = EMTLt+1/EMTt+1 = 0,67/0,5106 = 1,3056; las otras relaciones fueron definidas en la ecuación [14.] .La ecuación [17.] es análoga a la ecuación [14.] ya que muestra como un aumento continuo en la EMT (reflejada por las relaciones
t+1 y
t+1) provoca una reducción continua en
**t+1. En el límite, cuando el trabajo vivo se reduce a cero, la EMT y las relaciones
t+1 y
t+1 llegan a infinito. De ese modo, "la compensación de la mengua en el número de obreros mediante el incremento del grado de explotación del trabajo encuentra ciertos límites insuperables; por lo tanto puede ciertamente obstaculizar la baja de la tasa de ganancia, pero no anularla."44
5,2 Capital fijo45
La existencia de capital fijo agudiza la tendencia a la baja de la tasa de ganancia. Si se introduce capital fijo, la tasa nominal de ganancia puede definirse del siguienle modo:

donde Ft+1 es la matriz de capital fijo. Supongamos que el capital fijo fue adquirido en el período 0 y que no se deprecia. Si en los siguientes períodos ocurren innovaciones que ahorran tiempo de trabajo, la EMT aumentará constantemente de manera que:
![]()
Si además se supone que la EMT crece con una tasa constante
, entonces:
![]()
Para obtener la correspondiente tasa real de ganancia en el período t+1 (
*t+1), cada elemento de la ecuación [18.] se expresa en jornadas de trabajo mediante su respectiva EMT, definida por la ecuación [20.], obteniéndose:

Es evidente que el capital fijo agudiza la caída en la tasa real de ganancia. Un aumento en
y un mayor tiempo antes de que el capital fijo se deprecie por completo implicarán una caída mayor en
*t+1. Sin embargo, la ecuación [21.] ilustra esta tendencia sólo de manera cualitativa debido a que no toma en cuenta la estructura de depreciación del capital fijo. En particular es claro que una rápida depreciación del capital fijo disminuiría la baja de la tasa real de ganancia.
Conclusión
El teorema de Okishio es una fomlalización errónea de la ley de caída tendencial en la tasa de ganancia propuesta por Marx debido a que reduce la riqueza capitalista a su aspecto material, ignorando la dinámica del valor. La tasa "okishiana" de ganancia puede interpretarse como una tasa estacionaria y nominal de ganancia, medida en términos de dinero-signo. Esta tasa difiere de la tasa real de ganancia, medida en tiempo de trabajo social. La relación entre ambas tasas está dada por el cambio en la expresión monetaria del trabajo (EMT), la relación cuantitativa entre los dos polos del valor, su sustancia (tiempo de trabajo social) y su forma (dinero).
Este artículo ilustra el cálculo de la tasa nominal y de la tasa real de ganancia. Se analizan los efectos de una innovación ahorradora de trabajo en una economía con dos sectores sin capiial fijo, suponiendo precios = valores y un salario real constante. El aumento consecuente en la productividad del trabajo eleva la tasa nominal de ganancia. pero también la EMT. Como este último efecto supera al primero, resulta claro que la introducción de la innovación provoca una reducción en la tasa de ganancia medida en tiempo de trabajo. El teorema de Okishio toma en cuenta únicamente el aumento en la tasa nominal de ganancia.
La baja de la tasa de ganancia debe aparecer en la esfera monetaria, hecho que se analiza mediante un sistema monetario muy simplificado en el que se distinguen rigurosamente dos tipos o aspectos del dinero: el dinero-signo y el dinero-reserva, que actúa como reserva de valor. Como la innovación aumenta la EMT, el dinero-signo representa menos tiempo de trabajo social, un efecto inflacionario queeventual-mente provoca una devaluación del dinero-signo en relación al dinero-reserva. La crisis del sistema monetario expresa así la baja de la tasa de ganancia.
NOTAS
(*) Docente de la Carrera de Sociología de la U.M.S.A.
1 Okishio [1961], Tugan-Baranowsky [1905], Bortkiewicz [1907], Moszkowska [1929], Shibata [1934] Croce [1899] es un precursor de esta interpretación. Según Van Parijs [1980], ya en 1901 Tugan había formulado el argumento para el caso particular de una mercancía (Tugan-Baranowsky [1901]. pp. 212-5). Groll y Orzech [1989] y Howard y King [1989] presentan historias acríticas del teorema de Okishio.
2 Ernst [1982]. Kliman [1988]. [1996]. Carchedi [1991], Freeman (1995), [1996].
3 La expresión monetaria del trabajo (EMT) ha sido estudiada en términos estacionarios, entre otros autores, por Aglietta [1979] y Foley [1982]. Véase también Saad-Filho [1993a]. Rodríguez [1994] y Ramos [1995], [1996]. Aglietta [1979] propone implícitamente esta denominación. Como se verá, la EMT no es idéntica a la que usualmente se conoce como "valor del dinero". Denominarla "expresión monetaria del valor" es impreciso, debido a que reduce el valor a su sustancia, el trabajo social. Marx, en cambio, siempre relaciona magnitudes medidas en dinero con magnitudes medidas en tiempo de trabajo social, no en "valor". Mientras que la EMT es una relación vigente para todas las mercancías, la "expresión monetaria del valor" corresponde a cada mercancía individual, es simplemente otra designación para la categoría precio. Véase, El Capital, I, 1, pp. 116-7, 124.
4 El teorema de Okishio tiene como fundamento conceptual la hipótesis de que la determinación del valor por el tiempo de trabajo social carece de significado dinámico. Una formulación explícita de esta opinión se encuentra en Kühne [1977], pp. 125-8. 200-14 Y Kühne [1979], pp. 18-3, 291-306. Según Kühne, el trabajo social no puede ser una medida intertemporal de valor debido a que los cambios en la productividad modificarían la unidad de medida empleada. Habría entonces que "corregir" el tiempo de trabajo objetivado en distintos periodos de acuerdo con las variaciones en la productividad, obteniendo las llamadas "unidades de eficiencia". Esta propuesta no distingue entre el aspecto material (valor de uso) y el aspecto slll'lal (valor) de la riqueza mercantil, los cuales pueden tener un "movimiento antitético" que "deriva del carácter bifacético del trabajo" (El Capital, I, 1, pp. 56-7). Al centrarse en el valor de uso, Kühne confunde la expresión monetaria del trabajo propuesta por Marx con el poder adquisitivo del dinero, definido como la cantidad de valor de uso adquirido por una unidad de dinero (Kühne [1979], pp. 303-4]. Kühne se basa en autores como Joan Robinson [1942], p. 40.
5 Para una explicación de las herramientas formales de este artículo. véase Pasinetti [1975].
6 Pasinetti [1975]. p. 102.
7 Cuando hay cambio técnico y, por ejemplo, precios = precios de producción, la tasa nominal de ganancia no puede obtenerse por medio de et, ni pueden calcularse los precios mediante el sistema [1.].
8 El análisis del dinero-signo o moneda se encuentra en El Capital. I, 1. pp. 152-8 y el del "dinero en cuantodinero" en pp. 158-77. Véase también de Brunhoff [1967], primera parte.
9 El Capital. I. 1. p. 158.
10 Se supone que el dinero-reserva es una mercancía con el fin de establecer un marco conceptual similar al de El Capital. Nótese, sin embargo, que Marx se refiere al dinero como una "mercancía general" la cual tiene un "valor de uso formal que deriva de sus funciones sociales específicas," (El Capital. I. 1, p. 110) El dinero-reserva es, entonces, una determinación funcional, no "natural", del dinero y, por tanto, una no-mercancía podría actuar como dinero-reserva. Por ejemplo, el dólar norteamericano es el dinero-reserva del papel moneda emitido en muchos países latinoamericanos. En este caso. lo decisivo para el sistema monetario periférico es que el dinero-reserva represente (no contenga) una cantidad dada de trabajo social de manera relativamente "estable". En contraste con esta opinión. puede verse Mandel [1972], pp. 413-4 Y [1984], quién sostiene que el dinero-reserva debe ser el oro.
11 Por ejemplo Benetti [1990], p. 148 cree que en Marx hay una "noción de moneda-mercancía" que habría que "abandonar". Críticas a esta interpretación reduccionista de la teoría monetaria de Marx se encuentran en Kühne [1979], pp. 56-61 Y Perelman [1987].
12 El Capital, I, 1, p. 86.
13 "Si la suma de oro requerido para la circulación de las mercancías fuese de 14 millones de libras esterlinas, y el estado lanzase a la circulación 210 millones de billetes, cada uno de ellos con una denominación de 1 libra esterlina. estos 210 millones se transmutarían en representantes de oro por un monto de 14 millones de libras esterlinas... En la misma medida en que se hubiese incrementado la suma global de los signos de valor, se hubiese reducido la cantidad de oro que representa cada uno de ellos." Contribución, pp. 108-9.
14 El Capital I, 1, p. 158: de Brunhoff [1967], p. 40. La única función que no podría realizar el dinero-signo es la de "dinero mundial", debido a que el peso tiene una determinación nacional.
15 El Capital III, 6, p. 58. Agradezco a Alan Freeman por señalarme la importancia de este pasaje. Ciertamente la relación g puede modificarse a lo largo del tiempo. Sin embargo, el análisis de esta variación está fuera del objetivo de este artículo. Marx considera sólo ocasionalmente el efecto de estas variaciones, por ejemplo, en las Notas Marginales al "Tratado de Economía Política" de Adolph Wagner, pp. 38-9.
16 "Con un salario y una jornada laboral dados, un capital variable, por ejemplo de 100, representa un número determinado de obreros puestos en movimiento: es el índice de ese número. Sea, por ejemplo, £100 el salario de 100 obreros, digamos por una semana. Si estos obreros efectúan tanto trabajo necesario como plustrabajo... su producto de valor global sería = £200 Y el plusvalor por ellos generado ascendería a £100." El Capital, III, 6, p. 269.
17 Marx no distingue claramente entre la EMT y gt debido a que considera un sistema monetario particular, el patrón oro.
18 El Capital I, 1, p. 146.
19 Tugan-Baranowsky [1905], (pp. 180-1) supone una innovación que reduce la intensidad de los medios de producción y el trabajo vivo. Okishio [1961], (pp, 92-5) introduce una innovación en el sector II que aumenta la intensidad de los medios de producción y reduce la del trabajo vivo.
20 No se considera aquí el proceso competitivo que induce a un capitalista a desarrollar una técnica que le permite apropiarse de una ganancia extraordinaria y a otros a adoptar forzosamente dicha técnica.
21 Pasinetti [1975], p. 354.
22 "Es teóricamente posible imaginar un caso en que toJos los productos son cbborados exclusivamente gracias al trabajo de máquinas de tal forma que ninguna unidad de trabajo viviente... intervenga en la producción; aún en este caso, y a pesar de todo. puede aparecer, en ciertas condiciones, una ganancia industrial que no se distingue en nada, en su esencia, de la ganancia recibida por los capitalistas actuales, que emplean en la producción obreros asalariados ... Asi, partiendo del análisis de Ricardo, vemos que el origen de la ganancia industrial no parece tener ningún lazo 'parlicular' con el trabajo humano empleado en la producción." Dimitriev, [1904], pp. 31-2.
23 "No es necesario devanarse los sesos para comprender que si 1 quarter de trigo cuesta £2 100 quarters costarán £200, 200 quarters costarán £400, etc., y que, por tanto, a la par de la masa de trigo tendrá que aumentar la masa de dinero que, en la venta, cambia de lugar con el cereal." El Capital, I, 1, p. 145. En otras palabras, "Para Marx, la inflación no es inicialmente un fenómeno monetario. sino que deriva de fuerzas reales." Naples [1996], p. 103.
24 Grundrisse, 1. p. 97.
25 El Capital III. 6. pp. 269-70. En el torno I. Marx también asume esto: "Para concebir la relación en su pureza... es útil suponer por el momento que el poseedor de la fuerza de trabajo percibe de inmediato cada vez, al venderla, el precio estipulado contractualmente " El Capital I, 1, p. 213.
26 Esta es la intuición correcta de la interpretación "secuencial" o enfoque "temporal" de la determinación del valor desarrollado por algunos autores tales como: Ernst [1982]. Carchedi [1984], Kliman y McGlone [1988], Giussani [1991], Maldonado-Filho [1995]. Carchedi y de Haan [1996], Freeman [1996]. McGlone y Kliman [1996]: un precursor de este enfoque es Perez [1980].
27 Sobre el "producto de valor", véase El Capital I, 1, p. 256 y 2, p. 646.
28 El Capital I, 1, p. 56.
29 Ernst [1982], p. 90.
30 Ramos [1996].
31 Teorías, II, p. 464.
32 Carchedi [1991], pp. 139-41 y 161-9 Y McGlone y Kliman [1996], pp. 43-4.
33 Con relación al "problema de la transformación", esto ha sido supuesto implícita o explícitamente por Roberts [1981], Wolff, Roberts y Callari [1982], Ramos [1991], Chai-on Lee [1993], Moseley [1993], Rodríguez [1994], Ramos y Rodríguez [1996], Roberts [1997].
34 Con respecto a la distinción entre composición de valor y composición orgánica del capital, véase El Capital I, 3, pp. 759-60, III, pp. 973-4, Teorías III, pp. 341-2 y Saad-Filho [1993b].
35 "Dos obreros que trabajan 12 horas diarias, no pueden producir la misma masa de plusvalor que 24 obreros que sólo trabajan 2 horas cada cual, inclusive si pudiesen vivir del aire..." El Capital III, 6, p. 318.
36 "En cuanto medida de valor. el dinero es la forma de manifestación necesaria de la medida del valor inmanente a las mercancias: el tiempo de trabajo." El Capital I, 1, p. 115.
37 En la mayoría de los países latinoamericanos procesos similares de "reforma monetaria" se llevan a cabo cotidianamente por medio del tipo de cambio entre el dólar y la moneda local. Sin embargo, esto no alinearía los precios con el tiempo de trabajo social debido a que el dólar mismo se encuentra inflado.
38 Véase la nota al pie 15.
39 Véase, por ejemplo. Freeman [1996] y Kliman [1996].
40 Ernst [1952], p. 88.
41 Nótese que, en la medida en que se utiliza un dinero-signo, este efecto es independiente del momento en que se paga a los trabajadores.
42 Cartas sobre "El Capilal", p. 208. Se han efectuado pequeños cambios en la redacción de la traducción utilizada.
43 Véase Salario, Precio y Ganancia, p. 50.
44 El Capital III, 6, p .318.
45 Agradezco a Andrew Kliman que me ayudó a expresar rigurosamente la intuición desarrollada en esta subsección.
Referencias
Aglietta M. [1979] REGULACIÓN Y CRISIS DEL CAPITALISMO, Siglo XXI, México, 1988. [ Links ]
Bortkiewicz L. [1907] Value and Price in the Marxian System, International Economic Papers, Nº2, 1952. [ Links ]
Benetti C. [1990] MONEDA Y TEORÍA DEL VALOR, FCE, México. [ Links ]
Brunhoff S. [1967], TEORÍA MARXISTA DE LA MONEDA, Ediciones Roca, México, 1975. [ Links ]
Carchedi G. [1984] The Logic of Prices as Values, ECONOMY & SOCIETY, 13:4. [ Links ]
Carchedi G. [1991] FRONTIERS OF POLITICAL ECONOMY, Verso, London. [ Links ]
Carchedi G. y de Haan W. [1996] The Transformation Procedure: A Non-equilibrium Approach, en A. Freeman y G. Carchedi (Eds.). [ Links ]
Chai-on Lee [1993] Marx's labour theory of value revisited, CAMBRIDGE JOURNAL OF ECONOMICS, 17. [ Links ]
Croce B. [1899] Una Obiezione alla Legge Marxistica della Caduta del Saggio di Profitto, en MATERIALISMO STORICO ED ECONOMIA MARXISTICA, Laterza, Bari, 1961. [ Links ]
Dimitriev V 'K. [1904] ENSAYOS ECONÓMICOS SOBRE EL VALOR, LA COMPETENCIA Y LA UTILIDAD, Siglo XXI, México, 1977. [ Links ]
Ernst J. R. [1982] Simultaneous Valuation Extirpated: A Contribution to the Critique of the Neo-Ricardian Concept of Value, RRPE, 14:2. [ Links ]
Foley D.K. [1982] The Value of Money, the Value of Labor-Power, and the Marxian Transformation Problem. RRPE, 14:2. [ Links ]
Freeman A. [1995] Marx without Equilibrium, C&C 56. [ Links ]
Freeman A. [1996] Price. Value and Profit: A continuous, general, treatment, en A. Freeman y G. Carchedi (Eds.). [ Links ]
Freeman A. y G. Carchedi (Eds.) [1996] MARX AND NON-EQUILIBRIUM ECONOMICS, Edward Elgar. Cheltenham. [ Links ]
Giussani P. [1991] The Determination of Prices of Production, International Journal of Political Economy, 21. [ Links ]
Groll S. y Z.B. Orzech [1989] From Marx to the Okishio Theorem: A Genealogy, HOPE, 21:2. [ Links ]
Howard M.C. y J.E. King [1989] A HISTORY OF MARXIAN ECONOMICS, I (1883-1929). MacMillan, London. [ Links ]
Kliman A. [1988] The Profit Rate under Continuous Technological Change, RRPE. 20:2&3. [ Links ]
Kliman A. [1996] A Value-Theoretic Critique of the Okishio Theorem, en A. Freeman y G. Carchedi (Eds.). [ Links ]
Kliman A. Y T. McGlone [1988] The Transformation Non-Problem and the Non-Transformation Problem, C&C, 35. [ Links ]
Kühne K. [1977], ECONOMÍA Y MARXISMO, 1 y 2 Grijalbo, Barcelona. [ Links ]
Kühne K. [1979], ECONOMÍA Y MARXISMO, 3, Grijalbo, Barcelona. [ Links ]
Maldonado-Filho E. [1994] Release and Tying up of Productive Capital and the "Transformation Problem", URPE Conference at the ASSA, fall. [ Links ]
Mandel E. [1972] EL CAPITALISMO TARDÍO, Editorial Era, México, 1979. [ Links ]
Mandel E. [ 1984] Gold, Money and the Transformation Problem, en E. Mandel y A. Freeman (Eds.) RICARDO, MARX, SRAFFA. THE LANGSTON MEMORIAL VOLUME, Verso, London. [ Links ]
Marx K., TEORÍAS SOBRE LA PLUSVALÍA, II y III, FCE, México, 1980. [ Links ]
Marx K., CONTRIBUCIÓN A LA CRÍTICA DE LA ECONOMÍA POLÍTICA, Siglo XXI, México, 1980. [ Links ]
Marx K., ELEMENTOS FUNDAMENTALES PARA LA CRÍTICA DE LA ECONOMÍA POLÍTICA (GRUNDRISSE), Siglo XXI. México, 1977. [ Links ]
Marx K., EL CAPITAL, Siglo XXI, México, 1988. [ Links ]
Marx K., SALARIO, PRECIO Y GANANCIA, Editorial Progreso, Moscú, s.f. [ Links ]
Marx K., NOTAS MARGINALES AL "TRATADO DE ECONOMÍA POLÍTICA" DE ADOLPH WAGNER, Cuadernos de Pasado y Presente Nº 97, México, 1982. [ Links ]
Marx K. y F. Engels, CARTAS SOBRE "EL CAPITAL", Instituto Cubano del Libro, La Habana, 1976. [ Links ]
McGlone T. Y Kliman A. [1996] One System or Two? The Transformation of Values into Prices of Production versus the Transformation Problem, en A. Freeman y G. Carchedi (Eds.). [ Links ]
Moseley F. (Ed.) [1993] MARX'S METHOD IN CAPITAL. A REEXAMINATION, Humanities Press, New Jersey. [ Links ]
Moseley F. [1993] Marx's Logical Method and the "Transformation Problem", en F. Moseley (Ed.). [ Links ]
Moszkowska N. [1929] EL SISTEMA DE MARX. UN APORTE PARA SU CONSTRUCCIÓN, Cuadernos de Pasado y Presente Nº 77, México, 1979. [ Links ]
Naples M. I. [1996] Time, Money, Equilibrium: Methodology and the Labour Theory of the Profit Rate, en A. Freeman y G. Carchedi (Eds.). [ Links ]
Okishio N. [1961] Technical Changes and the Rate of Profit, Kobe University Economic Review, 7. [ Links ]
Pasinetti L. [1975] LECCIONES DE TEORÍA DE LA PRODUCCIÓN, FCE, México, 1987. [ Links ]
Perelman M. [1987] KARL MARX'S CRISIS THEORY: LABOR, SCARCITY AND FICTITIOUS CAPITAL, Praeger, New York. [ Links ]
Perez M. [1980] Valeur et Prix: Un Essai de Critique des Propositions Néo-Ricardiennes, Critiques de L'Economie Politique, Nouvelle Série, 10. [ Links ]
Ramos A. [1991] Competencia y Reproducción Capitalista: Una Interpretación de la Transformación de Valores en Precios de Producción. CIENCIAS ECONÓMICAS, 11:1-2, Costa Rica; REALIDAD ECONÓMICA, 105-106, Buenos Aires, 1992. [ Links ]
Ramos A. [1995] The Monetary Expression of Labour: Marx Twofold Measure of Value, Second Miniconference of the IWGVT at the EEA, New York, March 17-19. [ Links ]
Ramos A. [1996] The Monetary Expression of Labour: An Interpretation of the Relation between Value-Substance and Value-Form, Third Miniconference of the IWGVT at the EEA, Boston, March 15-17. [ Links ]
Ramos A. y A. Rodríguez [1996] The Transformation of Values into Prices of Production: A Different Reading of Marx's Text, en A. Freeman y G. Carchedi (Eds.). [ Links ]
Robinson J. [1942] INTRODUCCION A LA ECONOMÍA MARXISTA, Siglo XXI, México, 1978. [ Links ]
Roberts B. [1981] VALUE CATEGORIES AND MARXIAN METHOD. A DIFFERENT VIEW OF PRICE-VALUE TRANSFORMATION, Ph.D. Dissertation, Department of Economics University of Massachusetts, Ahmerst. [ Links ]
Roberts B. [1997 ] Embodied labour and competitive prices: a physical quantities approach, CAMBRIDGE JOURNAL OF ECONOMICS, 21. [ Links ]
Rodríguez A. [1994] LE TRAVAIL ET LA FORMATION DES PRIX, Université Catholique de Louvain, Faculté des Sciences Economiques, Sociales et Politiques, Nouvelle Série Nº239, CIACO, Louvain-la-Neuve. [ Links ]
Saad-Filho A. [1993a] Labor, Money, and "Labour-Money": A Review of Marx's Critique of John Gray's Monetary Analysis, HOPE, 25:1. [ Links ]
Saad-Filho A. [1993b] A Note on Marx's Analysis of the Composition of Capital, C&C 50. [ Links ]
Shibata K. [1934] On the Law of Decline in the Rate of Profit, Kyoto University Economic Review, 9:1. [ Links ]
Tugan-Baranowsky M. [1901] THEORIE UND GESCHICHTE DER HANDELKRISEN IN ENGLAND, Fischer, Jena. [ Links ]
Tugan-Baranowsky M. [1905] THEORETISCHE GRUNDLAGEN DES MARXISMUS, Duncker & Humblot, Leipzig: LOS FUNDAMENTOS TEÓRICOS DEL MARXISMO, Hijos de Reus Editores, Madrid, 1915. [ Links ]
Van Parijs P. [1980] The Falling-Rate-of-Profit Theory of Crisis: A Rational Reconstruction by Way of Obituary, RRPE, 12:1. [ Links ]
Wolff R.D, B. Roberts y A. Callari [1982], Marx's (not Ricardo's) Transformation Problem': A Radical Reconceptualization, HOPE, 14:4. [ Links ]















